特布他林
β2-受体兴奋剂,有支气管扩张作用。对支气管平滑肌有高度的选择性,对心脏的兴奋作用很小,无中枢性作用。用于支气管哮喘、喘息型支气管炎、阻塞性肺气肿和其他伴有支气管痉挛的肺部疾病。尤其适用于伴有高血压、冠心病等心血管疾病的哮喘患者。
产品名称
-
中文名特布他林
-
英文名terbutaline
-
中文别名5-(1-羟基-2-叔丁基氨基乙基)苯-1,3-二酚
-
英文别名
1-(3,5-dihydroxyphenyl)-2-(tert-butylamino)-ethanol TelMisartan API SNGP-003-04H08 MICARDIS [3H]-Telmisartan 4'-((1,4'-dimethyl-2'-propyl(2,6'-bi-1H-benzimidazol)-1'-yl)methyl)-(1,1'-biphenyl)-2-carboxylic acid BIBR 277 BIBR 277SE 4'-[(2-n-Propyl-4-methyl-6-(1-methylbenzimidazol-2-yl)-benzimidazol-1-yl)-methyl]-2-carboxy-biphenyl 5-(1-Hydroxy-2-tert-butylamino-ethyl)benzene-1,3-diol TIMISHATAN Telmisaran 5-[2-(tertbutylamino)-1-hydroxyethyl]benzene-1,3-diol PRITOR 4'-[[2-n-propyl-4-methyl-6-(1-methylbenzimidazole-2-yl)-benzimidazol-1-yl]methyl]-biphenyl-2-carboxylic acid [3H]-Terbutaline EINECS 245-385-8 TU-199 TIMETAZIDINE -
常用名特布他林
-
C A S号23031-25-6
物理性质
-
密度1.171 g/cm3
-
沸点419.2ºC at 760 mmHg
-
熔点204-208ºC
-
化学式C12H19NO3
-
结构式
1、 摩尔折射率:63.19
2、 摩尔体积(cm3/mol):192.2
3、 等张比容(90.2K):511.4
4、 表面张力(dyne/cm):50.0
5、 极化率(10-24cm3):25.05
-
闪点165.3ºC
-
分子量225.28400
-
精确质量225.13600
-
P S A72.72000
-
外观形状
-
储存条件
-
稳定性
-
水溶解性
-
形态
-
H L B值
-
粘度
-
PH值
作用/用途
β2-受体兴奋剂,有支气管扩张作用。对支气管平滑肌有高度的选择性,对心脏的兴奋作用很小,无中枢性作用。用于支气管哮喘、喘息型支气管炎、阻塞性肺气肿和其他伴有支气管痉挛的肺部疾病。尤其适用于伴有高血压、冠心病等心血管疾病的哮喘患者。
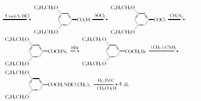
制备方法
3,5-二羟基苯甲酸和乙醇在硫酸催化下,回流反应,得到3,5-二羟基苯甲酸乙酯。在碳酸钾存在下3,5-二羟基苯甲酸乙酯和苄基氯,回流20h,用5mlo/L的盐酸或氢氧化钾水解为游离酸,和氯化亚砜一起回流1h,氯化为酰氯,和偶氮甲烷反应使成偶氮乙酰基,和溴化氢作用成为溴乙酰基,接着和叔丁胺回流20h。最后在乙酸存在下催化氢化得到特布他林。
安全提醒
MSDS
原料简介
应用范围
毒性和生态
安全信息
| 危险品运输编码 | UN 3077 9 |
|---|---|
| 海关编码 | 2942000000 |
是否危险品
危险性
危险类别码
危险等级
触发危险方式
安全技术说明书
环境影响程度
包装与储运
相关供应商

搜索








