帕罗西汀
【用途一】
能强力和选择性地抑制突触体对5-羟色胺的重吸收,不直接干扰任何中枢神经递质受体。用于抑郁,特别是焦虑和强迫症。
能强力和选择性地抑制突触体对5-羟色胺的重吸收,不直接干扰任何中枢神经递质受体。用于抑郁,特别是焦虑和强迫症。
产品名称
-
中文名帕罗西汀
-
英文名Paroxetine
-
中文别名反-(-)-3-[(1,3-苯并二噁茂-5-基-氧)甲基]-4-(4-氟苯基)哌啶 | (-)-反式-4-(4-氟苯基)-3-{[(3',4'-亚甲二氧基)苯氧基]甲基}-哌啶 | 帕罗昔丁
-
英文别名
Paroxetine trans-(-)-3-[(1,3-Benzodioxol-5-yloxy)methyl]-4-(4-fluorophenyl)piperidine Piperidine, 3-[(1,3-benzodioxol-5-yloxy)methyl]-4-(4-fluorophenyl)-, (3S-trans)- (-)-trans-4-(p-Fluorophenyl)-3-[[3,4-(methylenedioxy)phenoxy]methyl]piperidine BRL 29060A (3S-trans)-3-[(1,3-Benzodioxol-5-yl-oxy)methyl]-4-(4-fluorophenyl)piperidine PAROXETIN HCL (3S,4R)-3-[(1,3-Benzodioxol-5-yloxy)methyl]-4-(4-fluorophenyl)piperidine aropax PAROXETIENE BASE (-)-Paroxetine FG 7051 Piperidine, 3-((1,3-benzodioxol-5-yloxy)methyl)-4-(4-fluorophenyl)-, (3S-trans)- MFCD00869588 Paroxetine (USP) AROPAX 20 PARORETINE HCL Piperidine, 3-[(1,3-benzodioxol-5-yloxy)methyl]-4-(4-fluorophenyl)-, (3S,4R)- Paxil -
常用名帕罗西汀
-
C A S号61869-08-7
物理性质
-
密度1.2±0.1 g/cm3
-
沸点451.7±45.0 °C at 760 mmHg
-
熔点114-116°C
-
化学式C19H20FNO3
-
结构式
1、 摩尔折射率:87.94
2、 摩尔体积(cm3/mol):271.5
3、 等张比容(90.2K):705.2
4、 表面张力(dyne/cm):45.5
5、 极化率(10-24cm3):34.86
-
闪点227.0±28.7 °C
-
分子量329.365
-
精确质量329.142731
-
P S A39.72000
-
外观形状白色至灰白色粉末
-
储存条件
-
稳定性
-
水溶解性
-
形态
-
H L B值
-
粘度
-
PH值
作用/用途
【用途一】
能强力和选择性地抑制突触体对5-羟色胺的重吸收,不直接干扰任何中枢神经递质受体。用于抑郁,特别是焦虑和强迫症。
能强力和选择性地抑制突触体对5-羟色胺的重吸收,不直接干扰任何中枢神经递质受体。用于抑郁,特别是焦虑和强迫症。
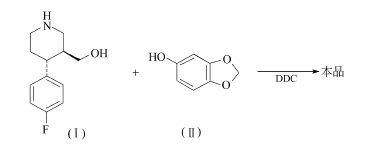
制备方法
方法1:化合物(I)和化合物(Ⅱ)在二环己基碳化二亚胺(DCC)存在下,缩合得到帕罗西汀。
方法2:化合物(I)转化为甲磺酸酯后,再和化合物(Ⅱ)的钠盐反应,得到帕罗西汀。
方法3:化合物(Ⅲ)或其它N-烷基取代的化合物溶于甲苯,在5℃,于15min中,加入氯甲酸(1-氯乙基)酯。加毕,搅拌18h。加入甲醇,再搅拌12h。移出溶剂,剩余物溶入热异丙醇,用活性炭和氧化铝处理,过滤。往滤液中加入水,再过滤收集析出的沉淀,即得盐酸帕罗西汀半水合物,收率92%。
安全提醒
MSDS
原料简介
应用范围
毒性和生态
安全信息
| 危险品运输编码 | 3249 |
|---|---|
| 包装等级 | III |
| 危险类别 | 6.1(b) |
| 海关编码 | 2934999090 |
是否危险品
危险性
危险类别码
危险等级
触发危险方式
安全技术说明书
环境影响程度
包装与储运
相关供应商

搜索








