 
                        替莫西林
半合成青霉素,对许多的p一内酰胺酶稳定。对大肠杆菌、沙门菌属、志贺菌属、肺炎杆菌、变形杆菌属、肠杆菌属等均有较强的抗菌作用。对第三代头孢菌素包括头孢三嗪、头孢他定耐药的肠道细菌、柠檬酸杆菌有高效。但对革兰阳性菌、绿脓杆菌等无效。用于敏感菌所致的败血症、呼吸道感染、腹膜炎、尿路感染、胆道感染、淋病等。
产品名称
                           - 
                                   中文名替莫西林
- 
                                   英文名temocillin
- 
                                   中文别名(6S)-6-[2-羧基-2-(3-噻吩基)乙酰氨基]-6-甲氧基青霉烷酸 | (2S,5R,6S)-6-[(3-羟基-3-氧代-2-噻吩-3-基丙酰)氨基]-6-甲氧基-3,3-二甲基-7-氧代-4-硫杂-1-氮杂双环[3.2.0]庚烷-2-羧酸
- 
                                   英文别名Temocilline [INN-French] Temocillinum Temocilline Temocillina [INN-Spanish] Temocillina Temocillin EINECS 266-184-1 Temocillinum [INN-Latin] (2S,5R,6S)-6-[(2-carboxy-2-thiophen-3-ylacetyl)amino]-6-methoxy-3,3-dimethyl-7-oxo-4-thia-1-azabicyclo[3.2.0]heptane-2-carboxylic acid 
- 
                                   常用名替莫西林
- 
                                   C A S号66148-78-5
物理性质
                            - 
                                    密度1.6 g/cm3
- 
                                    沸点761.9ºC at 760 mmHg
- 
                                    熔点N/A
- 
                                    化学式C16H18N2O7S2
- 
                                    结构式
- 
                                    闪点N/A
- 
                                    分子量414.45300
- 
                                    精确质量414.05600
- 
                                    P S A186.78000
- 
                                    外观形状
- 
                                    储存条件
- 
                                    稳定性
- 
                                    水溶解性
- 
                                    形态
- 
                                    H L B值
- 
                                    粘度
- 
                                    PH值
作用/用途
                            半合成青霉素,对许多的p一内酰胺酶稳定。对大肠杆菌、沙门菌属、志贺菌属、肺炎杆菌、变形杆菌属、肠杆菌属等均有较强的抗菌作用。对第三代头孢菌素包括头孢三嗪、头孢他定耐药的肠道细菌、柠檬酸杆菌有高效。但对革兰阳性菌、绿脓杆菌等无效。用于敏感菌所致的败血症、呼吸道感染、腹膜炎、尿路感染、胆道感染、淋病等。
制备方法
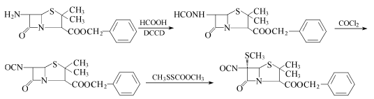
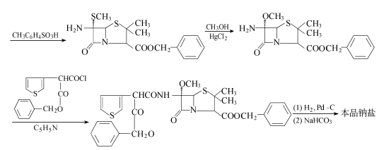
                             方法1:6-APA的苄酯和甲酸作用,在6位形成甲酰氨,再用光气使其转化为异氰酸酯基,然后和二硫化物反应,在6位引入甲硫基,酸解异氰酸酯使成游离的氨基,在二氯化汞的作用下,以甲氧基取代6位的甲硫基,再和2-(噻吩-3-基)-2-苄氧羰基乙酰氯反应,在6位的氨上引入铡链,最后催化氢解脱去苄基保护基而得替莫西林。
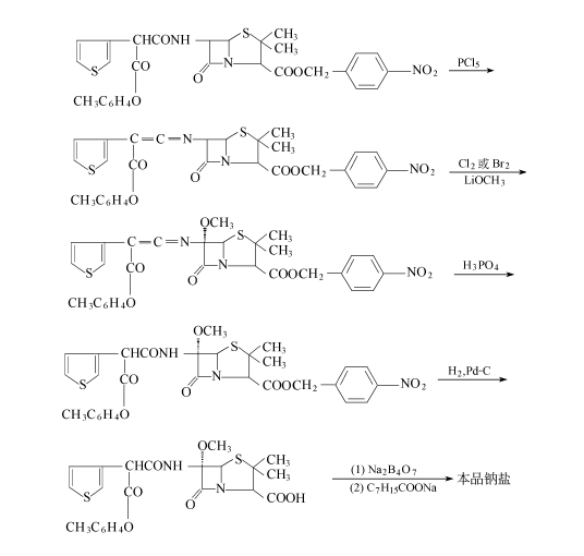
方法2:下列化合物氯化形成双烯后,再引入6位甲氧基,用亚磷酸加成还原,再催化加氢脱去保护基,水解成盐得到替莫西林钠。
安全提醒
                            MSDS
                            原料简介
                            应用范围
                            毒性和生态
                            安全信息
                            是否危险品
                            危险性
                            危险类别码
                            危险等级
                            触发危险方式
                            安全技术说明书
                            环境影响程度
                            包装与储运
                            相关供应商
     
        
 
                                     
                    
 
                 
            







 
                             
                 
                        