厄多司坦
-
中文名厄多司坦
-
英文名Erdosteine
-
中文别名N-(四氢-2-氧-3-噻吩基)-3-硫代戊二酸单酰胺 | N-[2-(羧甲基巯基)-乙酰基]-高半胱氨酸硫内酯
-
英文别名
({2-Oxo-2-[(2-oxotetrahydro-3-thiophenyl)amino]ethyl}sulfanyl)acetic acid N-(Carboxymethylthioacetyl)homocysteine Thiolactone [[2-Oxo-2-[(tetrahydro-2-oxo-3-thienyl)amino]ethyl]thio]acetic Acid ERDOSTEINE BP98 KW-9144 Erdosteine Dithiosteine pv144 ({2-Oxo-2-[(2-oxotetrahydrothiophen-3-yl)amino]ethyl}sulfanyl)acetic acid R,S-erdosteine (±)-[[[(Tetrahydro-2-oxo-3-thienyl)carbamoyl]methyl]thio]acetic Acid Acetic acid, 2-[[2-oxo-2-[(tetrahydro-2-oxo-3-thienyl)amino]ethyl]thio]- RV-144 MFCD00867664 DL-S-[2-[N-3-(2-Oxotetrahydrothienyl)acetamido]]thioglycolic Acid -
常用名厄多司坦
-
C A S号84611-23-4
-
密度1.5±0.1 g/cm3
-
沸点590.4±50.0 °C at 760 mmHg
-
熔点156-160°C
-
化学式C8H11NO4S2
-
结构式
1、 摩尔折射率:39.72
2、 摩尔体积(cm3/mol):118.0
3、 等张比容(90.2K):332.0
4、 表面张力(dyne/cm):62.6
5、 极化率(10-24cm3):15.74
-
闪点310.8±30.1 °C
-
分子量249.307
-
精确质量249.012955
-
P S A134.07000
-
外观形状白色或近乎于白色结晶粉末
-
储存条件Refrigerator
-
稳定性
-
水溶解性
-
形态
-
H L B值
-
粘度
-
PH值
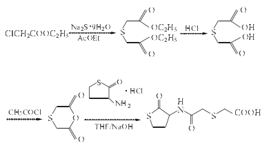
氯乙酸乙酯和硫化钠反应后,在盐酸作用下进行酸性水解,然后在乙酰氯作用下环合得到3-硫代戊二酸酐.将高半胱氨酸巯内酯盐酸盐溶于四氢呋喃中,以氢氧化钠水溶液中和后,再和3-硫代戊二酸酐反应,并以氧化钠水溶液调pH至7~8,即得厄多司坦.
1. 3-硫代戊二酸的制备
在反应瓶中加入硫化钠九水合物240g(0.1mol)和乙酸乙酯200ml,搅拌混合#降温至15ºC,滴入氯乙酸乙酯290g(2.4mol),滴毕,室温搅拌4h.过滤,滤渣用乙酸乙酯洗,水层以乙酸乙酯(100ml×2)提取,合并有机层,常压蒸除bp145ºC以下馏分,冷却,加入10%盐酸720ml ,搅拌回流3h.浓缩至干,加入水100ml,冷至-5ºC,放置4h.过滤,抽干,干燥,得白色固体3-硫代戊二酸100g,收率66%,mp128~131ºC.
2. 3-硫代戊二酸酐的制备
在反应瓶中加入3-硫代戊二酸75g(0.5mol)和乙酰氯118g(1.5mol),搅拌混合回流3h.常压蒸馏回收乙酰氯,剩余物冷至-5ºC放置4h析晶,过滤,滤饼用无水乙醚50ml洗,干燥,得3-硫代戊二酸酐白色针状结晶53g,收率80%,mp98~101ºC.
3. 厄多司坦的合成
在反应瓶中加入高半胱氨酸巯内酯盐酸盐31g(0.2mol)和THF100ml,搅拌溶解,降温至低于10ºC,滴入12mol/LNaOH水溶液5ml,滴毕,搅拌10min.再滴加3-硫代戊二酸酐29g(0.22mol)的THF100ml溶液,用12mol/LNaOH水溶液调至Ph7~8,滴毕,升温至室温搅拌4H.分出有机层,浓缩至体积50ml左右,用5%的NaOH水溶液(50ml×3)洗,合并水相,用6mol/L盐酸调至pH3.2,过滤,滤饼50 ºC干燥,无水乙醇重结晶,得厄多司坦白色固体26g,收率52.8%,mp158~161ºC.
|
厄多司坦
修改号码:5.3
模块1. 化学品 产品名称: Erdosteine 修改号码: 5.3 模块2. 危险性概述 GHS分类 物理性危害未分类
健康危害未分类 环境危害未分类 GHS标签元素 图标或危害标志无 信号词无信号词 危险描述无 防范说明无 模块3. 成分/组成信息 单一物质/混和物单一物质 化学名(中文名):厄多司坦 百分比: >98.0%(GC)(T) CAS编码: 84611-23-4 俗名: N-(Tetrahydro-2-oxo-3-thienyl)-3-thiapentanedioic Acid Monoamide 分子式: C8H11NO4S2 模块4. 急救措施 吸入: 将受害者移到新鲜空气处,保持呼吸通畅,休息。若感不适请求医/就诊。 皮肤接触: 立即去除/脱掉所有被污染的衣物。用水清洗皮肤/淋浴。 若皮肤刺激或发生皮疹:求医/就诊。 眼睛接触:用水小心清洗几分钟。如果方便,易操作,摘除隐形眼镜。继续清洗。 如果眼睛刺激:求医/就诊。 食入: 若感不适,求医/就诊。漱口。 紧急救助者的防护:救援者需要穿戴个人防护用品,比如橡胶手套和气密性护目镜。 模块5. 消防措施 合适的灭火剂:干粉,泡沫,雾状水,二氧化碳 特殊危险性:小心,燃烧或高温下可能分解产生毒烟。 厄多司坦 修改号码:5.3 模块5. 消防措施 特定方法:从上风处灭火,根据周围环境选择合适的灭火方法。 非相关人员应该撤离至安全地方。 周围一旦着火:如果安全,移去可移动容器。 消防员的特殊防护用具:灭火时,一定要穿戴个人防护用品。 模块6. 泄漏应急处理 个人防护措施,防护用具, 使用个人防护用品。远离溢出物/泄露处并处在上风处。 紧急措施:泄露区应该用安全带等圈起来,控制非相关人员进入。 环保措施:防止进入下水道。 控制和清洗的方法和材料:清扫收集粉尘,封入密闭容器。注意切勿分散。附着物或收集物应该立即根据合适的 法律法规处置。 模块7. 操作处置与储存 处理 技术措施:在通风良好处进行处理。穿戴合适的防护用具。防止粉尘扩散。处理后彻底清洗双手 和脸。 注意事项:如果粉尘或浮质产生,使用局部排气。 操作处置注意事项:避免接触皮肤、眼睛和衣物。 贮存 储存条件:保持容器密闭。存放于凉爽、阴暗处。 远离不相容的材料比如氧化剂存放。 包装材料:依据法律。 模块8. 接触控制和个体防护 工程控制:尽可能安装封闭体系或局部排风系统,操作人员切勿直接接触。同时安装淋浴器和洗 眼器。 个人防护用品 呼吸系统防护:防尘面具。依据当地和政府法规。 手部防护:防护手套。 眼睛防护:安全防护镜。如果情况需要,佩戴面具。 皮肤和身体防护:防护服。如果情况需要,穿戴防护靴。 模块9. 理化特性 固体 外形(20°C): 外观: 晶体-粉末 颜色:白色类白色 气味:无资料 pH:无数据资料 熔点: 162°C 沸点/沸程无资料 闪点:无资料 爆炸特性 爆炸下限:无资料 爆炸上限:无资料 密度:无资料 溶解度: [水]无资料 [其他溶剂] 微溶于:热乙腈 厄多司坦 修改号码:5.3 模块10. 稳定性和反应性 化学稳定性:一般情况下稳定。 危险反应的可能性:未报道特殊反应性。 须避免接触的物质氧化剂 危险的分解产物: 一氧化碳, 二氧化碳, 氮氧化物 (NOx), 硫氧化物 模块11. 毒理学信息 急性毒性: orl-rat LD50:>10 g/kg ivn-rat LD50:>3500 mg/kg 对皮肤腐蚀或刺激:无资料 对眼睛严重损害或刺激:无资料 生殖细胞变异原性:无资料 致癌性: IARC =无资料 NTP =无资料 生殖毒性:无资料 RTECS 号码: AJ1476200 模块12. 生态学信息 生态毒性: 鱼类:无资料 甲壳类:无资料 藻类:无资料 残留性 / 降解性:无资料 潜在生物累积 (BCF):无资料 土壤中移动性 log水分配系数:无资料 土壤吸收系数 (Koc):无资料 亨利定律无资料 constant(PaM3/mol): 模块13. 废弃处置 如果可能,回收处理。请咨询当地管理部门。建议在可燃溶剂中溶解混合,在装有后燃和洗涤装置的化学焚烧炉中 焚烧。废弃处置时请遵守国家、地区和当地的所有法规。 模块14. 运输信息 联合国分类:与联合国分类标准不一致 UN编号:未列明 模块15. 法规信息 《危险化学品安全管理条例》(2002年1月26日国务院发布,2011年2月16日修订): 针对危险化学品的安全使用、 生产、储存、运输、装卸等方面均作了相应的规定。 厄多司坦 修改号码:5.3 模块16 - 其他信息 N/A |
| 符号 |
GHS07 |
|---|---|
| 信号词 | Warning |
| 危害声明 | H302 |
| 警示性声明 | P301 + P312 + P330 |
| 风险声明 (欧洲) | R36/37/38:Irritating to eyes, respiratory system and skin . |
| 安全声明 (欧洲) | S26-S36/37/39 |
| 危险品运输编码 | NONH for all modes of transport |
| WGK德国 | 3 |
| 海关编码 | 2934999090 |

搜索







