西多福韦
西多福韦为开环核苷酸类似物,是抗巨细胞病毒(CMV)新药,对人CMV很强的抑制作用,活性是更昔洛韦(Ganciclovir)的10余倍;对其他疱疹病毒,如I型和II型单纯疱疹病毒(HSV-I)、HSV-II)、水痘-带疹病毒(VZV)、E-B病毒、疱疹6型病毒(HHV-6)、腺病毒及人乳头瘤状病(HPV)亦有很强的活性.本品与膦甲酸钠(Foscanet sodium)、阿昔洛韦(Aciclovir)以及齐多夫定(Zidovudine)合用有加成或协同效应。
-
中文名西多福韦
-
英文名Cidofovir
-
中文别名(S)-[[2-(4-氨基-2-氧-1(2H)嘧啶基)-1-(羟基甲基)乙氧基]甲基]膦酸 | [1-(4-氨基-2-氧代嘧啶-1-基)-3-羟基丙烷-2-基]氧甲基膦酸 | 培哚普利叔丁胺盐
-
英文别名
Cidovir (S)-1-[3-hydroxy-2-(phosphonylmethoxy)propyl]cytosine HPMPC Vistide Phosphonic acid, [[(1S)-2-(4-amino-2-oxo-1(2H)-pyrimidinyl)-1-(hydroxymethyl)ethoxy]methyl]- ({[(2S)-1-(4-Amino-2-oxo-1(2H)-pyrimidinyl)-3-hydroxy-2-propanyl]oxy}methyl)phosphonic acid Vistide ({[(2S)-1-(4-Amino-2-oxopyrimidin-1(2H)-yl)-3-hydroxypropan-2-yl]oxy}methyl)phosphonic acid Cidofovir (S)-(3-(4-amino-2-oxopyrimidin-1(2H)-yl)-1-hydroxypropan-2-yloxy)methylphosphonic acid (S)-[[2-(4-Amino-2-oxo-1(2H)-pyrimidinyl)-1-(hydroxymethyl)ethoxy]methyl]phosphonic Acid MFCD00866936 Cidofovir hydrate GS-504 -
常用名西多福韦
-
C A S号113852-37-2
-
密度1.8±0.1 g/cm3
-
沸点609.5±65.0 °C at 760 mmHg
-
熔点260ºC
-
化学式C8H14N3O6P
-
结构式
1、 摩尔折射率:58.29
2、 摩尔体积(cm3/mol):158.6
3、 等张比容(90.2K):489.2
4、 表面张力(dyne/cm):90.5
5、 极化率(10-24cm3):23.10
-
闪点322.4±34.3 °C
-
分子量279.187
-
精确质量279.062012
-
P S A157.71000
-
外观形状松软的白色粉末
-
储存条件room temp
-
稳定性
-
水溶解性
-
形态
-
H L B值
-
粘度
-
PH值
西多福韦为开环核苷酸类似物,是抗巨细胞病毒(CMV)新药,对人CMV很强的抑制作用,活性是更昔洛韦(Ganciclovir)的10余倍;对其他疱疹病毒,如I型和II型单纯疱疹病毒(HSV-I)、HSV-II)、水痘-带疹病毒(VZV)、E-B病毒、疱疹6型病毒(HHV-6)、腺病毒及人乳头瘤状病(HPV)亦有很强的活性.本品与膦甲酸钠(Foscanet sodium)、阿昔洛韦(Aciclovir)以及齐多夫定(Zidovudine)合用有加成或协同效应。
1.将1-(2,3-二羟基丙基)胞嘧啶溶于磷酸三乙酯,在搅拌下加入ClCH2P(O)Cl2,搅拌,再加入乙醚,过滤收集沉淀,用乙醚洗涤、真空下干燥。然后溶于水,回流。用三乙胺中和,在真空下蒸出溶剂,得到的物质溶于水,用辛酰化的硅胶进行柱层析,用碳酸氢三乙胺盐的缓冲溶液为洗脱剂,洗至盐完全移出。再用含甲醇的该缓冲溶液为洗脱剂洗脱,洗脱液合并,减压蒸出溶剂。加入氢氧化钠溶液,用阳离子交换树脂中和。经过滤、蒸出溶剂。得到的物质用柱层析进行分离,得到产物。
2.从(R)-2,3-O-亚异丙基丙三醇为原料,总收率可达18%。其9步合成路线中关键的一步是胞嘧啶和丙三醇衍生物的缩合,然后加氢还原和水解得到产物。
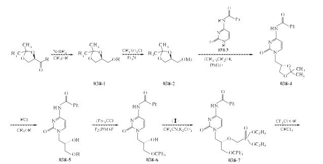
3.
按文献[12,15,16,21]的方法进行制备与合成;即以(S)-2,3-缩亚异丙基甘油醛为起
始原料,经还原、酰化、缩合、水解、醚化、酯交换、脱三苯甲基保护、水解、脱苯甲酰基保护、酸化等反应制得昔多呋韦(038)。
(1)(S)-2,3-缩亚异丙基甘油醇(038-1)的制备
在反应瓶中加入(S)-2,3-缩亚异丙基甘油醛46.3g(356mmol)和甲醇470ml,搅拌下分次加入硼氢化钠23.2g(0.613mol),加毕,于室温下搅拌反应12h.过滤,滤液减压浓缩,剩余物用二氯甲烷提取3次,合并有机相,无水Na2SO4干燥,过滤,滤液减压浓缩,得淡黄色油状物038-1 41.7g,收率88.7%(质量分数).
(2)(R)-2,3-缩亚异丙基甘油醇甲烷甲磺酰酯(038-2)的制备
在反应瓶中加入上步制备的化合物038-1 5g(38mmol)和二氯甲烷5ml,搅拌溶解,于冰浴冷却下搅拌滴加三乙胺[(Et)3N]8ml(5.8g,57.46mmol).滴加毕,搅拌10min,再慢慢在搅拌下滴加甲磺酰氯[4.3g(38mmol)]甲烷(5ml)液,滴完.滴毕,继续搅拌反应4h.撤去冰浴,加水20ml,充分搅拌后静置分层,分取有机相,依次用饱和NaHCO3水溶液洗,水洗涤3次,再用饱和氯化钠水溶液洗涤,无水Na2SO4干燥,过滤,滤液减压浓缩,得淡黄色油状物8.42g,收率98%.
(3) 苯甲酰胞嘧啶(038-3)的制备
在反应瓶中加入胞嘧啶10 g(90.09mmol)、吡啶800ml,搅拌1h.慢慢滴加苯甲酰氯[19g(135.2mmol)]的吡啶(20ml)溶液,滴毕,继续在室温搅拌反应5h.过滤,抽干,得白色固体038-3 15.1g,收率78%,mp263 ºC分解.
(4)(S)-N1-[2,3-O-缩亚异丙基-2,3-(二羟基)甘油醇]-N4-苯甲酰胞嘧啶(038-4)的制备
在反应瓶中加入上步制备的化合物038-3 3g(13.95mmol)、DMSO 30ml,搅拌至半透明状,升温至150 ºC ,加入叔丁醇钾2.34g(0.205mmol),再滴加化合物038-2 3.16g(14mmol)溶于二氯甲烷10ml溶液,在同温度下搅拌反应2h.降至室温,加入二氯甲烷20ml,搅拌充分后静置分层,分去水相,取有机相用无水Na2SO4干燥,过滤,滤液减压浓缩,得淡黄色固体038-4 2.10g,收率45.6%,mp193~194 ºC .
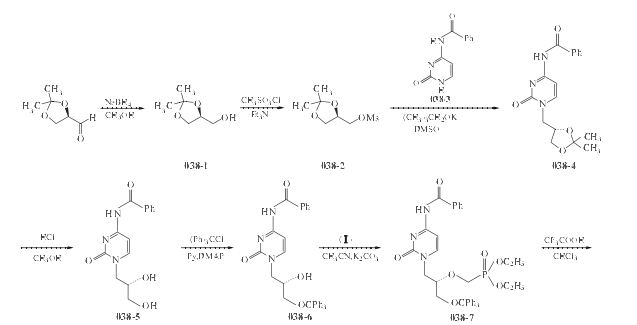
(5) (S)-N1-[2,3-(二羟基)甘油醇]-N4-苯甲酰胞嘧啶(038-5)的制备
在反应瓶中加入上步制备的化合物038-4 2.1g(6.3mmol)和甲醇15ml,拌溶解,加入浓盐酸
5ml,室温搅拌反应3h.产生大量白色固体,过滤,滤饼用少量甲醇洗涤,60 ºC 下干燥,得白色固体038-5 1.69g,收率93%,mp190~192 ºC .
(6).(S)-N1-[(3-三苯甲基-2-羟基)甘油醇]-N4-苯甲酰胞嘧啶(038-6)的制备
在反应瓶中加入上步制备的化合物038-5 1.69g(5.84mmol)、吡啶(Py)8.8ml,拌溶解,升温至120 ºC .在该温度下和搅拌下加入三苯甲基氯2.25g(8.13mmol)、4-二甲基氨基吡啶(DMAP)88mg(0.7mmol),在同温度下搅拌反应15h.降至室温,将反应液中吡啶减压蒸除,加入二氯甲烷10ml,充分振摇溶解,依次用3.3mol/L盐酸水溶液洗,水洗3次,再用饱和NaCl水溶液洗涤,取有机相用无水Na2SO4干燥,过滤,滤液减压浓缩,得白色固体038-6 2.64g,收率81.9%,mp122~124 ºC .
(7).(S)-N1-[(3-三苯甲基-2-乙基膦酸甲氧基)甘油醇]-N4-苯甲酰胞嘧啶(038-7)的制备
在反应瓶中加入上步制备的化合物038-6 0.5g(0.94mmol)和无水乙腈6ml,搅拌下加入二乙基[(对甲苯磺酸)甲基]膦酸酯(I)0.48g(1.5mmol)和K2CO3 0.2g,于60 ºC 搅拌反应12h.过滤,除去不溶物,加入水5ml和乙酸乙酯10ml,充分搅拌或振摇后倒入分液漏斗静置分层,分取有机相用饱和NaHCO3水溶液洗涤,用水洗涤2次,有机相用无水Na2SO4干燥,过滤,滤液减压浓缩得黏稠状液体产物038-7 3.75g,未进一步纯化,直接用于下一步反应.
(8).(S)-N1-[(3-羟基-2-乙基膦酸甲氧基)甘油醇]-N4-苯甲酰胞嘧啶(038-8)的制备
在反应瓶中加入上步制备的化合物038-7粗品3.75g(5.5mol)、三氯甲烷30ml,搅拌下再加入三氟乙酸20ml,在室温下搅拌反应5h.反应毕,用饱和NaHCO3水溶液调至PH7,用二氯甲烷提取,分去水相,有机相用无水Na2SO4干燥,过滤,滤液减压浓缩,得黏稠状液体产物 038-8 2.75g,无需纯化,直接用于下步反应.
(9).(S)-N1-[(3-羟基-2-膦酸甲氧基)甘油醇]-N4-苯甲酰胞嘧啶(038-9)的制备
在反应瓶中加入上步制备的化合物038-8 2.75g(6.25mmol)(粗品)、二氯甲烷15ml,于室温搅拌30min.加入三甲基溴硅烷2.86g(3.6mmol),室温下搅拌反应18h.将反应液减压浓缩至干,剩余物加乙醇40ml和水10ml混合,再搅拌5h.产生大量固体,过滤,干燥,得白色固体038-9 1.29g,收率68%(以化合物038-7计,3步收率),mp184~186 ºC .
(10)[[(1S)-2-(4-氨基-2-氧代-1(2H)-嘧啶基)-1-(羟甲基)乙氧基]甲基]酸(昔多呋韦)038的合成
在反应瓶中加入上步制备的化合物038-9 1.29g(3.36mmol)和浓氨水5ml,于室温搅拌反应3h,应毕,将反应液减压浓缩得白色固体,加水3ml溶解,慢慢在搅拌下加入浓盐酸调至PH3.5,室温搅拌反应5h.减压浓缩得白色固体0.82g,用甲醇重结晶,得白色固体0.66g,收率84%,mp261 ºC (分解)。
|
1.1 产品标识符
: Cidofovir hydrate 产品名称 1.2 鉴别的其他方法 无数据资料 1.3 有关的确定了的物质或混合物的用途和建议不适合的用途 仅供科研用途,不作为药物、家庭备用药或其它用途。
模块2. 危险性概述 2.1 GHS分类 急性毒性, 经口 (类别3) 皮肤刺激 (类别2) 眼刺激 (类别2B) 2.2 GHS 标记要素,包括预防性的陈述 象形图 警示词危险 危险申明 H301吞咽会中毒 H315造成皮肤刺激。 H320造成眼刺激。 警告申明 预防 P264操作后彻底清洁皮肤。 P270使用本产品时不要进食、饮水或吸烟。 P280戴防护手套。 措施 P301 + P310如果吞下去了: 立即呼救解毒中心或医生。 P302 + P352如与皮肤接触,用大量肥皂和水冲洗受感染部位. P305 + P351 + P338如与眼睛接触,用水缓慢温和地冲洗几分钟。如戴隐形眼镜并可方便地取 出,取出隐形眼镜,然后继续冲洗. P321具体治疗(见本标签上提供的急救指导)。 P330漱口。 P332 + P313如发生皮肤刺激:求医/ 就诊。 P337 + P313如仍觉眼睛刺激:求医/就诊。 如仍觉眼睛刺激:求医/就诊. P362脱掉沾染的衣服,清洗后方可重新使用。 储存 P405存放处须加锁。 处理 P501将内容物/ 容器处理到得到批准的废物处理厂。 2.3 其它危害物 - 无 模块3. 成分/组成信息 3.1 物 质 : C8H14N3O6P · xH2O 分子式 : 279.19 g/mol 分子量 组分浓度或浓度范围 Cidofovir hydrate - 模块4. 急救措施 4.1 必要的急救措施描述 一般的建议 请教医生。 出示此安全技术说明书给到现场的医生看。 吸入 如果吸入,请将患者移到新鲜空气处。 如果停止了呼吸,给于人工呼吸。 请教医生。 皮肤接触 用肥皂和大量的水冲洗。 立即将患者送往医院。 请教医生。 眼睛接触 用大量水彻底冲洗至少15分钟并请教医生。 食入 切勿给失去知觉者从嘴里喂食任何东西。 用水漱口。 请教医生。 4.2 主要症状和影响,急性和迟发效应 延长或重复暴露可能引起:, 肾衰竭, 发烧, 头痛, 健忘症, 焦虑, 混乱, 癫痫, 消化系统失调, 咳嗽, 嗜中性白血球减少症 4.3 及时的医疗处理和所需的特殊处理的说明和指示 无数据资料 模块5. 消防措施 5.1 灭火介质 灭火方法及灭火剂 用水雾,耐醇泡沫,干粉或二氧化碳灭火。 5.2 源于此物质或混合物的特别的危害 碳氧化物, 氮氧化物, 磷的氧化物 5.3 给消防员的建议 如必要的话,戴自给式呼吸器去救火。 5.4 进一步信息 无数据资料 模块6. 泄露应急处理 6.1 人员的预防,防护设备和紧急处理程序 戴呼吸罩。 防止粉尘的生成。 防止吸入蒸汽、气雾或气体。 保证充分的通风。 将人员撤离到安全区域。 避免吸入粉尘。 6.2 环境保护措施 在确保安全的前提下,采取措施防止进一步的泄漏或溢出。 不要让产物进入下水道。 6.3 抑制和清除溢出物的方法和材料 收集、处理泄漏物,不要产生灰尘。 扫掉和铲掉。 存放进适当的闭口容器中待处理。 6.4 参考其他部分 丢弃处理请参阅第13节。 模块7. 操作处置与储存 7.1 安全操作的注意事项 避免接触皮肤和眼睛。 防止粉尘和气溶胶生成。 在有粉尘生成的地方,提供合适的排风设备。 7.2 安全储存的条件,包括任何不兼容性 贮存在阴凉处。 容器保持紧闭,储存在干燥通风处。 对光线敏感 干燥剂保存。 7.3 特定用途 无数据资料 模块8. 接触控制和个体防护 8.1 容许浓度 最高容许浓度 没有已知的国家规定的暴露极限。 8.2 暴露控制 适当的技术控制 避免与皮肤、眼睛和衣服接触。 休息以前和操作过此产品之后立即洗手。 个体防护设备 眼/面保护 面罩與安全眼鏡请使用经官方标准如NIOSH (美国) 或 EN 166(欧盟) 检测与批准的设备防护眼部。 皮肤保护 戴手套取 手套在使用前必须受检查。 请使用合适的方法脱除手套(不要接触手套外部表面),避免任何皮肤部位接触此产品. 使用后请将被污染过的手套根据相关法律法规和有效的实验室规章程序谨慎处理. 请清洗并吹干双手 所选择的保护手套必须符合EU的89/686/EEC规定和从它衍生出来的EN 376标准。 身体保护 全套防化学试剂工作服, 防护设备的类型必须根据特定工作场所中的危险物的浓度和含量来选择。 呼吸系统防护 如危险性评测显示需要使用空气净化的防毒面具,请使用全面罩式多功能微粒防毒面具N99型(US) 或P2型(EN 143)防毒面具筒作为工程控制的候补。如果防毒面具是保护的唯一方式,则使用全面罩式送风防毒 面具。 呼吸器使用经过测试并通过政府标准如NIOSH(US)或CEN(EU)的呼吸器和零件。 模块9. 理化特性 9.1 基本的理化特性的信息 a) 外观与性状 形状: 粉末 颜色: 白色 b) 气味 无数据资料 c) 气味阈值 无数据资料 d) pH值 无数据资料 e) 熔点/凝固点 260 °C f) 起始沸点和沸程 无数据资料 g) 闪点 无数据资料 h) 蒸发速率 无数据资料 i) 易燃性(固体,气体) 无数据资料 j) 高的/低的燃烧性或爆炸性限度 无数据资料 k) 蒸汽压 无数据资料 l) 蒸汽密度 无数据资料 m) 相对密度 无数据资料 n) 水溶性 无数据资料 o) n-辛醇/水分配系数 辛醇--水的分配系数的对数值: -2.225 p) 自燃温度 无数据资料 q) 分解温度 无数据资料 r) 粘度 无数据资料 模块10. 稳定性和反应活性 10.1 反应性 无数据资料 10.2 稳定性 无数据资料 10.3 危险反应的可能性 无数据资料 10.4 应避免的条件 无数据资料 10.5 不兼容的材料 强氧化剂 10.6 危险的分解产物 其它分解产物 - 无数据资料 模块11. 毒理学资料 11.1 毒理学影响的信息 急性毒性 无数据资料 皮肤刺激或腐蚀 皮肤 - 兔子 - 皮肤刺激 - 432 h - Draize试验 - 刺激皮肤。 眼睛刺激或腐蚀 眼睛 - 兔子 - 轻度的眼睛刺激 呼吸道或皮肤过敏 无数据资料 生殖细胞突变性 无数据资料 致癌性 IARC: 此产品中没有大于或等于 0。1%含量的组分被 IARC鉴别为可能的或肯定的人类致癌物。 生殖毒性 无数据资料 特异性靶器官系统毒性(一次接触) 无数据资料 特异性靶器官系统毒性(反复接触) 无数据资料 吸入危险 无数据资料 潜在的健康影响 吸入吸入可能有害。 引起呼吸道刺激。 摄入误吞会中毒。 皮肤如果通过皮肤吸收可能是有害的。 造成皮肤刺激。 眼睛造成眼刺激。 接触后的征兆和症状 延长或重复暴露可能引起:, 肾衰竭, 发烧, 头痛, 健忘症, 焦虑, 混乱, 癫痫, 消化系统失调, 咳嗽, 嗜中性白血球减少症 附加说明 化学物质毒性作用登记: SZ6545000 模块12. 生态学资料 12.1 生态毒性 无数据资料 12.2 持久存留性和降解性 无数据资料 12.3 潜在的生物蓄积性 无数据资料 12.4 土壤中的迁移性 无数据资料 12.5 PBT 和 vPvB的结果评价 无数据资料 12.6 其它不利的影响 无数据资料 模块13. 废弃处置 13.1 废物处理方法 产品 将剩余的和未回收的溶液交给处理公司。 与易燃溶剂相溶或者相混合,在备有燃烧后处理和洗刷作用的化学焚化炉中燃烧 受污染的容器和包装 作为未用过的产品弃置。 模块14. 运输信息 14.1 联合国危险货物编号 欧洲陆运危规: 2811国际海运危规: 2811国际空运危规: 2811 14.2 联合国(UN)规定的名称 欧洲陆运危规: TOXIC SOLID, ORGANIC, N.O.S. (Cidofovir hydrate) 国际海运危规: TOXIC SOLID, ORGANIC, N.O.S. (Cidofovir hydrate) 国际空运危规: Toxic solid, organic, n.o.s. (Cidofovir hydrate) 14.3 运输危险类别 欧洲陆运危规: 6.1国际海运危规: 6.1国际空运危规: 6.1 14.4 包裹组 欧洲陆运危规: III国际海运危规: III国际空运危规: III 14.5 环境危险 欧洲陆运危规: 否国际海运危规 海运污染物: 否国际空运危规: 否 14.6 对使用者的特别提醒 无数据资料 模块 15 - 法规信息 N/A 模块16 - 其他信息 N/A |
| 危害码 (欧洲) | T |
|---|---|
| 风险声明 (欧洲) | 25-38 |
| 安全声明 (欧洲) | S26-S36 |
| WGK德国 | 3 |
| 海关编码 | 2933599090 |

搜索










