卡芦莫南
-
中文名卡芦莫南
-
英文名(Z)-Carumonam
-
中文别名[2S-[2Α,3Α(Z)]]-[[[2-[[2-(氨基羰氧甲基)-4-氧代-1-磺基-3-吖丁啶基]氨基]-1-(2-氨基-4-噻唑基)-2-氧代亚乙基]氨基]氧]乙酸 | 卡卢莫南
-
英文别名
Ro 17-2301/006 (3S,4S)-cis-3-[2-(2-Amino-4-thiazolyl)-2-(Z)-carboxymethoxyiminoacetamido]-4-carbamoyloxymethyl-2-azetidinone-1-sulfonic Acid (Z)-[[[(2-Amino-4-thiazolyl)[[(2S,3S)-2-(hydroxymethyl)-4-oxo-1-sulfo-3-azetidinyl]carbamoyl]methylene]-amino]oxy]acetic Acid Carbamate (Ester) Acetic acid, 2-[[[(1Z)-2-[[(2S,3S)-2-[[(aminocarbonyl)oxy]methyl]-4-oxo-1-sulfo-3-azetidinyl]amino]-1-(2-amino-4-thiazolyl)-2-oxoethylidene]amino]oxy]- Carumonam CRMN Carumonamum [2S-[2a,3a(Z)]]-[[[2-[[2-[[(Aminocarbonyl)oxy]methyl]-4-oxo-1-sulfo-3-azetidinyl]amino]-1-(2-amino-4-thiazolyl)-2-oxoethylidene]amino]oxy]aceticAcid ({[(1Z)-1-(2-Amino-1,3-thiazol-4-yl)-2-({(2S,3S)-2-[(carbamoyloxy)methyl]-4-oxo-1-sulfoazetidin-3-yl}amino)-2-oxoethylidene]amino}oxy)acetic acid AMA 1080 ({(Z)-[1-(2-Amino-1,3-thiazol-4-yl)-2-({(2S,3S)-2-[(carbamoyloxy)methyl]-4-oxo-1-sulfo-3-azetidinyl}amino)-2-oxoethylidene]amino}oxy)acetic acid Carumonam (INN) (3S,4S)-3-[(Z)-2-(2-amino-4-thiazolyl)-2-[(carboxymethoxy)imino]acetamido]-4-carbamoyloxymethyl-2-oxo-1-azetidinesulphonic acid 2-[(Z)-[1-(2-amino-1,3-thiazol-4-yl)-2-[[(2S,3S)-2-(carbamoyloxymethyl)-4-oxo-1-sulfoazetidin-3-yl]amino]-2-oxoethylidene]amino]oxyacetic acid Acetic acid, (((Z)-(2-(((2S,3S)-2-(((aminocarbonyl)oxy)methyl)-4-oxo-1-sulfo-3-azetidinyl)amino)-1-(2-amino-4-thiazolyl)-2-oxoethylidene)amino)oxy)- Amasulin -
常用名卡芦莫南
-
C A S号87638-04-8
-
密度2.1±0.1 g/cm3
-
沸点N/A
-
熔点N/A
-
化学式C12H14N6O10S2
-
结构式
1、 摩尔折射率:96.70
2、 摩尔体积(cm3/mol):229.9
3、 等张比容(90.2K):737.6
4、 表面张力(dyne/cm):105.8
5、 极化率(10-24cm3):38.33
-
闪点N/A
-
分子量466.404
-
精确质量466.021271
-
P S A290.52000
-
外观形状
-
储存条件
-
稳定性
-
水溶解性
-
形态
-
H L B值
-
粘度
-
PH值
方法1:
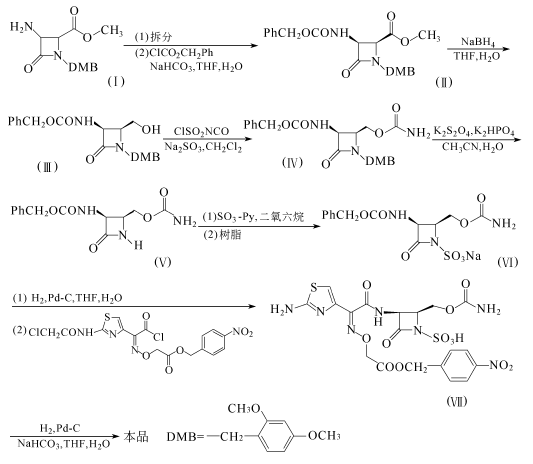
消旋化合物(I)(50.2g,171mmo1)和二(对甲苯酰基)-D-酒石酸(34.5g,86.lmmo1)溶于128ml热乙腈。过滤,滤液于室温下放置过夜。过滤收集析出的结晶,用冷乙腈洗,并用乙腈重结晶,得光学活性的化合物(3S,4S -I)和酒石酸所成的盐(1:1),为无色结晶,40.6g,收率70%,熔点166~169℃,[α] D26+70.1°(C=0.9,甲醇)。将该盐(17.8g,26.2mmo1)悬浮于100ml水和200ml四氢呋喃的混合液中,在冰浴冷却葙搅拌下,加入碳酸氢钠(6.6g,78.6mmo1)和氯甲酸苄酯(5.4g,3l.6mmo1)。在冰浴冷却下搅拌lh,再在室温下搅拌1h。反应液减压浓缩后,再用200ml水和400ml乙酸乙酯稀释。分出有机层,水层用200ml乙酸乙酯提取。提取液和有机层合并,依次用5%碳酸氢钠水溶液、盐水、lmol/L盐酸和盐水洗,干燥。蒸发至干,固体剩余物用乙醚洗后,再用乙酸乙酯-己烷(1:1)重结晶。得无色结晶的化合物(II),收率47%,熔点120~121℃,[α]D23+24.7°(C=1,氯仿)。
化合物(II)(12.0g,30rnmo1)溶于500ml四氢呋喃,在冰浴冷却和搅拌下,加入硼氢化钠(2.65g,70mmo1)在250m1水的溶液。加毕,在室温下搅拌5h。减压蒸出四氢呋喃,浓缩液用水稀释。过滤收集产生的沉淀,水洗,乙酸乙酯重结晶。得化合物(Ⅲ),收率76%,熔点137~138℃,[α]D23+40.1。(C=1,甲醇)。
化合物(Ⅲ)(400mg,1mmo1)溶于8ml二氯甲烷,在冰浴冷却和搅拌下,加入氯磺酰基异氰酸酯(0.09ml,1mmo1),搅拌30min。再加入0.09ml氯磺酰基异氰酸酯,再搅拌10min。加入280mg亚硫酸钠在6ml水的溶液,在室温下搅拌1h。加入二氯甲烷稀释,分出有机层,用盐水洗,干燥。减压浓缩,剩余物用乙醚浸渍,过滤收集结晶。得化合物(Ⅳ),直接用于下步反应。将化合物(Ⅳ) (1.0mmo1)、过二硫酸钾(1.4~4.0mmo1)和磷酸一氢钾(1.3~2.0mmo1)加入乙腈和水(2:1,30m1)的混合液中,在油浴(80~95℃)加热搅拌1~3h。减压蒸出乙腈,浓缩液用乙酸乙酯提取。提取液依次用碳酸氢钠水溶液和盐水洗,干燥。减压浓缩,剩余物柱层析或重结晶提纯。得无色针状结晶的化合物(V),收率74%,熔点19l~192℃,[α]D23+60.6°(C=1,甲醇)。
化合物(V)(293mg,1mmo1)溶于10ml二氧六烷,在搅拌下加入三氧化硫-吡啶复合物(477mg,3mmo1),在室温下搅拌14h。蒸出溶剂,加入20ml水和20ml[Dowex 50W(Na+型),在室温下搅拌1h。过滤除去树脂,滤液减压浓缩。浓缩液用20ml Amberlite XAD-2层析,用配比缓慢变化乙醇水溶液(1%~10%)洗脱。洗脱液冻干后,得270mg无色粉末状的化合物(Ⅵ),收率64%,[α]D23+29.4°(C=0.7,水)。
化合物(Ⅵ)(422mg,1mmo1)和422mg 10%钯-炭催化剂悬浮于10ml水和10ml四氢呋喃中,在室温下常压氢化1h。滤去催化剂,滤液用冰浴冷却,在搅拌下加入碳酸氢钠(202mg,2.4mmo1)和2-(2-氯乙酰氨基噻唑-4-基)-(Z)-2-(4-硝基苄氧羰基甲氧基亚氨基)乙酰氯盐酸盐(614mg,1.2mmo1),搅拌30min。用1mol/L盐酸调Ph值至5。减压浓缩至约30ml,再加入10ml四氢呋喃稀释,然后加入194mg N-甲基二硫代氨基甲酸钠,在室温下搅拌1h。再加入194mg N-甲基二硫代氨基甲酸钠,在室温下再搅拌1h。蒸出四氢呋喃,剩余溶液用乙醚洗后,减压浓缩。剩余物用200m1.Amberlite XAD-2层析,用配比逐渐变化的乙醇水溶液(0~20%)洗脱。洗脱液冻干,得500mg淡黄色粉末状的化合物(Ⅶ),收率76%,[α]D26+10.1°(C=1,水)。
化合物(Ⅶ)(500mg,0.75mmo1)、碳酸氢钠(71.4mg)和10%钯-炭催化剂(300mg)悬浮于20ml水和21ml四氢呋喃的混合液中,在室温下常压氢化1.5h。滤去催化剂,滤液减压浓缩后,用3mol/L盐酸(0.83m1)处理。然后用140ml Amberlite XAD-2层析,用配比逐渐变化的乙醇水溶液(0~5%)洗脱。洗脱液冻干后,得无色粉末。将该粉末悬浮于4.5ml水,在5℃下放置过夜。过滤收集结晶,冷水洗,得280mg无色结晶的卡芦莫南,收率75%,[α]D264-46.3°(C=1,二甲亚砜)。
方法2:以下列化合物为原料,经下列反应得到。

搜索









