盐酸特比萘芬
-
中文名盐酸特比萘芬
-
英文名terbinafine hydrochloride
-
中文别名反-N-(6,6-二甲基-2-庚-4-炔基)-N-甲基-1-萘基甲胺盐酸盐 | 盐酸特比萘酚 | 特比萘芬盐酸盐
-
英文别名
(2E)-N,6,6-Trimethyl-N-(naphthalen-1-ylmethyl)hept-2-en-4-in-1-aminhydrochlorid (2E)-N,6,6-trimethyl-N-(naphthalen-1-ylmethyl)hept-2-en-4-yn-1-amine hydrochloride (1:1) 1-Naphthalenemethanamine, N-[(2E)-6,6-dimethyl-2-hepten-4-yn-1-yl]-N-methyl-, hydrochloride (1:1) MFCD00145430 (2E)-N,6,6-Trimethyl-N-(1-naphthylmethyl)-2-hepten-4-yn-1-amine hydrochloride (1:1) (2E)-N,6,6-Trimethyl-N-(1-naphthylmethyl)hept-2-en-4-yn-1-amine hydrochloride (1:1) Lamisil trans-N-Methyl-N-(1-naphthylmethyl)-6,6-dimethylhept-2-en-4-ynyl-1-amine hydrochloride (2E)-N,6,6-trimethyl-N-(naphthalen-1-ylmethyl)hept-2-en-4-yn-1-amine hydrochloride Terbinafine HCl Terbinafine hydrochloride EINECS 245-385-8 (E)-N-(6,6-Dimethyl-2-hepten-4-ynyl)-N-methyl-1-naphthalenemethanamine monohydrochloride -
常用名盐酸特比萘芬
-
C A S号78628-80-5
-
密度1.007g/cm3
-
沸点417.9ºC at 760 mmHg
-
熔点204-208°C
-
化学式C21H26ClN
-
结构式
-
闪点183.7ºC
-
分子量327.891
-
精确质量327.175385
-
P S A3.24000
-
外观形状结晶粉末
-
储存条件
存放在密封容器内,并放在阴凉,干燥处。储存的地方必须远离氧化剂。远离火源。
-
稳定性
-
水溶解性
-
形态白色粉末。
-
H L B值
-
粘度
-
PH值
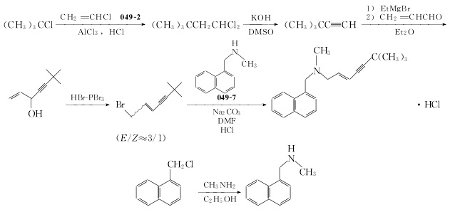
1.1,1-二氯-3,3-二甲基丁烷的制备在反应瓶中加入氯代叔丁烷186g(2mol)、无水三氯化铝9g,冷至-30ºC.在
搅拌下通入氯乙烯气体(由1,2-二氯乙烷250g,NaOH150g和无水乙醇200ml在50~90ºC反应制得),约1.5h通完,然后在30min内,缓慢升温至-15ºC.在剧烈搅拌下,加入200mol/L盐酸150ml,分出有机层,用水(100ml×2)洗涤,无水MgSO4干燥,过滤#将滤液在室温下减压除去过量的氯乙烯,得粗品1,1-二氯-3,3-二甲基丁烷311g(定量),可直接用于下步反应,分析样品经蒸馏制得.
2.叔丁基乙炔的制备
在反应瓶中加入KOH115g(2mol)和DMSO200ml,反应瓶上的冷凝管通50ºC的温水,反应瓶用油浴加热至140ºC,在搅拌下滴加上步制备的化合物1,1-二氯-3,3-二甲基丁烷77.5g(0.5mol),2h加完,再在140~170ºC搅拌反应10h.得粗产物32g,经蒸馏得经蒸馏得叔丁基乙炔26g,收率63.41%,
3.6,6-二甲基庚-1-烯-4-炔-3-醇的制备
在干燥的反应瓶中加入干燥的镁屑25.20g(1.04mol)、无水乙醚400ml,于室温搅拌下滴加新蒸馏的溴乙烷127g(1.16mol)的无水乙醚80ml溶液,滴加速度以能保持乙醚回流为准#加完后继续搅拌回流反应2h.在室温下,向反应瓶内形成的EtMgBr乙醚溶液中,搅拌滴加上步制备的化合物叔丁基乙炔82g(1mol)的无水乙醚(120ml)溶液,约3h滴加完,室温继续搅拌,直至白色固体形成,放置过夜.在冰/盐浴冷却下,在形成的炔烃格氏试剂的乙醚悬浊液中,于搅拌下滴加新蒸馏的丙烯醛60g(1.07mol)的无水乙醚100ml溶液,约3.5h加完,滴毕,于室温下搅拌过夜.在冰浴冷却下和搅拌下加入NH4Cl饱和水溶液150ml,搅拌充分后静置分层,分出醚层,水层用乙醚(100ml×3)提取,合并有机层#用饱和NaCl水溶液100ml洗涤,无水Na2SO4干燥,过滤,滤液蒸去乙醚后减压蒸馏,得6,6-二甲基庚-1-烯-4-炔-3-醇85g,收率59.06%.
4.1-溴-6,6-二甲基-2-烯-4-炔的制备
在反应瓶中加入48%氢溴酸(HBr)250ml和PBr350g,于40ºC下剧烈搅拌,直至形成均相混合物,然后在23M下搅拌滴加上步制备的化合物6,6-二甲基庚-1-烯-4-炔-3-醇[71g(0.51mol)]的乙醇(85ml)溶液,2h加完,加毕于室温继续搅拌反应2h将反应混合物倒入400ml冰水中,用正己烷(150ml×3)提取,提取液用水洗至中性,无水Na2SO4干燥,过滤,将滤液中正己烷蒸除,得粗品1-溴-6,6-二甲基-2-烯-4-炔100.6g,收率98.6%,可
直接用于特比萘芬的合成.
5.N-甲基-1-萘甲胺的制备
在反应瓶中加入30%甲胺的乙醇溶液300ml,冰浴冷却下,于搅拌下滴加1-氯甲基萘[51g(0.29mol)]的无水乙醇(120ml)溶液,约2h内滴加完,滴毕,搅拌片刻,于室温下放置过夜,反应液浓缩回收溶剂,将剩余物溶于氯仿150ml中,依次用1mol/LNaOH水溶液300ml洗涤,水洗,无水Na2SO4干燥,过滤,滤液浓缩回收溶剂,剩余物减压蒸馏,收集130~140ºC/0.5kPa馏分,得N-甲基-1-萘甲胺30.6g,收率61.6%.
6.N-[(2E)-6,6-二甲基庚-2-烯-4-炔基]-N-甲基-1-萘甲胺盐酸盐(盐酸特比萘芬)的合成
在反应瓶中加入上步制备的化合物N-甲基-1-萘甲胺89.5g(0.52mol、无水Na2CO3 55.3g(0.52mol)和DMF500ml,于冰浴冷却下,搅拌滴加第4步制备的化合物1-溴-6,6-二甲基-2-烯-4-炔100g(0.50ml),用乙醚(200ml×2)提取,有机层用水洗Na2SO4干燥,过滤,滤液蒸去乙醚,剩余物经300g硅胶过滤[用甲苯/乙酸乙酯(4:1)洗脱],滤液和洗脱液合并,蒸去溶剂后的油状物溶于200ml乙醇,在冷却下慢慢加入浓盐酸(搅拌下),调至pH4左右,减压蒸去乙醇,剩余物在室温真空干燥过夜,再将其溶于异丙醇200ml中,冷却,加入乙醚670ml,冰浴冷却放置过夜.过滤,用异丙醇/乙醚(1:1)洗涤滤饼,抽干,得白色结晶,再经异丙醇/乙醚重结晶得盐酸特比萘芬68.2g,收率41.6%.
|
1.1 产品标识符
: Terbinafine 盐酸盐 产品名称 1.2 鉴别的其他方法 trans-N-(6,6-Dimethyl-2-hepten-4-ylyl)-N-methyl-1-naphthylmethylaminehydrochloride 1.3 有关的确定了的物质或混合物的用途和建议不适合的用途 仅供科研用途,不作为药物、家庭备用药或其它用途。
模块2. 危险性概述 2.1 GHS分类 急性毒性, 经皮 (类别5) 皮肤刺激 (类别2) 眼刺激 (类别2A) 特异性靶器官系统毒性(一次接触) (类别3) 急性水生毒性 (类别1) 慢性水生毒性 (类别1) 2.2 GHS 标记要素,包括预防性的陈述 象形图 警示词警告 危险申明 H313接触皮肤可能有害。 H315造成皮肤刺激。 H319造成严重眼刺激。 H335可能引起呼吸道刺激。 H410对水生生物毒性极大并具有长期持续影响. 警告申明 预防 P261避免吸入粉尘/烟/气体/烟雾/蒸气/喷雾. P264操作后彻底清洁皮肤。 P271只能在室外或通风良好之处使用。 P273避免释放到环境中。 P280穿戴防护手套/ 眼保护罩/ 面部保护罩。 措施 P302 + P352如与皮肤接触,用大量肥皂和水冲洗受感染部位. P304 + P340如吸入,将患者移至新鲜空气处并保持呼吸顺畅的姿势休息. P305 + P351 + P338如与眼睛接触,用水缓慢温和地冲洗几分钟。如戴隐形眼镜并可方便地取 出,取出隐形眼镜,然后继续冲洗. P312如感觉不适,呼救中毒控制中心或医生. P321具体治疗(见本标签上提供的急救指导)。 P332 + P313如发生皮肤刺激:求医/ 就诊。 P337 + P313如仍觉眼睛刺激:求医/就诊。 如仍觉眼睛刺激:求医/就诊. P362脱掉沾染的衣服,清洗后方可重新使用。 P391收集溢出物。 储存 P403 + P233存放于通风良的地方。 保持容器密闭。 P405存放处须加锁。 处理 P501将内容物/ 容器处理到得到批准的废物处理厂。 2.3 其它危害物 - 无 模块3. 成分/组成信息 3.1 物 质 : trans-N-(6,6-Dimethyl-2-hepten-4-ylyl)-N-methyl-1- 别名 naphthylmethylaminehydrochloride : C21H25N · HCl 分子式 : 327.89 g/mol 分子量 组分浓度或浓度范围 Terbinafine hydrochloride - CAS 号78628-80-5 模块4. 急救措施 4.1 必要的急救措施描述 一般的建议 请教医生。 出示此安全技术说明书给到现场的医生看。 吸入 如果吸入,请将患者移到新鲜空气处。 如果停止了呼吸,给于人工呼吸。 请教医生。 皮肤接触 用肥皂和大量的水冲洗。 请教医生。 眼睛接触 用大量水彻底冲洗至少15分钟并请教医生。 食入 切勿给失去知觉者从嘴里喂食任何东西。 用水漱口。 请教医生。 4.2 主要症状和影响,急性和迟发效应 据我们所知,此化学,物理和毒性性质尚未经完整的研究。 4.3 及时的医疗处理和所需的特殊处理的说明和指示 无数据资料 模块5. 消防措施 5.1 灭火介质 灭火方法及灭火剂 用水雾,耐醇泡沫,干粉或二氧化碳灭火。 5.2 源于此物质或混合物的特别的危害 碳氧化物, 氮氧化物, 氯化氢气体 5.3 给消防员的建议 如必要的话,戴自给式呼吸器去救火。 5.4 进一步信息 无数据资料 模块6. 泄露应急处理 6.1 人员的预防,防护设备和紧急处理程序 使用个人防护设备。 防止粉尘的生成。 防止吸入蒸汽、气雾或气体。 保证充分的通风。 将人员撤离到安全区域。 避免吸入粉尘。 6.2 环境保护措施 在确保安全的前提下,采取措施防止进一步的泄漏或溢出。 不要让产物进入下水道。 防止排放到周围环境中。 6.3 抑制和清除溢出物的方法和材料 收集、处理泄漏物,不要产生灰尘。 扫掉和铲掉。 存放进适当的闭口容器中待处理。 6.4 参考其他部分 丢弃处理请参阅第13节。 模块7. 操作处置与储存 7.1 安全操作的注意事项 避免接触皮肤和眼睛。 防止粉尘和气溶胶生成。 在有粉尘生成的地方,提供合适的排风设备。一般性的防火保护措施。 7.2 安全储存的条件,包括任何不兼容性 贮存在阴凉处。 容器保持紧闭,储存在干燥通风处。 7.3 特定用途 无数据资料 模块8. 接触控制和个体防护 8.1 容许浓度 最高容许浓度 没有已知的国家规定的暴露极限。 8.2 暴露控制 适当的技术控制 按照良好工业和安全规范操作。 休息前和工作结束时洗手。 个体防护设备 眼/面保护 带有防护边罩的安全眼镜符合 EN166要求请使用经官方标准如NIOSH (美国) 或 EN 166(欧盟) 检测与批准的设备防护眼部。 皮肤保护 戴手套取 手套在使用前必须受检查。 请使用合适的方法脱除手套(不要接触手套外部表面),避免任何皮肤部位接触此产品. 使用后请将被污染过的手套根据相关法律法规和有效的实验室规章程序谨慎处理. 请清洗并吹干双手 所选择的保护手套必须符合EU的89/686/EEC规定和从它衍生出来的EN 376标准。 身体保护 防渗透的衣服, 防护设备的类型必须根据特定工作场所中的危险物的浓度和含量来选择。 呼吸系统防护 如须暴露于有害环境中,请使用P95型(美国)或P1型(欧盟 英国 143)防微粒呼吸器。如需更高级别防护,请使用OV/AG/P99型(美国)或ABEK-P2型 (欧盟 英国 143) 防毒罐。 呼吸器使用经过测试并通过政府标准如NIOSH(US)或CEN(EU)的呼吸器和零件。 模块9. 理化特性 9.1 基本的理化特性的信息 a) 外观与性状 形状: 粉末 颜色: 白色 b) 气味 无数据资料 c) 气味阈值 无数据资料 d) pH值 无数据资料 e) 熔点/凝固点 无数据资料 f) 起始沸点和沸程 无数据资料 g) 闪点 无数据资料 h) 蒸发速率 无数据资料 i) 易燃性(固体,气体) 无数据资料 j) 高的/低的燃烧性或爆炸性限度 无数据资料 k) 蒸汽压 无数据资料 l) 蒸汽密度 无数据资料 m) 相对密度 无数据资料 n) 水溶性 无数据资料 o) n-辛醇/水分配系数 辛醇--水的分配系数的对数值: 5.342 p) 自燃温度 无数据资料 q) 分解温度 无数据资料 r) 粘度 无数据资料 模块10. 稳定性和反应活性 10.1 反应性 无数据资料 10.2 稳定性 无数据资料 10.3 危险反应的可能性 无数据资料 10.4 应避免的条件 无数据资料 10.5 不兼容的材料 强氧化剂 10.6 危险的分解产物 其它分解产物 - 无数据资料 模块11. 毒理学资料 11.1 毒理学影响的信息 急性毒性 半数致死剂量 (LD50) 经皮 - 大鼠 - > 2,000 mg/kg 备注: 感觉器官和特殊感觉(鼻、眼、耳和味觉):眼:上睑下垂。 行为的:运动失调症 血:脾脏改变。 皮肤刺激或腐蚀 无数据资料 眼睛刺激或腐蚀 无数据资料 呼吸道或皮肤过敏 无数据资料 生殖细胞突变性 无数据资料 致癌性 IARC: 此产品中没有大于或等于 0。1%含量的组分被 IARC鉴别为可能的或肯定的人类致癌物。 生殖毒性 致畸性 - 大鼠 - 经口 母体效应:其他影响。 特异性靶器官系统毒性(一次接触) 吸入 - 可能引起呼吸道刺激。 特异性靶器官系统毒性(反复接触) 无数据资料 吸入危险 无数据资料 潜在的健康影响 吸入吸入可能有害。 引起呼吸道刺激。 摄入如服入是有害的。 皮肤如果通过皮肤吸收可能是有害的。 造成皮肤刺激。 眼睛造成严重眼刺激。 接触后的征兆和症状 据我们所知,此化学,物理和毒性性质尚未经完整的研究。 附加说明 化学物质毒性作用登记: QJ8600100 模块12. 生态学资料 12.1 生态毒性 无数据资料 12.2 持久存留性和降解性 无数据资料 12.3 潜在的生物蓄积性 无数据资料 12.4 土壤中的迁移性 无数据资料 12.5 PBT 和 vPvB的结果评价 无数据资料 12.6 其它不利的影响 对水生生物毒性极大。 无数据资料 模块13. 废弃处置 13.1 废物处理方法 产品 与易燃溶剂相溶或者相混合,在备有燃烧后处理和洗刷作用的化学焚化炉中燃烧 受污染的容器和包装 作为未用过的产品弃置。 模块14. 运输信息 欧洲陆运危规: 3077国际海运危规: 3077国际空运危规: 3077 14.2 联合国(UN)规定的名称 欧洲陆运危规: ENVIRONMENTALLY HAZARDOUS SUBSTANCE, SOLID, N.O.S. (Terbinafine hydrochloride) 国际海运危规: ENVIRONMENTALLY HAZARDOUS SUBSTANCE, SOLID, N.O.S. (Terbinafine hydrochloride) 国际空运危规: Environmentally hazardous substance, solid, n.o.s. (Terbinafine hydrochloride) 14.3 运输危险类别 欧洲陆运危规: 9国际海运危规: 9国际空运危规: 9 14.4 包裹组 欧洲陆运危规: III国际海运危规: III国际空运危规: III 14.5 环境危险 欧洲陆运危规: 是国际海运危规 海运污染物: 是国际空运危规: 是 14.6 对使用者的特别提醒 进一步信息 危险品独立包装,液体5升以上或固体5公斤以上,每个独立包装外和独立内包装合并后的外包装上都必须有EHS 标识 (根据欧洲 ADR 法规 2.2.9.1.10, IMDG 法规 2.10.3), 模块16. 其他信息 进一步信息 上述信息视为正确,但不包含所有的信息,仅作为指引使用。本文件中的信息是基于我们目前所知,就正 模块 15 - 法规信息 N/A |
| 符号 |
GHS07, GHS09 |
|---|---|
| 信号词 | Warning |
| 危害声明 | H315-H319-H335-H410 |
| 警示性声明 | P305 + P351 + P338 |
| 个人防护装备 | dust mask type N95 (US);Eyeshields;Gloves |
| 危害码 (欧洲) | Xi: Irritant;N: Dangerous for the environment; |
| 风险声明 (欧洲) | R36/37/38 |
| 安全声明 (欧洲) | S26-S36/37/39-S61-S60 |
| 危险品运输编码 | UN 3077 9/PG 3 |
| RTECS号 | QJ8600100 |
| 海关编码 | 2921499090 |

搜索







