硫酸奈替米星
-
中文名硫酸奈替米星
-
英文名Netilmicin sulfate
-
中文别名1-N-乙基西索米星 | 硫酸萘替米星USPEP | 硫脲嘧啶
-
英文别名
certomycin EINECS 260-147-3 (1S,2S,3R,4S,6R)-4-Amino-3-{[(2S,3R)-3-amino-6-(aminomethyl)-3,4-dihydro-2H-pyran-2-yl]oxy}-6-(ethylamino)-2-hydroxycyclohexyl 3-deoxy-4-C-methyl-3-(methylamino)-β-L-arabinopyranoside sulfate (2:5) 1-N-Ethylsisomicin sulfate salt β-L-Arabinopyranoside, (1S,2S,3R,4S,6R)-4-amino-3-[[(2S,3R)-3-amino-6-(aminomethyl)-3,4-dihydro-2H-pyran-2-yl]oxy]-6-(ethylamino)-2-hydroxycyclohexyl 3-deoxy-4-C-methyl-3-(methylamino)-, sulfate (2 :5) (salt) Netilmicin sulfate Zetamicin MFCD01311715 Netillin Netilmicin sulfate salt UNII-S741ZJS97U Nettacin Netilmicin (sulfate) -
常用名硫酸奈替米星
-
C A S号56391-57-2
-
密度1.32 g/cm3
-
沸点684.3ºC at 760 mmHg
-
熔点>194ºC (dec.)
-
化学式C21H41N5O7 . 5/2 H2O4S
-
结构式
-
闪点367.7ºC
-
分子量720.78
-
精确质量
-
P S A814.36000
-
外观形状白色至灰白色粉末
-
储存条件
密封、在2 ºC -8 ºC下保存
-
稳定性
-
水溶解性
-
形态白色至淡黄色粉末
-
H L B值
-
粘度
-
PH值
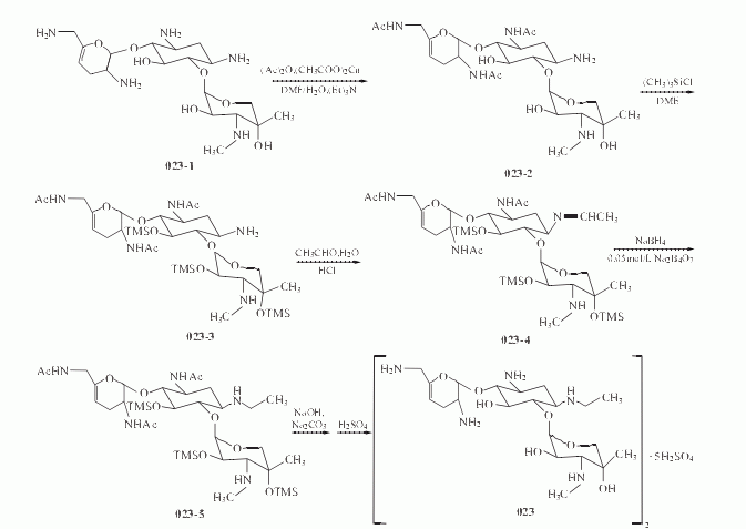
参考文献[12~15]推荐如下路线和方法$
(1)3,2’,6’-三(N-乙酰)西索米星(023-2)的制备
在反应瓶中加入二甲基甲酰胺(DMF)/水的混合溶液100ml(DMF/水,体积比6:2)和乙酸铜5.5g(0.03mol),搅拌悬浮,再加入西索米星(023-1)4.5g(0.01mol),搅拌下加三乙胺调至PH8.5~10.5,在搅拌30min后降温至5 ºC 慢慢滴加乙酸酐3.1g(0.03mol)的3.5mlDMF溶液,滴加时控温在0~10 ºC ,在强烈搅拌下,并不断用三乙胺调节反应液的PH保持8.5~10.5,滴毕,室温(25 ºC)搅拌反应30min~1h.用TLC跟踪显示反应达终点后(如果未达到终点应补乙酸酐的DMF溶液适量),将反应液减压下浓缩,浓缩液用水稀释,冷至(0~10 ºC )保持4h.过滤去固体,滤液用阳离子交换树脂处理,氨水洗脱等处理后得023-2 5.2g,收率90%.
(2)5,2’’,4’’-三(三甲基硅)-3,2’,6’-三(N-乙酰)-西索米星(023-3)的制备
在反应瓶中加入023-2 10g(17.45mmol)、1,2-二甲氧基乙烷(DMF)100ml,搅拌溶解,再加入三甲基氯硅烷25ml(21.15g,194mmol),加热至50 ºC ,搅拌反应16h(在保持50~55 ºC 下)减压蒸除DME,得黄色固体023-3 13.5g,收率93.6%左右,含量91%.经硅胶柱色谱纯化可制得分析试样.
(3)5,2’’,4’’-三(三甲基硅)-1-乙基氨基-3,2’,6’-三(N-乙酰)西索米星(023-5)的制备
在反应瓶中加入化合物023-3 8g(9.5mmol)和水80ml,搅拌溶解,用4mol/L盐酸调至PH6.降温至15 ºC ,加入乙醛2.2ml(1.72g,39mmol),搅拌反应30min,生成亚胺化合物023-4溶液.将NaBH4的水溶液5ml[1g(26.47mmol)NaBH4溶于5ml水]匀速滴入上述含023-4的溶液,并用0.5mol/L盐酸严格控制PH6.继续反应30min,加入0.05mol/L硼砂溶液20ml(PH9.5)继续搅拌1h.得023-5的溶液,含量85%,备用.
(4)O-3-脱氧-4-C-甲基-3-(甲氨基)-B-L-阿拉伯吡喃糖苷(1—6)-O-[2,6-二氨基-2,3,4,6-四脱氧-a-D-甘油己糖-4-烯醇型吡喃糖苷基-(1—4)]-2-脱氧-N’-乙基-D-链霉胺硫酸盐(硫酸奈替米星)(023)的合成
在反应瓶中加入上步制备的含化合物023-5的溶液、珠粒状固体NaOH2g(50mmol)和Na2CO3 2.7g(25.5mmol),搅拌溶解,油浴加热升温至110 ºC ,在该温度下搅拌回流36h.降温至10~15 ºC,加入10mol/L H2SO4调反应液PH至6.5~7.0,抽滤,滤液即为奈替米星游离碱的澄清溶液,含量80%.
在上述澄清溶液中加入阳离子交换树脂,搅拌混合充分后,过滤,用7%氨水洗脱,洗脱液浓缩后用甲醇溶解,再上硅胶柱色谱分离纯化,用氯仿/甲醇/水(40:20:7)洗脱分离.将洗脱液减压浓缩至约10ml,加入活性炭0.5g,恒温水浴加热至50 ºC ,脱色30min.抽滤,滤液用10mol/L H2SO4调至PH3.5~5.5,匀速滴至无水乙醇300ml中,3h后抽滤,滤饼干燥,得023 5.93g,收率78.7,含量在97%以上,符合《中国药典》(2005年版)质量标准.该品为非结晶性固体(冷冻干燥).
| 符号 |
GHS07, GHS08 |
|---|---|
| 信号词 | Danger |
| 危害声明 | H312 + H332-H360 |
| 警示性声明 | P201-P261-P280-P308 + P313 |
| 个人防护装备 | Eyeshields;full-face particle respirator type N100 (US);Gloves;respirator cartridge type N100 (US);type P1 (EN143) respirator filter;type P3 (EN 143) respirator cartridges |
| 危害码 (欧洲) | T:Toxic; |
| 风险声明 (欧洲) | R60;R20/21/22 |
| 安全声明 (欧洲) | S53-S36/37/39-S45 |
| 危险品运输编码 | NONH for all modes of transport |
| WGK德国 | 3 |
| RTECS号 | WK2286000 |
| 海关编码 | 2942000000 |

搜索







