伊洛前列素
【用途1】
其药效性质和前列环素相似,均是血小板活化的强力抑制剂。用于心绞痛,动脉硬化。
其药效性质和前列环素相似,均是血小板活化的强力抑制剂。用于心绞痛,动脉硬化。
产品名称
-
中文名伊洛前列素
-
英文名Iloprost
-
中文别名
-
英文别名
CILOPROST Iloprost 5-{(E)-(1S,5S,6R,7R)-7-hydroxy-6-[(E)-(3S,4RS)-3-hydroxy-4-methyl-5-octen-6-inyl]-bicyclo[3.3.0]-octan-3-ylidene}pentenoic acid Ataprostum [INN-Latin] Ataprost Ataprostum (5E)-5-[(3aS,4R,5R,6aS)-5-Hydroxy-4-[(1E,3S)-3-hydroxy-4-methyloct-1-en-6-yn-1-yl]hexahydropentalen-2(1H)-ylidene]pentanoic acid Pentanoic acid, 5-[(3aS,4R,5R,6aS)-hexahydro-5-hydroxy-4-[(1E,3S)-3-hydroxy-4-methyl-1-octen-6-yn-1-yl]-2(1H)-pentalenylidene]-, (5E)- Ataprost [INN] 5-{(E)-(1S,5S,6R,7R)-7-hydroxy-6-[(E)-(3S,4RS)-3-hydroxy-4-methyl-1-octen-6-ynyl]-bicyclo[3.3.0]octa-3-ylidene)-pentanoic acid (5E)-5-[(3aS,4R,5R,6aS)-5-Hydroxy-4-[(1E,3S)-3-hydroxy-4-methyl-1-octen-6-yn-1-yl]hexahydro-2(1H)-pentalenylidene]pentanoic acid Pentanoic acid,5-(4-(3-cyclopentyl-3-hydroxy-1-propenyl)hexahydro-5-hydroxy-2(1H)-pentalenylidene)-,(3aS-(2E,3aalpha,4alpha(1E,3R*),5beta,6aalpha)) -
常用名伊洛前列素
-
C A S号78919-13-8
物理性质
-
密度1.2±0.1 g/cm3
-
沸点539.2±50.0 °C at 760 mmHg
-
熔点115.7ºC
-
化学式C22H32O4
-
结构式
1、 摩尔折射率:105.88
2、 摩尔体积(cm3/mol):297.7
3、 等张比容(90.2K):845.1
4、 表面张力(dyne/cm):64.8
5、 极化率(10-24cm3):41.97
-
闪点294.0±26.6 °C
-
分子量360.487
-
精确质量360.230072
-
P S A77.76000
-
外观形状无色油状
-
储存条件Desiccate at -20°C
-
稳定性
-
水溶解性
-
形态
-
H L B值
-
粘度
-
PH值
作用/用途
【用途1】
其药效性质和前列环素相似,均是血小板活化的强力抑制剂。用于心绞痛,动脉硬化。
其药效性质和前列环素相似,均是血小板活化的强力抑制剂。用于心绞痛,动脉硬化。
制备方法
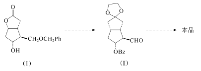
由化合物(I)出发,经中间体Ⅱ得到伊洛前列素。
安全提醒
MSDS
原料简介
应用范围
毒性和生态
安全信息
| 海关编码 | 2918199090 |
|---|
是否危险品
危险性
危险类别码
危险等级
触发危险方式
安全技术说明书
环境影响程度
包装与储运
相关供应商

搜索






