罗他霉素
大环内酯类抗菌素,对革兰阳性菌、厌氧菌和支原体属等均有较强的抗崔活性。用于敏感菌所引起的各种感染,如肺炎、支原体性肺炎、外耳炎、中马炎、牙周炎、副鼻窦炎、皮下脓肿、汗腺炎、喉炎、急性支气管炎、扁桃体炎疖子、丹毒等。
-
中文名罗他霉素
-
英文名rokitamycin
-
中文别名洛其他黴素 | 柱晶白霉素V 4B-丁酸酯3B-丙酸酯 | 柱晶白霉素A4
-
英文别名
Leucomycin V,4B-butanoate 3B-propanoate (9CI) Leummycin V 4B-bu-tanoate 3 B-propanoate T'urimyein H4 Rikamycin 3''-O-propionyl leucomycin A5 Ricamycin TMS 19Q M-19-Q 3''-Propionylleucomycin A5 Rokital -
常用名罗他霉素
-
C A S号74014-51-0
-
密度1.21 g/cm3
-
沸点879.3ºC at 760 mmHg
-
熔点116°
-
化学式C42H69NO15
-
结构式
1、 摩尔折射率:213.00
2、 摩尔体积(cm3/mol):683.8
3、 等张比容(90.2K):1829.7
4、 表面张力(dyne/cm):51.2
5、 极化率(10-24cm3):84.44
-
闪点485.6ºC
-
分子量827.99500
-
精确质量827.46700
-
P S A206.05000
-
外观形状
-
储存条件
-
稳定性
-
水溶解性
-
形态
-
H L B值
-
粘度
-
PH值
大环内酯类抗菌素,对革兰阳性菌、厌氧菌和支原体属等均有较强的抗崔活性。用于敏感菌所引起的各种感染,如肺炎、支原体性肺炎、外耳炎、中马炎、牙周炎、副鼻窦炎、皮下脓肿、汗腺炎、喉炎、急性支气管炎、扁桃体炎疖子、丹毒等。
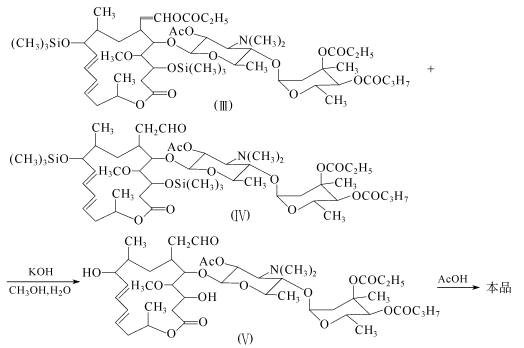
以吉他霉素氏为原料。
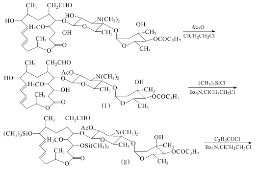
10g吉他霉素A5溶于50ml干燥1,2-二氯乙烷和4.2ml乙酸酐,在室温下搅拌0.5h。将反应液加到200ml冰水中,用7%氨水调至Ph=10,再用50ml 1,2-二氯乙烷提取。提取液用无水硫酸钠干燥,减压浓缩得.10g 2’-O-乙酰吉他霉素A5(I)粗品,收率94.8%。
10g2’-O-乙酰吉他霉素A5(I)溶于50ml干燥的二氯乙烷中,加入10g三苄基胺和6.6ml三甲基氯硅烷,在5~10℃下搅拌15h。然后把反应液倾入200rnl水中,用7%氨水调至Ph=9.5后,用1,2-二氯乙烷提取。提取液水洗后,用无水硫酸镁干燥。减压蒸去溶剂,得12.7g 2’-O-乙酰-3,9-二-O-三甲基硅吉他霉素A5(Ⅱ)粗品,收率96.1%。
将上述(Ⅱ)的粗品溶于50ml干燥1,2-二氯乙烷,加入31g三苄胺,然后在冰浴冷却和搅拌下,滴加11.25ml丙酰氯,在75℃下搅拌20h。反应液倾入200ml水中,用氨水调至Ph值为9.5后,用100ml 1,2-二氯乙烷提取。提取液经无水硫酸镁干燥后,减压蒸去溶剂,得2’-O-乙酰-17,18-烯醇-18,3’’-二-O-丙酰-3,9-二-O-三甲基硅吉他霉素A5(Ⅲ)和小量的2’-O-乙酰-3”-O-丙酰-3,9-二-O-三甲基硅吉他霉素A5(Ⅳ)及大量三苄胺的混合物。无需分离,加入495ml甲醇和55ml 8%碳酸钾水溶液,在室温下搅拌1h,得含2’-O-乙酰-3”-O-丙酰-吉他霉素A5(V)的溶液。用乙酸调至Ph=7.5,回流20h,然后减压浓缩。剩余物溶于1,2-二氯乙烷,用3%氨水洗1次,再水洗2次,然后减压浓缩。剩余物溶于冷甲醇,过滤除去不溶的三苄胺。滤液减压浓缩,得10.4g罗他霉素粗品,收率94.7%。将粗品溶于少量苯中,用硅胶进行柱层析(1.5crn×60cm),洗脱液为苯-乙酸乙酯-甲醇(36:4:1,体积比),收集Rf=0.57附近的各部分洗脱液,合并减压蒸干,即得7.5g纯罗他霉素精品,熔点约116℃。总收率70%。

搜索







