盐酸茚洛秦
脑功能改善剂,能改善脑代谢,增强记忆力,并有抗健忘、增强学习、脑波赋活等脑功能赋活作用和对低氧的保护作用。用于脑血管障碍和老年痴呆患者。
-
中文名盐酸茚洛秦
-
英文名Indeloxazine hydrochloride
-
中文别名茚氯嗪 | 2-[(1H-茚-7-基氧基)甲基]-吗啉盐酸盐 | 2-(3H-茚-4-基氧甲基)吗啉盐酸盐
-
英文别名
2-(3H-inden-4-yloxymethyl)morpholine,hydrochloride -
常用名盐酸茚洛秦
-
C A S号65043-22-3
-
密度N/A
-
沸点401.4ºC at 760 mmHg
-
熔点169-170°; mp 155-156°
-
化学式C14H18ClNO2
-
结构式
1、 摩尔折射率:66.12
2、 摩尔体积(cm3/mol):205.3
3、 等张比容(90.2K):531.5
4、 表面张力(dyne/cm):44.8
5、 极化率(10-24cm3):26.21
-
闪点160.3ºC
-
分子量267.75100
-
精确质量267.10300
-
P S A30.49000
-
外观形状
-
储存条件
-
稳定性
-
水溶解性
-
形态
-
H L B值
-
粘度
-
PH值
脑功能改善剂,能改善脑代谢,增强记忆力,并有抗健忘、增强学习、脑波赋活等脑功能赋活作用和对低氧的保护作用。用于脑血管障碍和老年痴呆患者。
方法1:以7-茚酚为原料,按常法可和氯代环氧丙烷在碱催化下反应,得到环氧化物I。29ml 70%氢氧化钠水溶液和2-氨基乙基硫酸氢酯(35g,0.25mo1)混合,在50~55℃和搅拌下,滴加化合物(I)(9.4g,0.05mol)在50ml甲醇中的溶液。继续搅拌1h后,加入50ml 70%氢氧化钠水溶液,在50~55℃再搅拌16h。用300ml水稀释后,用甲苯(2×100ml)提取。提取液水洗(2×100ml),无水硫酸镁干燥。蒸去溶剂后,剩余的油状物减压蒸馏,得6.7g粘稠油状的化合物(Ⅱ),收率58%,沸点146~156℃/67Pa。该油状的化合物(Ⅱ)溶于丙酮,加入5%氯化氢在异丙醇中的溶液,得到的固体再用丙酮重结晶,可得纯的化合物(Ⅱ)的盐酸盐,熔点143~155℃。
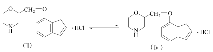
化合物(Ⅱ)实际上由两个化合物组成,即盐酸茚洛秦(III)和其互变异构体(Ⅳ),它们是由烯键的移位所造成的,其平衡组成为(Ⅲ):(1V):2:1。该平衡由碱催化。但盐酸茚洛秦在一些溶剂,如甲醇或丙酮中的溶解比其互变异构体(Ⅳ)要小。而在悬浮状态时,它们的平衡比例将改变。如在小量甲醇中,在催化量的碱存在下,它们的比例为(IlI):(Ⅳ)=9.7:0.3。因而可以利用该性质,从化合物(Ⅱ)得到高收率的盐酸茚洛秦。下面是一则实例:将化合物(II)的盐酸盐(10.0g,0.037mo1)溶于30ml丙酮,加入催化量的化合物(1I)(0.9g,0.0038mo1)作为碱,在室温下剧烈搅拌24h。过滤收集析出的沉淀,用丙酮彻底洗涤。如此得到的盐酸茚洛秦(9.8g)还含有3%的化合物(IV),再用35ml甲醇重结晶,可以得到7.3g很纯的盐酸茚洛秦,收率为73%,熔点169~170℃。从滤液中回收的化合物(Ⅱ)仍为两个互变异构体的平衡组成。可继续进行分离。
方法2:从这一方法可以直接得到单一的盐酸茚洛秦。但反应相对较繁。2-苄氧基苯乙醇和N-溴代琥珀酰亚胺反应,羟基被溴代,再和氰化钾作用进行氰取代,氢化脱去氧上的苄基,生成2-(2-氰基乙基)苯酚,水解氰基为羧基,在酸性中分子内酯化为内酯、重排生成茚衍生物,和2-溴甲基-4-三苯甲基吗啉作用成醚,氢化羰基为羟基,最后水解脱水消除,得到盐酸茚洛秦。
| 危险品运输编码 | UN 3249 |
|---|---|
| 包装等级 | III |
| 危险类别 | 6.1(b) |
| 海关编码 | 2934999090 |

搜索








