 
                        阿奇霉素
                                
					Azithromycin 是一种大环内酯抗生素,常用于治疗细菌感染。
					 
					
				                            
                        产品名称
                           - 
                                   中文名阿奇霉素
- 
                                   英文名Azithromycin
- 
                                   中文别名阿齐霉素 | 阿奇霉素杂质 B
- 
                                   英文别名(2R,3S,4R,5R,8R,10R,11R,12S,13S,14R)-2-ethyl-3,4,10-trihydroxy-3,5,6,8,10,12,14-heptamethyl-15-oxo-11-{[3,4,6-trideoxy-3-(dimethylamino)-b-D-xylo-hexopyranosyl]oxy}-1-oxa-6-azacyclopentadecan-13-yl 2,6-dideoxy-3-C-methyl-3-O-methyl-a-L-ribo-hexopyranoside 6-dideoxy-3-C-methyl-3-O-methyl-a-L-ribo-hexopyranoside N-Methyl-11-aza-10-deoxo-10-dihydroerythromycin A (2R,3S,4R,5R,8R,10R,11R,12S,13S,14R)-11-{[(2S,3R,4S,6R)-4-(Dimethylamino)-3-hydroxy-6-methyltetrahydro-2H-pyran-2-yl]oxy}-2-ethyl-3,4,10-trihydroxy-13-{[(2R,4R,5S,6S)-5-hydroxy-4-methoxy-4,6-dimethyltetrahydro-2H-pyran-2-yl]oxy}-3,5,6,8,10,12,14-heptamethyl-1-oxa-6-azacyclopentadecan-15-on Azithromycin Ribotrex (2R,3S,4R,5R,8R,10R,11R,12S,13S,14R)-2-ethyl-3,4,10-trihydroxy-3,5,6,8,10,12,14-heptamethyl-15-oxo-11-{[3,4,6-trideoxy-3-(dimethylamino)-b-D-xylo-hexopyranosyl]oxy}-1-oxa-6-azacyclopentadecan-13-yl 2, 2,6-dideoxy-3-C-methyl-3-O-methyl-α-L-ribo-hexopyranoside MFCD00873574 Tobil Zistic Azithral Arzomicin Zithromac (2R,3S,4R,5R,8R,10R,11R,12S,13S,14R)-2-ethyl-3,4,10-trihydroxy-3,5,6,8,10,12,14-heptamethyl-15-oxo-11-{[3,4,6-trideoxy-3-(dimethylamino)-β-D-xylo-hexopyranosyl]oxy}-1-oxa-6-azacyclopentadecan-13-yl xz405 Aztrin (2R,3S,4R,5R,8R,10R,11R,12S,13S,14R)-11-{[(2S,3R,4S,6R)-4-(dimethylamino)-3-hydroxy-6-methyltetrahydro-2H-pyran-2-yl]oxy}-2-ethyl-3,4,10-trihydroxy-13-{[(2R,4R,5S,6S)-5-hydroxy-4-methoxy-4,6-dimethyltetrahydro-2H-pyran-2-yl]oxy}-3,5,6,8,10,12,14-heptamethyl-1-oxa-6-azacyclopentadecan-15-one Setron 1-Oxa-6-azacyclopentadecan-15-one, 13-[(2,6-dideoxy-3-C-methyl-3-O-methyl-α-L-ribo-hexopyranosyl)oxy]-2-ethyl-3,4,10-trihydroxy-3,5,6,8,10,12,14-heptamethyl-11-[[3,4,6-trideoxy-3-(dimethylamino)-b η-D-xylo-hexopyranosyl]oxy]-, (2R,3S,4R,5R,8R,10R,11R,12S,13S,14R)- (2R,3S,4R,5R,8R,10R,11R,12S,13S,14R)-11-{[(2S,3R,4S,6R)-4-(diméthylamino)-3-hydroxy-6-méthyltétrahydro-2H-pyran-2-yl]oxy}-2-éthyl-3,4,10-trihydroxy-13-{[(2R,4R,5S,6S)-5-hydroxy-4-méthoxy-4,6-diméthyltétrahydro-2H-pyran-2-yl]oxy}-3,5,6,8,10,12,14-heptaméthyl-1-oxa-6-azacyclopentadécan-15-one Aruzilina Zeto 1-oxa-6-azacyclopentadecan-15-one, 13-[(2,6-dideoxy-3-C-methyl-3-O-methyl-a-L-ribo-hexopyranosyl)oxy]-2-ethyl-3,4,10-trihydroxy-3,5,6,8,10,12,14-heptamethyl-11-[[3,4,6-trideoxy-3-(dimethylamino)-b-D-xylo-hexopyranosyl]oxy]-, (2R,3S,4R,5R,8R,10R,11R,12S,13S,14R)- Azadose Aziwok Azimin Azenil 9-Deoxo-9a-methyl-9a-aza-9a-homoerythromycin A azithromycinum [INN_la] (2R,3S,4R,5R,8R,10R,11R,12S,13S,14R)-2-Ethyl-3,4,10-trihydroxy-3,5,6,8,10,12,14-heptamethyl-15-oxo-11-{[3,4,6-trideoxy-3-(dimethylamino)-β-D-xylo-hexopyranosyl]oxy}-1-oxa-6-azacyclopentadecan-13-yl 2,6-dideoxy-3-C-methyl-3-O-methyl-α-L-ribo-hexopyranoside XZ-450 Zifin Ultreon 1-Oxa-6-azacyclopentadecan-15-one, 13-[(2,6-dideoxy-3-C-methyl-3-O-methyl-α-L-ribo-hexopyranosyl)oxy]-2-ethyl-3,4,10-trihydroxy-3,5,6,8,10,12,14-heptamethyl-11-[[3,4,6-trideoxy-3-(dimethylamino)-β-D-xylo-hexopyranosyl]oxy]-, (2R,3S,4R,5R,8R,10R,11R,12S,13S,14R)- 
- 
                                   常用名阿奇霉素
- 
                                   C A S号83905-01-5
物理性质
                            - 
                                    密度1.2±0.1 g/cm3
- 
                                    沸点822.1±65.0 °C at 760 mmHg
- 
                                    熔点113-115°C
- 
                                    化学式C38H72N2O12
- 
                                    结构式
- 
                                    闪点451.0±34.3 °C
- 
                                    分子量748.984
- 
                                    精确质量748.508545
- 
                                    P S A180.08000
- 
                                    外观形状白色结晶粉末
- 
                                    储存条件Store at -20°C
- 
                                    稳定性
- 
                                    水溶解性
- 
                                    形态
- 
                                    H L B值
- 
                                    粘度
- 
                                    PH值
作用/用途
                            
                                
					Azithromycin 是一种大环内酯抗生素,常用于治疗细菌感染。
					 
					
				                            
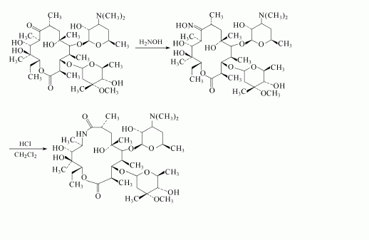
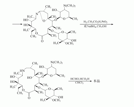
                        制备方法
                            以红霉素A为原料,经肟化后,在盐酸作用下进行Beckmann重排,再脱水、还原、甲基化可得阿奇霉素.
安全提醒
                            MSDS
                            原料简介
                            应用范围
                            毒性和生态
                            安全信息
                            | 符号 |   GHS08 | 
|---|---|
| 信号词 | Danger | 
| 危害声明 | H317-H334 | 
| 警示性声明 | P261-P280-P342 + P311 | 
| 个人防护装备 | Eyeshields;Faceshields;Gloves;type N95 (US);type P1 (EN143) respirator filter | 
| 危害码 (欧洲) | Xi: Irritant; | 
| 风险声明 (欧洲) | 42/43 | 
| 安全声明 (欧洲) | 22-36/37-45 | 
| 危险品运输编码 | NONH for all modes of transport | 
| RTECS号 | RN6960000 | 
| 海关编码 | 2941500000 | 
是否危险品
                            危险性
                            危险类别码
                            危险等级
                            触发危险方式
                            安全技术说明书
                            环境影响程度
                            包装与储运
                            相关供应商
     
        
 
                                     
                    
 
                 
            







 
                             
                 
                        