没食子酸
1.在制药、食品、轻工诸方面均有广泛用途。例如,没食子酸铁是生产蓝黑墨水的基本原料,没食子酸是止血收敛剂,在食用油脂中加入没食子酸可增加油脂的贮存时间和耐氧化性等。
2.用作分析试剂。用于光度法测定铈、钛、磷酸盐和亚硝酸盐。用作电化学分析中的去极剂。还用于制造墨水及照相业。
-
中文名没食子酸一水合物
-
英文名Gallic acid monohydrate
-
中文别名倍酸 | 没食子酸,一水合物 | 五倍子酸水合物 | 五倍子酸 | 没食子酸水合物 | 没食子酸单水合物 | 3,4,5-三羟基苯甲酸水合物 | 3,4,5-三羟基苯甲酸一水合物
-
英文别名
Benzoic acid, 3,4,5-trihydroxy-, hydrate (1:1) Gallic acid monohydrate 3,4,5-Trihydroxybenzoic acid hydrate (1:1) MFCD00002510 3,4,5-trihydroxybenzoic acid,hydrate EINECS 205-749-9 -
常用名没食子酸
-
C A S号5995-86-8
-
密度1.694
-
沸点596.6ºC at 760 mmHg
-
熔点252 °C (dec.)(lit.)
-
化学式C7H8O6
-
结构式
1、 摩尔折射率:38.82
2、 摩尔体积(cm3/mol):97.2
3、 等张比容(90.2K):314.4
4、 表面张力(dyne/cm):109.2
5、 极化率(10-24cm3):15.39
-
闪点250 °C
-
分子量188.135
-
精确质量188.032089
-
P S A107.22000
-
外观形状灰白色至米色粉末
-
储存条件
1.有吸湿性,光照下易被氧化,棕色玻璃瓶闭光密闭包装后贮存于阴冷干燥处。
2.工业级产品用塑料袋外套麻袋包装,每袋50kg。试剂级产品用塑料袋包装,每袋500g,外装木箱,每箱40袋,净重20kg。贮运中应注意防潮、防霉、防氧化变质。试剂级产品应密封避光贮运。
-
稳定性
-
水溶解性
-
形态
-
H L B值
-
粘度
-
PH值
1.在制药、食品、轻工诸方面均有广泛用途。例如,没食子酸铁是生产蓝黑墨水的基本原料,没食子酸是止血收敛剂,在食用油脂中加入没食子酸可增加油脂的贮存时间和耐氧化性等。
2.用作分析试剂。用于光度法测定铈、钛、磷酸盐和亚硝酸盐。用作电化学分析中的去极剂。还用于制造墨水及照相业。
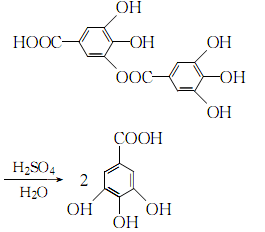
1.没食子酸通常由单宁酸分解制得。
主要原料消耗定额:(按生产1t产品计)
五倍子(含单宁酸≥56%)2680kg
硫酸(≥95%)880kg
活性炭(工业级)255kg
2.以从五倍子提取的单宁酸为原料,在硫酸存在下水解,控制温度133 ~135℃, 压 力 为0.18~0.2mPa。从升压至0.18mPa开始计时,保持2h,反应达终点。所得溶液减压蒸发,除去部分水分,然后冷却至0~5℃,结晶,过滤得粗品。粗品没食子酸用水溶解后,加活性炭脱色,过滤后的滤液冷却结晶。用水重结晶2~3次,在不超过70℃的条件下干燥,即得成品。
过程反应式为:

3.以倍花为原料,加入其质量4~7倍的水浸泡24h后加热升温,并在不断搅拌下缓慢加入一定量的浓硫酸,维持沸腾状态,进行水解直至反应完全。然后趁热滤去倍花废渣。滤液经减压蒸发除水,冷却结晶得粗品。粗品用活性炭脱色,其配比为粗品( 干基) ∶活性炭∶水=10 ∶15 ∶70~100( 质量比) 。用水重结晶2~3次之后,于不超过70℃下干燥,即得成品。
|
模块1. 化学品 1.1 产品标识符 : 没食子酸 一水合物 产品名称 1.2 鉴别的其他方法 3,4,5-Trihydroxybenzoic acid
1.3 有关的确定了的物质或混合物的用途和建议不适合的用途
仅供科研用途,不作为药物、家庭备用药或其它用途。 模块2. 危险性概述 2.1 GHS分类 急性毒性, 经口 (类别5) 皮肤刺激 (类别2) 眼刺激 (类别2A) 特异性靶器官系统毒性(一次接触) (类别3) 2.2 GHS 标记要素,包括预防性的陈述 象形图 警示词警告 危险申明 H303吞咽可能有害。 H315造成皮肤刺激。 H319造成严重眼刺激。 H335可能引起呼吸道刺激。 警告申明 预防 P261避免吸入粉尘/烟/气体/烟雾/蒸气/喷雾. P264操作后彻底清洁皮肤。 P271只能在室外或通风良好之处使用。 P280穿戴防护手套/ 眼保护罩/ 面部保护罩。 措施 P302 + P352如与皮肤接触,用大量肥皂和水冲洗受感染部位. P304 + P340如吸入,将患者移至新鲜空气处并保持呼吸顺畅的姿势休息. P305 + P351 + P338如与眼睛接触,用水缓慢温和地冲洗几分钟。如戴隐形眼镜并可方便地取 出,取出隐形眼镜,然后继续冲洗. P312如感觉不适,呼救中毒控制中心或医生. P321具体治疗(见本标签上提供的急救指导)。 P332 + P313如发生皮肤刺激:求医/ 就诊。 P337 + P313如仍觉眼睛刺激:求医/就诊。 如仍觉眼睛刺激:求医/就诊. P362脱掉沾染的衣服,清洗后方可重新使用。 储存 P403 + P233存放于通风良的地方。 保持容器密闭。 P405存放处须加锁。 处理 P501将内容物/ 容器处理到得到批准的废物处理厂。 2.3 其它危害物 - 无 模块3. 成分/组成信息 3.1 物 质 : 3,4,5-Trihydroxybenzoic acid 别名 : C7H6O5 · H2O 分子式 : 188.13 g/mol 分子量 组分浓度或浓度范围 3,4,5-Trihydroxybenzoic acid - CAS 号5995-86-8 EC-编号205-749-9 模块4. 急救措施 4.1 必要的急救措施描述 一般的建议 请教医生。 出示此安全技术说明书给到现场的医生看。 吸入 如果吸入,请将患者移到新鲜空气处。 如果停止了呼吸,给于人工呼吸。 请教医生。 皮肤接触 用肥皂和大量的水冲洗。 请教医生。 眼睛接触 用大量水彻底冲洗至少15分钟并请教医生。 食入 切勿给失去知觉者从嘴里喂食任何东西。 用水漱口。 请教医生。 4.2 主要症状和影响,急性和迟发效应 据我们所知,此化学,物理和毒性性质尚未经完整的研究。 4.3 及时的医疗处理和所需的特殊处理的说明和指示 无数据资料 模块5. 消防措施 5.1 灭火介质 灭火方法及灭火剂 用水雾,耐醇泡沫,干粉或二氧化碳灭火。 5.2 源于此物质或混合物的特别的危害 碳氧化物 5.3 给消防员的建议 如必要的话,戴自给式呼吸器去救火。 5.4 进一步信息 无数据资料 模块6. 泄露应急处理 6.1 人员的预防,防护设备和紧急处理程序 使用个人防护设备。 防止粉尘的生成。 防止吸入蒸汽、气雾或气体。 保证充分的通风。 将人员撤离到安全区域。 避免吸入粉尘。 6.2 环境保护措施 不要让产物进入下水道。 6.3 抑制和清除溢出物的方法和材料 收集、处理泄漏物,不要产生灰尘。 扫掉和铲掉。 存放进适当的闭口容器中待处理。 6.4 参考其他部分 丢弃处理请参阅第13节。 模块7. 操作处置与储存 7.1 安全操作的注意事项 避免接触皮肤和眼睛。 防止粉尘和气溶胶生成。 在有粉尘生成的地方,提供合适的排风设备。 7.2 安全储存的条件,包括任何不兼容性 贮存在阴凉处。 容器保持紧闭,储存在干燥通风处。 吸湿的. 对光线敏感 7.3 特定用途 无数据资料 模块8. 接触控制和个体防护 8.1 容许浓度 最高容许浓度 没有已知的国家规定的暴露极限。 8.2 暴露控制 适当的技术控制 按照良好工业和安全规范操作。 休息前和工作结束时洗手。 个体防护设备 眼/面保护 带有防护边罩的安全眼镜符合 EN166要求请使用经官方标准如NIOSH (美国) 或 EN 166(欧盟) 检测与批准的设备防护眼部。 皮肤保护 戴手套取 手套在使用前必须受检查。 请使用合适的方法脱除手套(不要接触手套外部表面),避免任何皮肤部位接触此产品. 使用后请将被污染过的手套根据相关法律法规和有效的实验室规章程序谨慎处理. 请清洗并吹干双手 所选择的保护手套必须符合EU的89/686/EEC规定和从它衍生出来的EN 376标准。 身体保护 防渗透的衣服, 防护设备的类型必须根据特定工作场所中的危险物的浓度和含量来选择。 呼吸系统防护 如须暴露于有害环境中,请使用P95型(美国)或P1型(欧盟 英国 143)防微粒呼吸器。如需更高级别防护,请使用OV/AG/P99型(美国)或ABEK-P2型 (欧盟 英国 143) 防毒罐。 呼吸器使用经过测试并通过政府标准如NIOSH(US)或CEN(EU)的呼吸器和零件。 模块9. 理化特性 9.1 基本的理化特性的信息 a) 外观与性状 形状: 结晶 颜色: 棕灰色 b) 气味 无数据资料 c) 气味阈值 无数据资料 d) pH值 无数据资料 e) 熔点/凝固点 熔点/凝固点: 252 °C - 分解 f) 起始沸点和沸程 无数据资料 g) 闪点 250 °C - 闭杯 h) 蒸发速率 无数据资料 i) 易燃性(固体,气体) 无数据资料 j) 高的/低的燃烧性或爆炸性限度 无数据资料 k) 蒸汽压 无数据资料 l) 蒸汽密度 无数据资料 m) 相对密度 无数据资料 n) 水溶性 无数据资料 o) n-辛醇/水分配系数 无数据资料 p) 自燃温度 无数据资料 q) 分解温度 无数据资料 r) 粘度 无数据资料 模块10. 稳定性和反应活性 10.1 反应性 无数据资料 10.2 稳定性 无数据资料 10.3 危险反应的可能性 无数据资料 10.4 应避免的条件 无数据资料 10.5 不兼容的材料 强氧化剂, 强碱, 酰氯, 酸酐 10.6 危险的分解产物 其它分解产物 - 无数据资料 模块11. 毒理学资料 11.1 毒理学影响的信息 急性毒性 半数致死剂量 (LD50) 经口 - 兔子 - 5,000 mg/kg 备注: 肺,胸,或者呼吸系统:慢性肺水肿 肝脏:其他变化 肾脏、输尿管、膀胱:其他改变。 皮肤刺激或腐蚀 无数据资料 眼睛刺激或腐蚀 无数据资料 呼吸道或皮肤过敏 无数据资料 生殖细胞突变性 细胞突变性-体外试验 - 仓鼠 - 子宫 细胞发生分析 细胞突变性-体内试验 - 老鼠 - 腹膜内的 细胞发生分析 致癌性 IARC: 此产品中没有大于或等于 0。1%含量的组分被 IARC鉴别为可能的或肯定的人类致癌物。 生殖毒性 致畸性 - 大鼠 - 皮下的 母体效应:卵巢、输卵管。 特异性靶器官系统毒性(一次接触) 吸入 - 可能引起呼吸道刺激。 特异性靶器官系统毒性(反复接触) 无数据资料 吸入危险 无数据资料 潜在的健康影响 吸入吸入可能有害。 引起呼吸道刺激。 摄入如服入是有害的。 皮肤如果通过皮肤吸收可能是有害的。 造成皮肤刺激。 眼睛造成严重眼刺激。 接触后的征兆和症状 据我们所知,此化学,物理和毒性性质尚未经完整的研究。 附加说明 化学物质毒性作用登记: LW7525000 模块12. 生态学资料 12.1 生态毒性 无数据资料 12.2 持久存留性和降解性 无数据资料 12.3 潜在的生物蓄积性 无数据资料 12.4 土壤中的迁移性 无数据资料 12.5 PBT 和 vPvB的结果评价 无数据资料 12.6 其它不利的影响 无数据资料 模块13. 废弃处置 13.1 废物处理方法 产品 将剩余的和未回收的溶液交给处理公司。 与易燃溶剂相溶或者相混合,在备有燃烧后处理和洗刷作用的化学焚化炉中燃烧 受污染的容器和包装 作为未用过的产品弃置。 模块14. 运输信息 14.1 联合国危险货物编号 欧洲陆运危规: -国际海运危规: -国际空运危规: - 14.2 联合国(UN)规定的名称 欧洲陆运危规: 非危险货物 国际海运危规: 非危险货物 国际空运危规: 非危险货物 14.3 运输危险类别 欧洲陆运危规: -国际海运危规: -国际空运危规: - 14.4 包裹组 欧洲陆运危规: -国际海运危规: -国际空运危规: - 14.5 环境危险 欧洲陆运危规: 否国际海运危规 海运污染物: 否国际空运危规: 否 14.6 对使用者的特别提醒 无数据资料 模块16. 其他信息 进一步信息 版权所有:2012 Co. LLC. 公司。许可无限制纸张拷贝,仅限于内部使用。 上述信息视为正确,但不包含所有的信息,仅作为指引使用。本文件中的信息是基于我们目前所知,就正 确的安全提示来说适用于本品。该信息不代表对此产品性质的保证。 参见发票或包装条的反面。 模块 15 - 法规信息 N/A |
| 个人防护装备 | dust mask type N95 (US);Eyeshields;Gloves |
|---|---|
| 危害码 (欧洲) | Xi:Irritant; |
| 风险声明 (欧洲) | R36/37/38 |
| 安全声明 (欧洲) | S26-S36-S24/25 |
| 危险品运输编码 | NONH for all modes of transport |
| WGK德国 | 2 |
| RTECS号 | LW7525000 |
| 海关编码 | 2918290000 |

搜索








