苯磺酸氨氯地平
-
中文名2[(2-氨基乙氧基)甲基]-4(2-氯苯基)-3-乙氧甲酰基-5-甲氧甲酰基-6-甲基-1,4-二氢吡啶苯磺酸盐
-
英文名Amlodipine besylate
-
中文别名苯磺酸氨氯地平
-
英文别名
Amlodin Norvasc 3-Ethyl 5-methyl 2-[(2-aminoethoxy)methyl]-4-(2-chlorophenyl)-6-methyl-1,4-dihydropyridine-3,5-dicarboxylate benzenesulfonate (1:1) 3-Ethyl 5-methyl 2-[(2-aminoethoxy)methyl]-4-(2-chlorophenyl)-6-methyl-1,4-dihydro-3,5-pyridinedicarboxylate benzenesulfonate (1:1) 3,5-Pyridinedicarboxylic acid, 2-[(2-aminoethoxy)methyl]-4-(2-chlorophenyl)-1,4-dihydro-6-methyl-, 3-ethyl 5-methyl ester, benzenesulfonate (1:1) Benzolsulfonsäure--3-ethyl-5-methyl-2-[(2-aminoethoxy)methyl]-4-(2-chlorphenyl)-6-methyl-1,4-dihydropyridin-3,5-dicarboxylat(1:1) UNII:864V2Q084H MFCD00887594 acide benzènesulfonique - 2-[(2-aminoéthoxy)méthyl]-4-(2-chlorophényl)-6-méthyl-1,4-dihydropyridine-3,5-dicarboxylate de 3-éthyle et de 5-méthyle (1:1) 3-ethyl 5-methyl 2-[(2-aminoethoxy)methyl]-4-(2-chlorophenyl)-6-methyl-1,4-dihydropyridine-3,5-dicarboxylate benzenesulfonate 3-Ethyl 5-methyl 2-[(2-aminoethoxy)methyl]-4-(2-chlorophenyl)-6-methyl-1,4-dihydro-3,5-pyridinedicarboxylate benzenesulfonate Amlodipine Besilate Amlodipine besylate benzenesulfonic acid,3-O-ethyl 5-O-methyl 2-(2-aminoethoxymethyl)-4-(2-chlorophenyl)-6-methyl-1,4-dihydropyridine-3,5-dicarboxylate AMLODIPINE BENZENESULFONATE 3-Ethyl 5-Methyl (±)-2-[(2-Aminoethoxy)methyl]-4-(2-chlorophenyl)-6-methyl-1,4-dihydro-3,5-pyridinedicarboxylate Monobenzenesulfonate -
常用名苯磺酸氨氯地平
-
C A S号111470-99-6
-
密度1.227g/cm3
-
沸点527.2ºC at 760 mmHg
-
熔点199-201°C
-
化学式C26H31ClN2O8S
-
结构式
1、摩尔折射率:无可用的
2、摩尔体积(cm3/mol):无可用的
3、等张比容(90.2K):无可用的
4、表面张力(dyne/cm):无可用的
5、介电常数:无可用的
6、极化率(10-24cm3):无可用的
7、单一同位素质量:566.148964 Da
8、标称质量:566 Da
9、平均质量:567.0509 Da
-
闪点272.6ºC
-
分子量567.051
-
精确质量566.148987
-
P S A162.63000
-
外观形状白色粉末
-
储存条件
密封储存,储存于阴凉、干燥的库房。
-
稳定性
-
水溶解性
-
形态白色或类白色粉末
-
H L B值
-
粘度
-
PH值
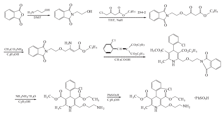
1. N-(2-羟乙基)邻苯二甲酸亚酰胺的制备
在反应瓶中加入邻苯二甲酸酐14.8g(0.1mol)和DMF100ml,搅拌升温至50ºC,滴加乙醇胺6.1g(0.1mol)滴毕,升温至95ºC搅拌反应6h.冷却,过滤,水洗,干燥,得白色晶体N-(2-羟乙基)邻苯二甲酸亚酰胺17.6g,收率95.3%mp126.8~128.0ºC.
2. 4-[(2-邻苯二甲酰亚胺)乙氧基]乙酰乙酸乙酯的制备
在反应瓶中加入N-(2-羟乙基)邻苯二甲酸亚酰胺19.5g(0.1mol)和THF60ml,搅拌溶解,降温至10ºC以下#加入NaH8g(0.2mol)搅拌30min.缓慢加入4-氯乙酰乙酸乙酯16.5g(0.1mol),加毕#逐渐升温至40ºC,TLC跟踪反应终点.用冷却的2mol/L盐酸调反应液pH6~7,静置,分出水相,常压蒸出THF回收,用乙酸乙酯(30ml×2)提取,合并提取液和有机相,饱和食盐水洗,无水MgSO4干燥,减压浓缩,得黄色油状物4-[(2-邻苯二甲酰亚胺)乙氧基]乙酰乙酸乙酯32.2g,收率75.8%,含量>75%(HPLC法).
3. 3-氨基-4-[(2-邻苯二甲酰亚胺)乙氧基]-2-丁烯酸乙酯的制备
在反应瓶中加入4-[(2-邻苯二甲酰亚胺)乙氧基]乙酰乙酸乙酯38.3g(90mmol)、乙酸铵8g(0.1mol)、乙醇80ml,搅拌回流反应1h.浓缩回收乙醇,浓缩物加乙酸乙酯100ml溶解,水(60ml×2)洗,减压蒸馏,得浅黄色液体3-氨基-4-[(2-邻苯二甲酰亚胺)乙氧基]-2-丁烯酸乙酯34.7g,收率90.1%,含量>75%(HPLC法).
4. 4-[(2-氯苯基)-3-乙氧羰基]-5-甲氧羰基-6-甲基-2-(2-邻苯二甲酰亚胺)甲基-1,4-二氯吡啶的制备
在反应瓶中加入3-氨基-4-[(2-邻苯二甲酰亚胺)乙氧基]-2-丁烯酸乙酯42.4g(0.1mol)、2-乙氧羰基-3-(2-氯苯基)丙烯酸甲酯23.9g(0.1mol)和乙酸200ml,搅拌回流20h.冷却,得黄色油状物,静置冷却,析出结晶,过滤,干燥,得白色晶体4-[(2-氯苯基)-3-乙氧羰基]-5-甲氧羰基-6-甲基-2-(2-邻苯二甲酰亚胺)甲基-1,4-二氯吡啶53.9g,收率74.5%,mp145~147ºC.
5. 2-[(2-氨基乙氧基)甲基]-4-(2-氯苯基)-3-乙氧羰基-5-甲氧羰基-6-甲基-1,4-二氢吡啶(氨氯地平)的制备
在反应瓶中加入乙醇150ml、4-[(2-氯苯基)-3-乙氧羰基]-5-甲氧羰基-6-甲基-2-(2-邻苯二甲酰亚胺)甲基-1,4-二氯吡啶53.8g(0.10mol)、17mol/L水合肼7.0ml,搅拌回流3h.冷却,过滤,乙酸乙酯重结晶,干燥,得浅黄色固体2-[(2-氨基乙氧基)甲基]-4-(2-氯苯基)-3-乙氧羰基-5-甲氧羰基-6-甲基-1,4-二氢吡啶(氨氯地平)38g,收率93%,mp177~179ºC.
6. 苯磺酸氨氯地平的合成
在反应瓶中加入无水乙醇150ml和2-[(2-氨基乙氧基)甲基]-4-(2-氯苯基)-3-乙氧羰基-5-甲氧羰基-6-甲基-1,4-二氢吡啶(氨氯地平)40.9g(0.1mol),搅拌降温至15 ºC以下,加入苯磺酸19.8g(0.125mol),于室温搅拌5h.过滤,滤饼用乙醇洗,干燥,得苯磺酸氨氯地平52.4g,收率92.5%,mp199~201ºC,含量≥99.0%(HPLC法).
|
苯磺酸氨氯地平
修改号码:5
模块1. 化学品 产品名称: Amlodipine Besylate 修改号码: 5 模块2. 危险性概述 GHS分类 物理性危害未分类
健康危害 急性毒性(经口) 第4级 皮肤腐蚀/刺激 第2级 严重损伤/刺激眼睛 2A类 环境危害未分类 GHS标签元素 图标或危害标志 信号词警告 危险描述吞咽有害。 造成皮肤刺激 造成严重眼刺激 防范说明 [预防]使用本产品时切勿吃东西,喝水或吸烟。 处理后要彻底清洗双手。 穿戴防护手套/护目镜/防护面具。 [急救措施] 食入:若感不适,呼叫解毒中心/医生。漱口。 眼睛接触:用水小心清洗几分钟。如果方便,易操作,摘除隐形眼镜。继续冲洗。 眼睛接触:求医/就诊 皮肤接触:用大量肥皂和水轻轻洗。 若皮肤刺激:求医/就诊。 脱掉被污染的衣物,清洗后方可重新使用。 [废弃处置] 根据当地政府规定把物品/容器交与工业废弃处理机构。 苯磺酸氨氯地平 修改号码:5 模块3. 成分/组成信息 单一物质/混和物单一物质 化学名(中文名):苯磺酸氨氯地平 百分比: >98.0%(LC)(N) CAS编码: 111470-99-6 俗名: 3-Ethyl 5-Methyl 2-(2-Aminoethoxy)methyl-4-(2-chlorophenyl)-6-methyl-1,4- dihydropyridine-3,5-dicarboxylate Benzenesulfonate , 2-(2- Aminoethoxy)methyl-4-(2-chlorophenyl)-6-methyl-1,4-dihydropyridine-3,5- dicarboxylic Acid 3-Ethyl 5-Methyl Ester Benzenesulfonate 分子式: C20H25ClN2O5·C6H5SO3H 模块4. 急救措施 吸入: 将受害者移到新鲜空气处,保持呼吸通畅,休息。若感不适请求医/就诊。 皮肤接触: 立即去除/脱掉所有被污染的衣物。用大量肥皂和水轻轻洗。 若皮肤刺激或发生皮疹:求医/就诊。 眼睛接触:用水小心清洗几分钟。如果方便,易操作,摘除隐形眼镜。继续清洗。 如果眼睛刺激:求医/就诊。 食入: 若感不适,呼叫解毒中心/医生。漱口。 紧急救助者的防护:救援者需要穿戴个人防护用品,比如橡胶手套和气密性护目镜。 模块5. 消防措施 合适的灭火剂:干粉,泡沫,雾状水,二氧化碳 特殊危险性:小心,燃烧或高温下可能分解产生毒烟。 特定方法:从上风处灭火,根据周围环境选择合适的灭火方法。 非相关人员应该撤离至安全地方。 周围一旦着火:如果安全,移去可移动容器。 消防员的特殊防护用具:灭火时,一定要穿戴个人防护用品。 模块6. 泄漏应急处理 个人防护措施,防护用具, 使用个人防护用品。远离溢出物/泄露处并处在上风处。 紧急措施:泄露区应该用安全带等圈起来,控制非相关人员进入。 环保措施:防止进入下水道。 控制和清洗的方法和材料:清扫收集粉尘,封入密闭容器。注意切勿分散。附着物或收集物应该立即根据合适的 法律法规处置。 模块7. 操作处置与储存 处理 技术措施:在通风良好处进行处理。穿戴合适的防护用具。防止粉尘扩散。处理后彻底清洗双手 和脸。 注意事项:如果粉尘或浮质产生,使用局部排气。 操作处置注意事项:避免接触皮肤、眼睛和衣物。 贮存 储存条件:保持容器密闭。存放于凉爽、阴暗处。 远离不相容的材料比如氧化剂存放。 包装材料:依据法律。 模块8. 接触控制和个体防护 工程控制:尽可能安装封闭体系或局部排风系统,操作人员切勿直接接触。同时安装淋浴器和洗 眼器。 个人防护用品 苯磺酸氨氯地平 修改号码:5 模块8. 接触控制和个体防护 呼吸系统防护:防尘面具。依据当地和政府法规。 手部防护:防护手套。 眼睛防护:安全防护镜。如果情况需要,佩戴面具。 皮肤和身体防护:防护服。如果情况需要,穿戴防护靴。 模块9. 理化特性 固体 外形(20°C): 外观: 晶体-粉末 颜色: 白色-极淡的黄色 气味:无资料 pH:无数据资料 熔点: 200°C (分解) 沸点/沸程无资料 闪点:无资料 爆炸特性 爆炸下限:无资料 爆炸上限:无资料 密度:无资料 溶解度: [水]微溶于 [其他溶剂]无资料 模块10. 稳定性和反应性 化学稳定性:一般情况下稳定。 危险反应的可能性:未报道特殊反应性。 须避免接触的物质氧化剂 危险的分解产物: 一氧化碳, 二氧化碳, 氮氧化物 (NOx), 硫氧化物, 氯化氢 模块11. 毒理学信息 急性毒性: orl-rat LD50:393 mg/kg ipr-rat LD50:42 mg/kg scu-rat LD50:678 mg/kg 对皮肤腐蚀或刺激:无资料 对眼睛严重损害或刺激:无资料 生殖细胞变异原性:无资料 致癌性: IARC =无资料 NTP =无资料 生殖毒性:无资料 RTECS 号码: US7967700 模块12. 生态学信息 生态毒性: 鱼类:无资料 甲壳类:无资料 藻类:无资料 残留性 / 降解性:无资料 潜在生物累积 (BCF):无资料 土壤中移动性 log水分配系数:无资料 苯磺酸氨氯地平 修改号码:5 模块12. 生态学信息 土壤吸收系数 (Koc):无资料 亨利定律无资料 constant(PaM3/mol): 模块13. 废弃处置 如果可能,回收处理。请咨询当地管理部门。建议在可燃溶剂中溶解混合,在装有后燃和洗涤装置的化学焚烧炉中 焚烧。废弃处置时请遵守国家、地区和当地的所有法规。 模块14. 运输信息 联合国分类:与联合国分类标准不一致 UN编号:未列明 模块15. 法规信息 《危险化学品安全管理条例》(2002年1月26日国务院发布,2011年2月16日修订): 针对危险化学品的安全使用、 生产、储存、运输、装卸等方面均作了相应的规定。 模块16 - 其他信息 N/A |
| 符号 |
GHS07 |
|---|---|
| 信号词 | Warning |
| 危害声明 | H302 |
| 警示性声明 | P301 + P312 + P330 |
| 个人防护装备 | dust mask type N95 (US);Eyeshields;Faceshields;Gloves |
| 危害码 (欧洲) | Xn: Harmful; |
| 风险声明 (欧洲) | R22 |
| 安全声明 (欧洲) | 26-36 |
| 危险品运输编码 | NONH for all modes of transport |
| WGK德国 | 3 |
| RTECS号 | US7967700 |
| 海关编码 | 2933990090 |

搜索







