苄普地尔
新型钙拮抗剂,为抑制钙离子慢通道,选择性地扩张冠脉,此外,还能抑制钠、钾离子通道,因而具有I a、Ⅲ及Ⅳ类抗心律失常药物特性。半衰期长达42h.可一天给药一次。耐受良好,毒副反应较小。主要用于心绞痛的预防和治疗,并可用于心律失常、高血压和冠心病。
-
中文名苄普地尔
-
英文名bepridil
-
中文别名苄丙咯 | 1-[2-(N-苄基苯胺基)-1-异丁氧甲基)乙基]吡咯烷
-
英文别名
Org 5730 Bepridil (INN) Bepadin N-benzyl-N-[3-(2-methylpropoxy)-2-pyrrolidin-1-ylpropyl]aniline Vascor Bepadin (TN) Cordium CERM 1978 -
常用名苄普地尔
-
C A S号64706-54-3
-
密度1.054 g/cm3
-
沸点492.3ºC at 760 mmHg
-
熔点N/A
-
化学式C24H34N2O
-
结构式
1、 摩尔折射率:114.48
2、 摩尔体积(cm3/mol):347.7
3、 等张比容(90.2K):897.7
4、 表面张力(dyne/cm):44.4
5、 极化率(10-24cm3):45.38
-
闪点133.2ºC
-
分子量366.54000
-
精确质量366.26700
-
P S A15.71000
-
外观形状
-
储存条件
-
稳定性
-
水溶解性
-
形态
-
H L B值
-
粘度
-
PH值
新型钙拮抗剂,为抑制钙离子慢通道,选择性地扩张冠脉,此外,还能抑制钠、钾离子通道,因而具有I a、Ⅲ及Ⅳ类抗心律失常药物特性。半衰期长达42h.可一天给药一次。耐受良好,毒副反应较小。主要用于心绞痛的预防和治疗,并可用于心律失常、高血压和冠心病。
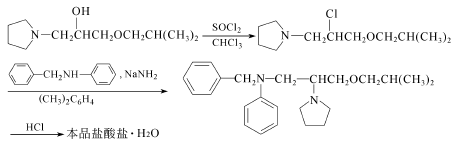
方法1:异丁醇、环氧氯丙烷和无水氯化锌,95℃搅拌得到化合物(I)。冷至40℃,加入吡咯烷搅拌。在15℃滴加氢氧化钠溶液,在70~80℃搅拌后,再在95℃搅拌。加入冷水,用甲苯提取。回收甲苯后,收集120~122℃/1.3kPa的馏分,得化合物(Ⅱ),收率83%。化合物(I)溶于氯仿,45℃滴加氯化亚砜的氯仿溶液,回流。减压蒸出溶剂和过量的氯化亚砜,残液倾入冰水中,用饱和碳酸氢钠中和至Ph=8.5,乙醚提取。提取液干燥,浓缩,收集96℃/0.4kPa的馏分,得化合物(Ⅲ),收率75%。往氨基钠在无水甲苯的悬浮液中,滴加N-苄基苯胺的无水甲苯溶液,回流。冷至10℃滴加冷水,倾入碎冰中,用甲苯提取。提取液水洗,回收甲苯,加入10%盐酸。产生的沉淀用乙酸乙酯重结晶,得盐酸苄普地尔,收率80%,熔点89~91℃。
往275g 1-(3-异丁氧基-2-羟基-1-丙基)吡咯烷溶于350ml氯仿的溶液中,在45℃下,逐滴加入345ml二氯亚砜溶于345ml氯仿的溶液,加热回流直至无气体逸出。减压蒸去氯仿和过剩的二氯亚砜,剩余物倾入400g的碎冰中。用苏打调至碱性后,用乙醚萃取2次。萃取液用无水硫酸钠干燥,过滤,浓缩,剩余物在减压下蒸馏。得到220g的1-(3-异丁氧基-2-氯-1-丙基)吡咯烷,沸点96℃/400Pa,nD241.4575。
92gn-苄基苯胺溶于500ml无水二甲苯中,慢慢地加入23.4g的氨基钠,加毕在130~135℃加热6h。在110℃下,加入110g1-(3-异丁氧基-2-氯-1-丙基)吡咯烷溶于150ml二甲苯的溶液,加毕在120℃反应6h。反应混合物冷却至周围温度后,加入200ml冷水。分出的有机层用盐酸水溶液萃取,萃取液用100ml乙醚洗涤2次后,用50%的苏打溶液调至碱性,再用150ml乙醚萃取2次。萃取液浓缩,减压蒸馏,得到77g黏稠液体的苄普地尔,沸点184℃/13.3Pa,nD201.5538。盐酸苄普地尔可用常规方法得到,熔点128℃。
方法2:丙烯腈和溴及氢溴酸作用后,分馏得到2,3-二溴丙酸,乙酯化,再和异丁醇反应,生成2-溴-3-(2-甲基丙氧基)丙酸乙酯,接着和吡咯烷反应,取代2位的溴,最后和N-苄基苯胺进行还原胺化反应,生成苄普地尔。
| 海关编码 | 2933990090 |
|---|

搜索








