米非司酮
Mifepristone是黄体酮受体 (PR) 和糖皮质激素受体 (GR) 拮抗剂,体外实验中的 IC50 值分别为0.2 nM 和2.6 nM。
产品名称
-
中文名米非司酮
-
英文名Mifepristone
-
中文别名11β-[4-(N,N-二甲胺基)]苯基-17β-羟基-17α-(1-丙炔基)-雌甾-4,9-二烯-3-酮 | 11β-(4-Dimethylamino)phenyl-17β-hydroxy-17-(1-propynyl)estra-4,9-dien-3-one | (1Lβ,17β)-11-[4-(二甲氨基)苯基]-17-羟基-17-(1-丙炔基)雌甾-4,9-二烯-3-酮
-
英文别名
11b-[4-(N,N-Dimethylamino)phenyl]-17a-(prop-1-ynyl)-D4,9-estradiene-17b-ol-3-one (11β,17β)-11-[4-(Dimethylamino)phenyl]-17-hydroxy-17-(prop-1-yn-1-yl)estra-4,9-dien-3-one (11β,17β)-11-[4-(dimethylamino)phenyl]-17-hydroxy-17-prop-1-yn-1-ylestra-4,9-dien-3-one RU486 (11b,17b)-11-[4-(Dimethylamino)phenyl]-17-hydroxy-17-(1-propynyl)estra-4,9-dien-3-one Estra-4,9-dien-3-one, 11-(4-(dimethylamino)phenyl)-17-hydroxy-17-(1-propynyl)-, (11β,17β)- Estra-4,9-dien-3-one, 11-[4-(dimethylamino)phenyl]-17-hydroxy-17-(1-propynyl)-, (11b,17b)- MFCD00867226 Estra-4,9-dien-3-one, 11-[4-(dimethylamino)phenyl]-17-hydroxy-17-(1-propyn-1-yl)-, (11β,17β)- RU-486 Mifepristone (8S,11R,13S,14S,17S)-11-[4-(Dimethylamino)phenyl]-17-hydroxy-13-methyl-17-(1-propyn-1-yl)-1,2,6,7,8,11,12,13,14,15,16,17-dodecahydro-3H-cyclopenta[a]phenanthren-3-one Mifestone estra-4,9-dien-3-one, 11-[4-(dimethylamino)phenyl]-17-hydroxy-17-(1-propynyl)-, (11β,17β)- 17-β-Hydroxy-11-β-(4-dimethylaminophenyl)-17-α-(1- propynyl)-estra-4,9-dien-3-one -
常用名米非司酮
-
C A S号84371-65-3
物理性质
-
密度1.2±0.1 g/cm3
-
沸点628.6±55.0 °C at 760 mmHg
-
熔点195-198°C
-
化学式C29H35NO2
-
结构式
-
闪点334.0±31.5 °C
-
分子量429.594
-
精确质量429.266785
-
P S A40.54000
-
外观形状淡黄色固体
-
储存条件
2-8°C冷藏、密闭、干燥处
-
稳定性
-
水溶解性
-
形态淡黄色结晶性粉末,无臭、无味。
-
H L B值
-
粘度
-
PH值
作用/用途
Mifepristone是黄体酮受体 (PR) 和糖皮质激素受体 (GR) 拮抗剂,体外实验中的 IC50 值分别为0.2 nM 和2.6 nM。
制备方法
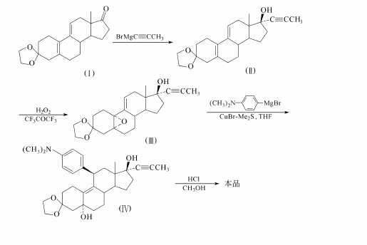
方法1:以4,9雌甾二烯-3,17-二酮的3位缩酮化合物(Ⅰ)为原料,和丙炔溴化镁格氏试剂反应,在17位引入丙炔基,得到化合物(Ⅱ)。接着对5位烯键进行选择性环氧化,得化合物(Ⅲ)。然后在含溴化铜-甲硫醚络合物的四氢呋喃中,和对二甲氨基苯溴化镁反应,在11位引入对二甲氨基苯基,得化合物(Ⅳ)。最后在甲醇中,用盐酸水解并脱水,得到米非司酮。收率21.5%。
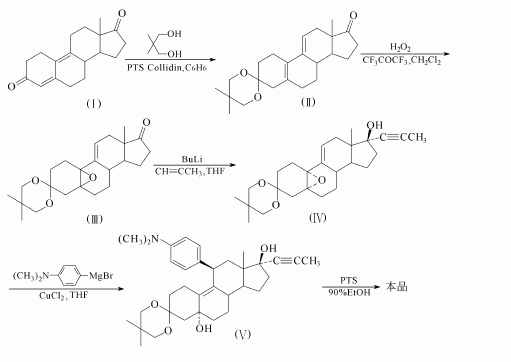
方法2:同样以4,9-雌甾二烯-3,17-二酮为原料,对3位羰基进行保护;然后先环氧化,再在17位引入丙炔基,在11位引入对二甲氨基苯基,最后水解得到米非司酮。和路线1相比,仅在环氧化和引入丙炔基的先后顺序上不同,反应步骤相同。总收率35%-40%。
安全提醒
MSDS
|
米非司酮
模块1. 化学品 产品名称: Mifepristone 模块2. 危险性概述 GHS分类 物理性危害未分类 健康危害
急性毒性(经口) 第4级 急性毒性(经皮) 第4级 急性毒性(吸入) 第4级 环境危害未分类 GHS标签元素 图标或危害标志 信号词警告 危险描述吸入或皮肤接触或吞咽有害。 防范说明 [预防]避免吸入。 只能在室外或通风良好的环境下使用。 使用本产品时切勿吃东西,喝水或吸烟。 处理后要彻底清洗双手。 穿戴防护手套/护目镜/防护面具。 [急救措施]吸入:将受害者移到新鲜空气处,在呼吸舒适的地方保持休息。若感不适,呼叫解毒 中心/医生。 食入:若感不适,呼叫解毒中心/医生。漱口。 皮肤接触:用大量肥皂和水轻轻洗。 被污染的衣物清洗后方可重新使用。 若感不适:呼叫解毒中心/医生。 [废弃处置] 根据当地政府规定把物品/容器交与工业废弃处理机构。 米非司酮 模块3. 成分/组成信息 单一物质/混和物单一物质 化学名(中文名):米非司酮 百分比: >98.0%(T)(LC) CAS编码: 84371-65-3 俗名: 11β-[4-(Dimethylamino)phenyl]-17β-hydroxy-17-(1-propynyl)estra-4,9-dien-3- one 分子式: C29H35NO2 模块4. 急救措施 吸入: 将受害者移到新鲜空气处,保持呼吸通畅,休息。若感不适立即呼叫解毒中心/医生。 皮肤接触: 立即去除/脱掉所有被污染的衣物。用大量肥皂和水轻轻洗。 若皮肤刺激或发生皮疹:求医/就诊。 眼睛接触:用水小心清洗几分钟。如果方便,易操作,摘除隐形眼镜。继续清洗。 如果眼睛刺激:求医/就诊。 食入: 若感不适,呼叫解毒中心/医生。漱口。 紧急救助者的防护:救援者需要穿戴个人防护用品,比如橡胶手套和气密性护目镜。 模块5. 消防措施 合适的灭火剂:干粉,泡沫,雾状水,二氧化碳 特殊危险性:小心,燃烧或高温下可能分解产生毒烟。 特定方法:从上风处灭火,根据周围环境选择合适的灭火方法。 非相关人员应该撤离至安全地方。 周围一旦着火:如果安全,移去可移动容器。 消防员的特殊防护用具:灭火时,一定要穿戴个人防护用品。 模块6. 泄漏应急处理 个人防护措施,防护用具, 使用个人防护用品。远离溢出物/泄露处并处在上风处。 紧急措施:泄露区应该用安全带等圈起来,控制非相关人员进入。 环保措施:防止进入下水道。 控制和清洗的方法和材料:清扫收集粉尘,封入密闭容器。注意切勿分散。附着物或收集物应该立即根据合适的 法律法规处置。 模块7. 操作处置与储存 处理 技术措施:在通风良好处进行处理。穿戴合适的防护用具。防止粉尘扩散。处理后彻底清洗双手 和脸。 注意事项:如果粉尘或浮质产生,使用局部排气。 操作处置注意事项:避免接触皮肤、眼睛和衣物。 贮存 储存条件:保持容器密闭。冷藏储存。 远离不相容的材料比如氧化剂存放。 热敏 包装材料:依据法律。 模块8. 接触控制和个体防护 工程控制:尽可能安装封闭体系或局部排风系统,操作人员切勿直接接触。同时安装淋浴器和洗 眼器。 个人防护用品 呼吸系统防护:防尘面具。依据当地和政府法规。 米非司酮 模块8. 接触控制和个体防护 手部防护:防护手套。 眼睛防护:安全防护镜。如果情况需要,佩戴面具。 皮肤和身体防护:防护服。如果情况需要,穿戴防护靴。 模块9. 理化特性 固体 外形(20°C): 外观: 晶体-粉末 颜色: 微浅黄色-浅黄绿色 气味:无资料 pH:无数据资料 熔点: 195°C 沸点/沸程无资料 闪点:无资料 爆炸特性 爆炸下限:无资料 爆炸上限:无资料 密度:无资料 溶解度: [水]无资料 [其他溶剂] 溶于:氯仿 模块10. 稳定性和反应性 化学稳定性:一般情况下稳定。 危险反应的可能性:未报道特殊反应性。 须避免接触的物质氧化剂 危险的分解产物: 一氧化碳, 二氧化碳, 氮氧化物 (NOx) 模块11. 毒理学信息 急性毒性: orl-hmn LDLo:2.86 mg/kg scu-rat LDLo:10 mg/kg 对皮肤腐蚀或刺激:无资料 对眼睛严重损害或刺激:无资料 生殖细胞变异原性:无资料 致癌性: IARC =无资料 NTP =无资料 生殖毒性:无资料 RTECS 号码: KG2955000 模块12. 生态学信息 生态毒性: 鱼类:无资料 甲壳类:无资料 藻类:无资料 残留性 / 降解性:无资料 潜在生物累积 (BCF):无资料 土壤中移动性 log水分配系数:无资料 土壤吸收系数 (Koc):无资料 米非司酮 模块12. 生态学信息 亨利定律无资料 constant(PaM3/mol): 模块13. 废弃处置 如果可能,回收处理。请咨询当地管理部门。建议在可燃溶剂中溶解混合,在装有后燃和洗涤装置的化学焚烧炉中 焚烧。废弃处置时请遵守国家、地区和当地的所有法规。 模块14. 运输信息 联合国分类:与联合国分类标准不一致 UN编号:未列明 模块15. 法规信息 《危险化学品安全管理条例》(2002年1月26日国务院发布,2011年2月16日修订): 针对危险化学品的安全使用、 生产、储存、运输、装卸等方面均作了相应的规定。 模块16 - 其他信息 N/A |
原料简介
应用范围
毒性和生态
安全信息
| 符号 |
GHS08 |
|---|---|
| 信号词 | Danger |
| 危害声明 | H360 |
| 警示性声明 | P201-P280-P308 + P313 |
| 个人防护装备 | Eyeshields;full-face particle respirator type N100 (US);Gloves;respirator cartridge type N100 (US);type P1 (EN143) respirator filter;type P3 (EN 143) respirator cartridges |
| 危害码 (欧洲) | T: Toxic; |
| 风险声明 (欧洲) | R60 |
| 安全声明 (欧洲) | S53-S22-S36/37/39-S45 |
| 危险品运输编码 | NONH for all modes of transport |
| WGK德国 | 3 |
| RTECS号 | KG2955000 |
是否危险品
危险性
危险类别码
危险等级
触发危险方式
安全技术说明书
环境影响程度
包装与储运
相关供应商









