西沙必利
Cisapride(R 51619)是5-HT4受体激动剂,还是hERG抑制剂。
产品名称
-
中文名西沙必利
-
英文名Cisapride
-
中文别名西沙比利 | (+/-)-顺式-4-氨基-5-氯-N-[1-[3-(4-氟苯氧基)丙基]-3-甲氧基-4-哌啶基]-2-甲氧基苯甲酰胺
-
英文别名
Cisapride MFCD03305346 4-Amino-5-chloro-N-{1-[3-(4-fluorophenoxy)propyl]-3-methoxy-4-piperidinyl}-2-methoxybenzamide prepulsid EINECS 279-689-7 Benzamide, 4-amino-5-chloro-N-[1-[3-(4-fluorophenoxy)propyl]-3-methoxy-4-piperidinyl]-2-methoxy- Risamol ACENALIN 4-amino-5-chloro-N-{1-[3-(4-fluorophenoxy)propyl]-3-methoxypiperidin-4-yl}-2-methoxybenzamide Alimix 4-Amino-5-chlor-N-{1-[3-(4-fluorphenoxy)propyl]-3-methoxypiperidin-4-yl}-2-methoxybenzolcarboxamid CIPRIL propulsid 4-amino-5-chloro-N-[1-{3-[(4-fluorophenyl)oxy]propyl}-3-(methyloxy)piperidin-4-yl]-2-(methyloxy)benzamide Risamal -
常用名西沙必利
-
C A S号81098-60-4
物理性质
-
密度1.3±0.1 g/cm3
-
沸点605.4±55.0 °C at 760 mmHg
-
熔点107 - 111ºC
-
化学式C23H29ClFN3O4
-
结构式
-
闪点319.9±31.5 °C
-
分子量465.945
-
精确质量465.183075
-
P S A86.05000
-
外观形状白色至略米色粉末
-
储存条件
密闭,阴凉,干燥处
-
稳定性
-
水溶解性
-
形态白色固体
-
H L B值
-
粘度
-
PH值
作用/用途
Cisapride(R 51619)是5-HT4受体激动剂,还是hERG抑制剂。
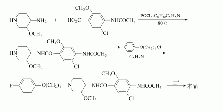
制备方法
3-甲氧基-4-氨基哌啶和4-乙酰氨基-2-甲氧基-5-氯苯甲酸脱水酰胺化,生成4-乙酰氨基-2-甲氧-5-氯-N-(3-甲氧基-4-哌啶基)苯甲酰胺,再和对氟苯氯丙醚进行氮上的烷基化反应,酸化水解生成西沙必利。
安全提醒
MSDS
原料简介
应用范围
毒性和生态
安全信息
| 危害码 (欧洲) | Xi:Irritant |
|---|---|
| 风险声明 (欧洲) | R41 |
| 安全声明 (欧洲) | S26-S39 |
| WGK德国 | 2 |
| RTECS号 | CU9372000 |
| 海关编码 | 2942000000 |
是否危险品
危险性
危险类别码
危险等级
触发危险方式
安全技术说明书
环境影响程度
包装与储运
相关供应商

搜索







