地拉韦啶
Delavirdine(U 90152)是非核苷类逆转录酶抑制剂(NNRTI)。
产品名称
-
中文名地拉呋定
-
英文名Delavirdine
-
中文别名1-[3-[(1-甲基乙基)氨基]-2-吡啶基]-4-[[5-[(甲磺酰基)氨基]-1H-吲哚-2-基]羰基]哌嗪 | 地拉韦啶
-
英文别名
[14C]-Delavirdine delarividine 2-(4-(5-Methanesulfonamido-1H-indol-2-ylcarbonyl)-1-piperazinyl)-N-(1-methylethyl)-3-pyridinamine 1-[3-(Isopropylamino)-2-pyridyl]-4-[(5-methanesulfonamidoindol-2-yl)carbonyl]piperazine DELAVIRDINE Delavirdine Mesylate 1-(3-((1-Methylethyl)amino)-2-pyridinyl)-4-((5-((methylsulfonyl)amino)-1H-indol-2-yl)carbonyl)piperazine Unii-dol5F9jd3e Delaviridine N-[2-[[4-[3-[(1-Methylethyl)amino]-2-pyridinyl]-1-piperazinyl]carbonyl]-1H-indol-5-yl]methanesulfonamide -
常用名地拉韦啶
-
C A S号136817-59-9
物理性质
-
密度1.388g/cm3
-
沸点732ºC at 760mmHg
-
熔点226-228ºC
-
化学式C22H28N6O3S
-
结构式
1、 摩尔折射率:124.34
2、 摩尔体积(cm3/mol):328.7
3、 等张比容(90.2K):958.7
4、 表面张力(dyne/cm):72.3
5、 极化率(10-24cm3):49.29
-
闪点396.5ºC
-
分子量456.56100
-
精确质量456.19400
-
P S A118.81000
-
外观形状
-
储存条件-20°C Freezer
-
稳定性
-
水溶解性
-
形态
-
H L B值
-
粘度
-
PH值
作用/用途
Delavirdine(U 90152)是非核苷类逆转录酶抑制剂(NNRTI)。
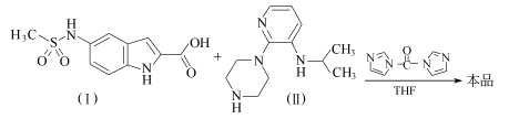
制备方法
化合物(I)和化合物(II)在四氢呋喃中,1,1’-羰基二咪唑存在下反应,可得产物。
安全提醒
MSDS
原料简介
应用范围
毒性和生态
安全信息
是否危险品
危险性
危险类别码
危险等级
触发危险方式
安全技术说明书
环境影响程度
包装与储运
相关供应商

搜索






