地氯雷他定
-
中文名地氯雷他定
-
英文名Desloratadine
-
中文别名地洛他定 | 盐酸帕洛诺司琼 | 脱羧氯雷他定 | 8-氯-6,11-二氢-11-(4-哌啶烯基)-5H-苯并[5,6]环庚基[1,2-b]吡啶 | 氯雷他定相关物质A
-
英文别名
8-Chlor-11-piperidin-4-yliden-6,11-dihydro-5H-benzo[5,6]cyclohepta[1,2-b]pyridin 8-Chloro-6,11-dihydro-11-(4-piperidinylidene)-5H-benzo[5,6]cyclohepta[1,2-b]pyridine UNII-FVF865388R AzoMyr 5H-Benzo[5,6]cyclohepta[1,2-b]pyridine, 8-chloro-6,11-dihydro-11-(4-piperidinylidene)- DESLORATIDINE MFCD00871949 Opulis Desloratadine 8-Chloro-11-(4-piperidinylidene)-6,11-dihydro-5H-benzo[5,6]cyclohepta[1,2-b]pyridine Allex Descarboethoxyoratidine Neoclarityn Aerius Sch34117 descarboethoxyloratadine 8-chloro-11-(piperidin-4-ylidene)-6,11-dihydro-5H-benzo[5,6]cyclohepta[1,2-b]pyridine Clarinex -
常用名地氯雷他定
-
C A S号100643-71-8
-
密度1.2±0.1 g/cm3
-
沸点467.9±45.0 °C at 760 mmHg
-
熔点150-151°C
-
化学式C19H19ClN2
-
结构式
1、摩尔折射率:90.05
2、摩尔体积(cm3/mol):254.3
3、等张比容(90.2K):676.5
4、表面张力(dyne/cm):50
5、介电常数:无可用的
6、极化率(10-24cm3):35.69
7、单一同位素质量:310.123676 Da
8、标称质量:310 Da
9、平均质量:310.8206 Da
-
闪点236.8±28.7 °C
-
分子量310.821
-
精确质量310.123688
-
P S A24.92000
-
外观形状米色固体
-
储存条件
密封储存,储存于阴凉、干燥的库房。冷藏温度为2-8ºC。
-
稳定性
-
水溶解性
-
形态白色结晶性粉末,无臭,味苦。不易吸湿。
-
H L B值
-
粘度
-
PH值
将氯雷他定加到含氢氧化钠的乙醇溶液中,回流反应.产物经冰乙酸、氯仿提取等处理得地氯雷他定乙酸盐。将其溶于水中,用稀碳酸钾溶液碱化,用氯仿提取.提取液水洗,浓缩,加入己烷浸渍,经重结晶,得地氯雷他定.
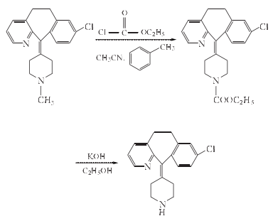
1. 氯雷他定[4-(8-氯-5,6-二氢-11H-苯并[5,6]环庚并[1,2-b]吡啶-11-亚基)-1-哌啶羧酸乙酯]的制备
在反应瓶中加入8-氯-6,11-二氢-11-(1-甲基-4-哌啶叉)-5H-苯并[5,6]-环庚并[1,2-b]吡啶45.g(0.141mol)和甲苯320ml,搅拌溶解,于约80 ºC左右慢慢加入氯甲酸乙酯45.9g(40.4ml,0.423mol),保温在80ºC搅拌反应1h.TLC跟踪,反应毕冷至环境温度,减压蒸除过量的氯甲酸乙酯,剩余物加水450ml和甲苯适量,在60ºC下继续搅拌1h.用NaOH水溶液调至pH10,静置分层,分出有机相,水相再用甲苯提取,合并有机相,无水Na2SO4干燥,过滤,滤液减压浓缩,剩余物溶于乙腈中,用活性炭脱色,热过滤,滤液浓缩至结晶浆状物出现,冷至5ºC,结晶全部析出,过滤,干燥得白色固体氯雷他定[4-(8-氯-5,6-二氢-11H-苯并[5,6]环庚并[1,2-b]吡啶-11-亚基)-1-哌啶羧酸乙酯]42.2g,收率78.2%,mp134.5~136ºC,Rf0.51[展开剂:浓氨水/甲醇(1.5:100)]
2. 8-氯-6,11-二氢-11-(4-亚哌啶基)-5H-苯并[5,6]环庚并[1,2-b]吡啶(地洛他定)的合成
在反应瓶中加入乙醇305ml、KOH 150g(2.68mol)和氯雷他定[4-(8-氯-5,6-二氢-11H-苯并[5,6]环庚并[1,2-b]吡啶-11-亚基)-1-哌啶羧酸乙酯]39g(0.101mol),在N2保护下搅拌回流反应5~6h.当析出大量固体时即为反应终点$冷却后移至蒸馏装置减压浓缩回收乙醇,剩余物用盐水稀释,用乙酸乙酯提取3次$有机层合并,用水洗,无水Na2SO4干燥,过滤,滤液蒸除溶剂,得到固体8-氯-6,11-二氢-11-(4-亚哌啶基)-5H-苯并[5,6]环庚并[1,2-b]吡啶(地洛他定)粗品24.5g,收率77%,为白色固体,mp154~155 ºC.将粗品用甲基异丁基酮(MIBK)245ml控温在70~80 ºC溶解,若未全溶则补加MIBK适量,冷却加活性炭12.6g,保温搅拌(80ºC)20~30min.热过滤,滤液冷却析晶,过滤,干燥得8-氯-6,11-二氢-11-(4-亚哌啶基)-5H-苯并[5,6]环庚并[1,2-b]吡啶(地洛他定)纯品22.3g,精制收率91%,mp156.5~157.0 ºC.
|
1.1 产品标识符
: Desloratadine 产品名称 1.2 鉴别的其他方法 8-Chloro-6,11-dihydro-11-(4-piperidinylidene)-5H- benzo[5,6]cyclohepta[1,2,b]pyridine 1.3 有关的确定了的物质或混合物的用途和建议不适合的用途 仅供科研用途,不作为药物、家庭备用药或其它用途。
模块2. 危险性概述 2.1 GHS分类 根据化学品全球统一分类与标签制度(GHS)的规定,不是危险物质或混合物。 当心 - 物质尚未完全测试。 2.3 其它危害物 - 无 模块3. 成分/组成信息 3.1 物 质 : 8-Chloro-6,11-dihydro-11-(4-piperidinylidene)-5H- 别名 benzo[5,6]cyclohepta[1,2,b]pyridine : C19H19ClN2 C19H19ClN2 分子式 : 310.82 g/mol 分子量 无 模块4. 急救措施 4.1 必要的急救措施描述 吸入 如果吸入,请将患者移到新鲜空气处。 如果停止了呼吸,给于人工呼吸。 皮肤接触 用肥皂和大量的水冲洗。 眼睛接触 用水冲洗眼睛作为预防措施。 食入 切勿给失去知觉者从嘴里喂食任何东西。 用水漱口。 4.2 主要症状和影响,急性和迟发效应 4.3 及时的医疗处理和所需的特殊处理的说明和指示 无数据资料 模块5. 消防措施 5.1 灭火介质 灭火方法及灭火剂 用水雾,耐醇泡沫,干粉或二氧化碳灭火。 5.2 源于此物质或混合物的特别的危害 碳氧化物, 氮氧化物, 氯化氢气体 5.3 给消防员的建议 如必要的话,戴自给式呼吸器去救火。 5.4 进一步信息 无数据资料 模块6. 泄露应急处理 6.1 人员的预防,防护设备和紧急处理程序 防止粉尘的生成。 防止吸入蒸汽、气雾或气体。 6.2 环境保护措施 不要让产物进入下水道。 6.3 抑制和清除溢出物的方法和材料 扫掉和铲掉。 存放进适当的闭口容器中待处理。 6.4 参考其他部分 丢弃处理请参阅第13节。 模块7. 操作处置与储存 7.1 安全操作的注意事项 在有粉尘生成的地方,提供合适的排风设备。 7.2 安全储存的条件,包括任何不兼容性 贮存在阴凉处。 容器保持紧闭,储存在干燥通风处。 建议的贮存温度: 2 - 8 °C 7.3 特定用途 无数据资料 模块8. 接触控制和个体防护 8.1 容许浓度 最高容许浓度 没有已知的国家规定的暴露极限。 8.2 暴露控制 适当的技术控制 常规的工业卫生操作。 个体防护设备 眼/面保护 请使用经官方标准如NIOSH (美国) 或 EN 166(欧盟) 检测与批准的设备防护眼部。 皮肤保护 所选择的保护手套必须符合EU的89/686/EEC规定和从它衍生出来的EN 376标准。 戴手套取 手套在使用前必须受检查。 请使用合适的方法脱除手套(不要接触手套外部表面),避免任何皮肤部位接触此产品. 使用后请将被污染过的手套根据相关法律法规和有效的实验室规章程序谨慎处理. 请清洗并吹干双手 身体保护 根据危险物质的类型,浓度和量,以及特定的工作场所来选择人体保护措施。, 防护设备的类型必须根据特定工作场所中的危险物的浓度和含量来选择。 呼吸系统防护 不需要保护呼吸。如需防护粉尘损害,请使用N95型(US)或P1型(EN 143)防尘面具。 呼吸器使用经过测试并通过政府标准如NIOSH(US)或CEN(EU)的呼吸器和零件。 模块9. 理化特性 9.1 基本的理化特性的信息 a) 外观与性状 形状: 粉末 b) 气味 无数据资料 c) 气味阈值 无数据资料 d) pH值 无数据资料 e) 熔点/凝固点 无数据资料 f) 起始沸点和沸程 无数据资料 g) 闪点 无数据资料 h) 蒸发速率 无数据资料 i) 易燃性(固体,气体) 无数据资料 j) 高的/低的燃烧性或爆炸性限度 无数据资料 k) 蒸汽压 无数据资料 l) 蒸汽密度 无数据资料 m) 相对密度 无数据资料 n) 水溶性 无数据资料 o) n-辛醇/水分配系数 无数据资料 p) 自燃温度 无数据资料 q) 分解温度 无数据资料 r) 粘度 无数据资料 模块10. 稳定性和反应活性 10.1 反应性 无数据资料 10.2 稳定性 无数据资料 10.3 危险反应的可能性 无数据资料 10.4 应避免的条件 无数据资料 10.5 不兼容的材料 强氧化剂 10.6 危险的分解产物 其它分解产物 - 无数据资料 模块11. 毒理学资料 11.1 毒理学影响的信息 急性毒性 无数据资料 皮肤刺激或腐蚀 无数据资料 眼睛刺激或腐蚀 无数据资料 呼吸道或皮肤过敏 无数据资料 生殖细胞突变性 致癌性 IARC: 此产品中没有大于或等于 0。1%含量的组分被 IARC鉴别为可能的或肯定的人类致癌物。 生殖毒性 特异性靶器官系统毒性(一次接触) 无数据资料 特异性靶器官系统毒性(反复接触) 无数据资料 吸入危险 无数据资料 潜在的健康影响 吸入吸入可能有害。 可能引起呼吸道刺激。 摄入如服入是有害的。 皮肤如果通过皮肤吸收可能是有害的。 可能引起皮肤刺激。 眼睛可能引起眼睛刺激。 附加说明 化学物质毒性作用登记: 无数据资料 模块12. 生态学资料 12.1 生态毒性 无数据资料 12.2 持久存留性和降解性 无数据资料 12.3 潜在的生物蓄积性 无数据资料 12.4 土壤中的迁移性 无数据资料 12.5 PBT 和 vPvB的结果评价 无数据资料 12.6 其它不利的影响 无数据资料 模块13. 废弃处置 13.1 废物处理方法 产品 将剩余的和未回收的溶液交给处理公司。 受污染的容器和包装 作为未用过的产品弃置。 模块14. 运输信息 14.1 联合国危险货物编号 欧洲陆运危规: -国际海运危规: -国际空运危规: - 14.2 联合国(UN)规定的名称 欧洲陆运危规: 非危险货物 国际海运危规: 非危险货物 国际空运危规: 非危险货物 14.3 运输危险类别 欧洲陆运危规: -国际海运危规: -国际空运危规: - 14.4 包裹组 欧洲陆运危规: -国际海运危规: -国际空运危规: - 14.5 环境危险 欧洲陆运危规: 否国际海运危规 海运污染物: 否国际空运危规: 否 14.6 对使用者的特别提醒 无数据资料 模块 15 - 法规信息 N/A 模块16 - 其他信息 N/A |
| 风险声明 (欧洲) | R11:Highly Flammable. |
|---|---|
| 安全声明 (欧洲) | S16-S23-S36/37/39 |
| 危险品运输编码 | 1993 |








