安吖啶
Amsacrine 是肿瘤细胞 DNA 嵌入剂,还能抑制拓扑异构酶 II。
产品名称
-
中文名安吖啶
-
英文名Amsacrine
-
中文别名N-[4-(9-吖啶基氨基)-3-甲氧基苯基]甲磺酰胺 | 安啶 | M-AMSA 溶液
-
英文别名
m-AMSA meta-Amsacrine Methanesulfonamide, N-[4-(9-acridinylamino)-3-methoxyphenyl]- Amsacrine 4'-(Acridinylamino)methanesulfon-m-anisidide Amsidyl AMSA P-D Amekrin EINECS 257-094-3 AMSA, M- Methanesulfonamide, N-(4-(9-acridinylamino)-3-methoxyphenyl)- Amsine Amsidine N-[4-(9-Acridinylamino)-3-methoxuphenyl]methanesulfonamide N-[4-(9-Acridinylamino)-3-methoxyphenyl]methanesulfonamide N-[4-(acridin-9-ylamino)-3-(methyloxy)phenyl]methanesulfonamide N-[4-(acridin-9-ylamino)-3-methoxyphenyl]methanesulfonamide -
常用名安吖啶
-
C A S号51264-14-3
物理性质
-
密度1.4±0.1 g/cm3
-
沸点563.0±60.0 °C at 760 mmHg
-
熔点230-240ºC
-
化学式C21H19N3O3S
-
结构式
-
闪点294.3±32.9 °C
-
分子量393.459
-
精确质量393.114716
-
P S A88.70000
-
外观形状白色固体
-
储存条件
保持贮藏器密封、储存在阴凉、干燥的地方,确保工作间有良好的通风或排气装置
-
稳定性
-
水溶解性
-
形态未确定
-
H L B值
-
粘度
-
PH值
作用/用途
Amsacrine 是肿瘤细胞 DNA 嵌入剂,还能抑制拓扑异构酶 II。
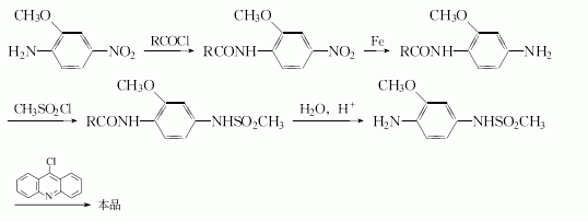
制备方法
邻甲氧基对硝基苯胺和酰氯反应,对氨基酰胺化进行保护,还原硝基为氨基,以甲磺酰氯对该氨基进行酰化使形成甲磺酰胺基,再选择性水解脱去1位氨基上的保护基,最后和9-氯吖啶反应,得到安吖啶。
安全提醒
MSDS
原料简介
应用范围
毒性和生态
安全信息
| 危险品运输编码 | UN 3249 |
|---|---|
| 包装等级 | III |
| 危险类别 | 6.1(b) |
| 海关编码 | 2935009090 |
是否危险品
危险性
危险类别码
危险等级
触发危险方式
安全技术说明书
环境影响程度
包装与储运
相关供应商








