莫索尼定
Moxonidine(BDF5895)是咪唑啉1型受体(I1-R)选择性激动剂,为降压剂。
产品名称
-
中文名莫索尼啶
-
英文名Moxonidine
-
中文别名莫索尼定,不带盐酸 | 4-氯-N-(4,5-二氢-1H-咪唑-2-基)-6-甲氧基-2-甲基-5-嘧啶胺 | 莫索尼定
-
英文别名
4-chloro-5-(imidazoline-2-ylamino)-6-methoxy-2-methylpyrimidine [3H]-Moxonidine 4-chloro-N-(4,5-dihydro-1H-imidazol-2-yl)-6-methoxy-2-methylpyrimidin-5-amine 4-Chloro-N-(4,5-dihydro-1H-imidazol-2-yl)-6-methoxy-2-methyl-5-pyrimidinamine Norcynt 4-Chloro-N-(imidazolidin-2-ylidene)-6-methoxy-2-methylpyrimidin-5-amine BE 5895 5-Pyrimidinamine, 4-chloro-N-(4,5-dihydro-1H-imidazol-2-yl)-6-methoxy-2-methyl- Normoxocin Lomox 4-chloro-N-(4,5-dihydro-1H9imidazol-yl)-6-methoxy-2-methyl-5-pyrimidinamine Physiotens [14C]-Moxonidine 4-chloro-5-[(4,5-dihydro-1H-imidazol-2-yl)-amino]-6-methoxy-2-methylpyrimidine T6N CNJ B1 DO1 FG EM- BT5M CN BUTJ Nucynt Cynt Moxonidinum [Latin] Moxonidine T6N CNJ B1 DO1 FG ENU- BT5MYMTJ MFCD06795643 -
常用名莫索尼定
-
C A S号75438-57-2
物理性质
-
密度1.5±0.1 g/cm3
-
沸点364.7±52.0 °C at 760 mmHg
-
熔点40-43 °C(lit.)
-
化学式C9H12ClN5O
-
结构式
-
闪点174.3±30.7 °C
-
分子量241.678
-
精确质量241.073044
-
P S A71.43000
-
外观形状晶体
-
储存条件Desiccate at +4°C
-
稳定性
-
水溶解性
-
形态
-
H L B值
-
粘度
-
PH值
作用/用途
Moxonidine(BDF5895)是咪唑啉1型受体(I1-R)选择性激动剂,为降压剂。
制备方法
方法1:5-氨基-4,6-二氯-2-甲基嘧啶和1-乙酰基-2-咪唑啉-2-酮反应,生成的产物和甲醇钠作用得莫索尼定。
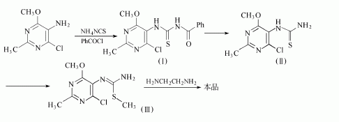
方法2:5-氨基-4-氯-6-甲氧基-2-甲基嘧啶和硫氰酸铵及苯甲酰氯反应,得(I)。去苯甲酰基得(Ⅱ),甲基化得(Ⅲ),再和乙二胺作用得莫索尼定。
安全提醒
MSDS
原料简介
应用范围
毒性和生态
安全信息
| 危险品运输编码 | NONH for all modes of transport |
|---|---|
| WGK德国 | 3 |
| RTECS号 | UV6260290 |
是否危险品
危险性
危险类别码
危险等级
触发危险方式
安全技术说明书
环境影响程度
包装与储运
相关供应商

搜索








