阿西美辛
-
中文名阿西美辛
-
英文名acemetacin
-
中文别名[1-(对氯苯甲酰基)-5-甲 | [1-(4-氯苯甲酰基)-5-甲氧基-2-甲基吲哚-3-基]乙酰氧基乙酸 | 1-(4-氯苯甲酰基)-5-甲氧基-2-甲基-1H-吲哚-3-乙酸羧甲酯 | 1-(对氯苯甲酰基)-5-甲氧基-2-甲基吲哚-3-乙酸羧甲酯 | 1-(4-氯苯甲酰基)-5-甲氧基-2-甲基吲哚-3-乙酸羧甲基酯 | 炎痛美新
-
英文别名
({[1-(4-chlorobenzoyl)-5-methoxy-2-methyl-1H-indol-3-yl]acetyl}oxy)acetic acid 1H-Indole-3-acetic acid, 1-(4-chlorobenzoyl)-5-methoxy-2-methyl-, carboxymethyl ester Solart 1-(4-Chlorobenzoyl)-5-methoxy-2-methylindole-3-acetic Acid Carboxymethyl Ester Acemetacinum Tilur [1-(4-Chlorobenzoyl)-5-methoxy-2-methylindol-3-yl]acetoxyacetic Acid glycolic acid ester of indomethacin 1-(p-Chlorobenzoyl)-5-methoxy-2-methylindole-3-acetic acid carboxymethyl ester Reudol Rheutrop TVX-1322 BAY f4975 Acemetacin (JAN) acemetacin Azeat Acemix aximeixin {2-[1-(4-Chlorobenzoyl)-5-methoxy-2-methyl-1H-indol-3-yl]acetoxy}acetic acid Acephlogont [({1-[(4-chlorophenyl)carbonyl]-2-methyl-5-(methyloxy)-1H-indol-3-yl}acetyl)oxy]acetic acid k-708 rheumibis Rantudil tv1322 Gamespir [({1-[(4-chlorophenyl)carbonyl]-5-methoxy-2-methyl-1H-indol-3-yl}acetyl)oxy]acetic acid Emflex Acemetadoc MFCD00151473 EINECS 258-403-4 Oldan -
常用名阿西美辛
-
C A S号53164-05-9
-
密度1.4±0.1 g/cm3
-
沸点565.5±50.0 °C at 760 mmHg
-
熔点151.5°C
-
化学式C21H18ClNO6
-
结构式
1、 摩尔折射率:106.05
2、 摩尔体积(cm3/mol):305.4
3、 等张比容(90.2K):809.7
4、 表面张力(dyne/cm):49.4
5、 极化率(10-24cm3):42.04
-
闪点295.8±30.1 °C
-
分子量415.824
-
精确质量415.082275
-
P S A94.83000
-
外观形状从石油醚得淡黄色细微结晶,熔点150-153℃。急性毒性LD50雄、雌小鼠,雄、雌大鼠(mg/kg):55.5,18.42,24.2,30.1口服;34.1,51.1,38.1,28.3静脉注射。
-
储存条件-20°C Freezer
-
稳定性
-
水溶解性
-
形态
-
H L B值
-
粘度
-
PH值
方法1:以在吲哚美辛的合成中得到的N-(4-甲氧基苯基)-4-氯苯甲酰肼为原料,和(3-乙酰基丙酰氧基)乙酸苄酯(其制备见方法3)环合,得到[1-(4-氯苯甲酰基)-5-甲氧基-2-甲基-1H-吲哚-3-乙酰氧基]乙酸苄酯(I)。得到的苄酯(I)溶于冰醋酸中,在室温下在钯-炭催化剂上进行加氢,当氢吸收停止后,过滤去催化剂,滤液减压浓缩,残液加入石油醚中重结晶,得阿西美辛精品,熔点149.5~150.5℃,收率93%。
在搅拌下,将180g(0.503mo1)吲哚美新溶于900ml无水二甲基甲酰胺,加入35g(0.253mo1)磨细和干燥的碳酸钾,在50℃下搅拌45min。在15min中,滴入128g(0.56mo1)溴乙酸苄酯,在50℃下搅拌3h。过滤,滤液浓缩,剩余物溶于氯仿,用水洗至中性,无水硫酸钠干燥。浓缩,异丙醚-乙酸乙酯重结晶,得228g化合物(I),收率89.5%,熔点96℃。
60g(0.12mo1)化合物(I)溶于700ml乙酸乙酯,加入6g 5%钯-炭催化剂,在40℃下氢化1h,吸收约2.921L氢气(20℃)。过滤,浓缩,往剩余物加入石油醚(40~60℃),使结晶完全,并在冰箱中放置12h。过滤,先空气中干燥,后真空干燥,得46g阿西美辛,收率93%,熔点150~153℃。
方法3:以对甲氧基苯肼和(3-乙酰基丙酰氧基)乙酸苄酯为原料。(3-乙酰基丙酰氧基)乙酸苄酯的制备。93.5g(0.68mo1)干燥碳酸钾悬浮于650ml无水二甲基甲酰胺,加热至40℃,在70min内滴入116.1g(1.0mo1)3-乙酰基丙酸。加毕,冷至30℃,加入229.1g(1.0mo1)2-溴乙酸苄酯。在50℃下反应4h。过滤除去无机盐,用甲苯提取。提取液浓缩,剩余物溶于400ml二氯甲烷,水洗至中性,无水硫酸钠干燥。浓缩,剩余物溶于。1000ml异丙醚,加入冷至-25℃的1500ml石油醚(40~60℃),于-15℃下放置1h。过滤,在22℃下真空干燥,得235g(3-乙酰基丙酰氧基)乙酸苄酯,收率89%,熔点31.5~32.5℃,沸点176~178℃/1.20kPa。
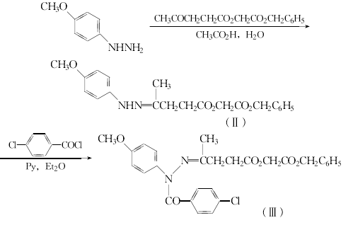
26.3g(0.19mo1)对甲氧基苯肼溶于125ml冰乙酸和450ml水,在搅拌下,滴入50g(0.19mo1)(3-乙酰基丙酰氧基)乙酸苄酯,再搅拌1h。用甲苯提取,提取液水洗至中性,干燥,浓缩,得75.5g棕色油状的化合物(Ⅱ),直接用于下列反应。
将化合物(Ⅱ)直接溶于125ml无水吡啶,加入500ml无水乙醚,再在0℃加入43.5g对氯苯甲酰氯在250ml无水乙醚的溶液,在氮气保护下回流2h,冷却,水洗至中性,干燥,浓缩,得95g化合物(Ⅲ)的粗品。无需提纯,直接用于下步反应。
将化合物(Ⅲ)直接溶于380ml乙酸,在80℃下加热5min。减压浓缩,剩余物溶于氯仿,用碳酸氢钠溶液洗,并水洗至中性。用氧化铝层析,氯仿洗脱。浓缩后用乙醚重结晶,得10.6g化合物(I)。从对甲氧基苯肼计,收率11%。化合物(I)再如方法2还原为阿西美辛。

45.7g(0.26mo1)对甲氧基苯肼盐酸盐和69.2g(0.26mo1)(3-乙酰基丙酰氧基)乙酸苄酯溶于260ml乙酸,先在28℃搅拌42h,再在50℃搅拌5h。蒸出150~180ml溶剂后,加入500ml冰水,用4×100ml甲苯提取。提取液合并,用碳酸氢钾溶液洗至无酸,无水硫酸钠干燥。过滤,浓缩,得92g粗品。经蒸馏,可得76g化合物(IV),收率80%,沸点165℃(≤100Pa)。
77.5g(0.44mo1)对氯苯甲酰氯溶于275ml专用石油(沸点180~220℃)中加热至沸,在20min中,滴加41g(0.1lmo1)化合物(Ⅳ)。加毕,在190-195℃加热2~3h,至无氯化氢放出。冷至40℃,加入200ml乙醚。在室温下结晶后,再放入冰箱过夜。过滤收集结晶,用异丙醚洗,再用乙酸乙酯和异丙醚重结晶,得43.3g化合物(I),收率78%。化合物(I)再如方法2还原为阿西美辛。
|
阿西美辛MSDS英文版
|
| 符号 |
GHS06 |
|---|---|
| 信号词 | Danger |
| 危害声明 | H300 + H310 + H330 |
| 警示性声明 | Missing Phrase - N15.00950417-P260-P262-P280-P302 + P352 + P310-P304 + P340 + P310 |
| 个人防护装备 | Eyeshields;Faceshields;full-face particle respirator type N100 (US);Gloves;respirator cartridge type N100 (US);type P1 (EN143) respirator filter;type P3 (EN 143) respirator cartridges |
| 危害码 (欧洲) | T+:Verytoxic; |
| 风险声明 (欧洲) | R26/27/28 |
| 安全声明 (欧洲) | S22-S25-S36/37/39-S45 |
| 危险品运输编码 | UN 2811 |
| RTECS号 | NL3521400 |
| 包装等级 | II |
| 危险类别 | 6.1(a) |
| 海关编码 | 2942000000 |

搜索










