西地那非
Sildenafil是磷酸二酯酶5(PDE-5)抑制剂,IC50为5.22 nM,可能是最好的可作用于勃起功能紊乱的化合物。
产品名称
-
中文名西地那非
-
英文名Sildenafil
-
中文别名1-[4-乙氧基-3-[5-(6,7-二氢-1-甲基-7-氧代-3-丙基-1H-吡唑并[4,3d]嘧啶)]苯磺酰]-4-甲基哌嗪 | 1-[[3-(6,7-二氢-1-甲基-7-氧-3-丙基-1H-吡唑并-[4,3-d]嘧啶-5-基)-4-乙氧苯基]璜酰基]-4-甲基哌嗪 | 5-[2-乙氧基-5-(4-甲基哌嗪-1-基磺基)苯基]-1-甲基.3-正丙基-1,6-二氢-7H-吡唑并[4,3-D]嘧啶-7-酮
-
英文别名
5-{2-Ethoxy-5-[(4-methylpiperazin-1-yl)sulfonyl]phenyl}-1-methyl-3-propyl-1,4-dihydro-7H-pyrazolo[4,3-d]pyrimidin-7-one 5-{2-Ethoxy-5-[(4-methylpiperazin-1-yl)sulfonyl]phenyl}-1-methyl-3-propyl-1,6-dihydro-7H-pyrazolo[4,3-d]pyrimidin-7-one SIDANAFIL Caverta UK 92480 5-{2-(ethyloxy)-5-[(4-methylpiperazin-1-yl)sulfonyl]phenyl}-1-methyl-3-propyl-1,6-dihydro-7H-pyrazolo[4,3-d]pyrimidin-7-one EINECS 200-659-6 1-((3-(4,7-Dihydro-1-methyl-7-oxo-3-propyl-1H-pyrazolo[4,3-d]pyrimidin-5-yl)-4-ethoxyphenyl)sulfonyl)-4-methylpiperazine piperazine, 1-[[3-(6,7-dihydro-1-methyl-7-oxo-3-propyl-1H-pyrazolo[4,3-d]pyrimidin-5-yl)-4-ethoxyphenyl]sulfonyl]-4-methyl- 5-{2-Ethoxy-5-[(4-methyl-1-piperazinyl)sulfonyl]phenyl}-1-methyl-3-propyl-1,4-dihydro-7H-pyrazolo[4,3-d]pyrimidin-7-one 7H-Pyrazolo[4,3-d]pyrimidin-7-one, 5-[2-ethoxy-5-[(4-methyl-1-piperazinyl)sulfonyl]phenyl]-1,6-dihydro-1-methyl-3-propyl- viagTa Revatio Sildenafil MFCD00867528 Sildenafil EU -
常用名西地那非
-
C A S号139755-83-2
物理性质
-
密度1.4±0.1 g/cm3
-
沸点672.4ºC at 760 mmHg
-
熔点187-189°C
-
化学式C22H30N6O4S
-
结构式
1、 摩尔折射率:126.02
2、 摩尔体积(cm3/mol):339.4
3、 等张比容(90.2K):922.1
4、 表面张力(dyne/cm):54.4
5、 极化率(10-24cm3):49.96
-
闪点360.5ºC
-
分子量474.576
-
精确质量474.204926
-
P S A121.80000
-
外观形状白色结晶粉末
-
储存条件Refrigerator
-
稳定性
-
水溶解性
-
形态
-
H L B值
-
粘度
-
PH值
作用/用途
Sildenafil是磷酸二酯酶5(PDE-5)抑制剂,IC50为5.22 nM,可能是最好的可作用于勃起功能紊乱的化合物。
制备方法
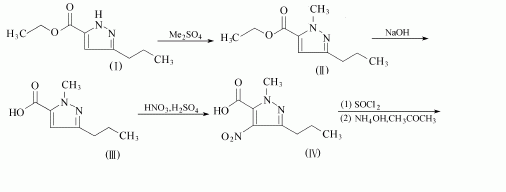
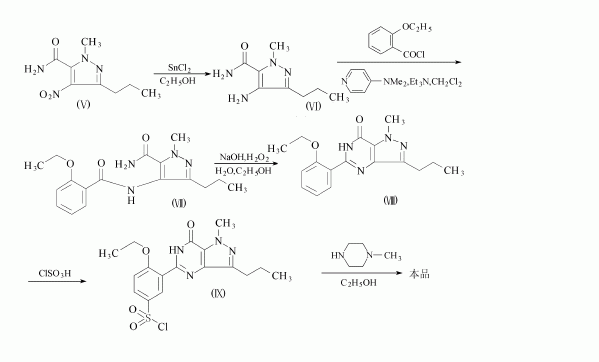
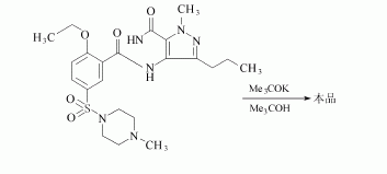
3-正丙基吡唑-5-羧酸乙酯和硫酸二甲酯混合,反应得到2-甲基-3-正丙基吡唑-5-羧酸乙酯。将其悬浮于氢氧化钠溶液中,水解得2-甲基-3-正丙基吡唑-5-羧酸。将该水解产物分批加到混酸中,硝化得1-甲基-4-硝基-3-正丙基吡唑-5-羧酸。硝化产物用氯化亚砜氯化为酰氯后,再用浓氨水氨化,得1-甲基-4-硝基-3-正丙基吡唑-5-羧酰胺。该羧酰胺和二氯化锡二水物悬浮于乙醇中,回流还原,得4-氨基-1-甲基-3-正丙基吡唑-5-羧酰胺。将该还原产物、4-二甲氨基吡啶和三乙胺溶于二氯甲烷,再加入2-乙氧基苯甲酰氯的二氯甲烷溶液,酰化得4-(2-乙氧基苯甲酰氨基)-1-甲基-3-正丙基吡唑-5-羧酰胺。该酰化产物在氢氧化钠水溶液和双氧水作用下,环合得5-(2-乙氧基苯基)-1-甲基-3-正丙基-1,6-二氢-7H-吡唑并[4,3-d]吡啶-7-酮。将环合产物分批加到氯磺酸中,得5-(5-氯磺基2-乙氧基苯基)-1-甲基-3-正丙基 1,6-二氢-7H-吡唑并[4,3-d]吡啶-7-酮。将该氯磺化产物悬浮于乙醇,加入4-甲基哌嗪,搅拌得西地那非。
安全提醒
MSDS
原料简介
应用范围
毒性和生态
安全信息
| 符号 |
GHS02, GHS06, GHS08 |
|---|---|
| 信号词 | Danger |
| 危害声明 | H225-H301 + H311 + H331-H370 |
| 警示性声明 | P210-P260-P280-P301 + P310-P311 |
| 危害码 (欧洲) | Xi |
| 风险声明 (欧洲) | R36/37/38:Irritating to eyes, respiratory system and skin . |
| 安全声明 (欧洲) | S22-S24/25 |
| 危险品运输编码 | UN1230 - class 3 - PG 2 - Methanol, solution |
| 海关编码 | 2933990090 |
是否危险品
危险性
危险类别码
危险等级
触发危险方式
安全技术说明书
环境影响程度
包装与储运
相关供应商

搜索









