盐酸洛美沙星
-
中文名盐酸洛美沙星
-
英文名Lomefloxacin hydrochloride
-
中文别名(±)-1-乙基-6,8-二氟-1,4-二氢-7-(3-甲基-1-哌嗪基)-4-氧-喹啉-3-羧酸盐酸盐 | (+/-)-1-乙基-6,8-二氟-1,4-二氢-7-(3-甲基-1-哌嗪基)-4-氧-喹啉-3-羧酸盐酸盐
-
英文别名
1-ethyl-6,8-difluoro-7-(3-methylpiperazin-1-yl)-4-oxoquinoline-3-carboxylic acid,hydrochloride MFCD00214312 Lomefloxacin hydrochloride Lomefloxacin (hydrochloride) -
常用名盐酸洛美沙星
-
C A S号98079-52-8
-
密度N/A
-
沸点542.7ºC at 760 mmHg
-
熔点290-3000C
-
化学式C17H20ClF2N3O3
-
结构式
-
闪点282ºC
-
分子量387.809
-
精确质量387.116119
-
P S A74.57000
-
外观形状白色粉末
-
储存条件
密封储存,储存于阴凉、干燥的库房。
-
稳定性
-
水溶解性
-
形态游离酸:从乙醇结晶得无色针状晶体.
-
H L B值
-
粘度
-
PH值
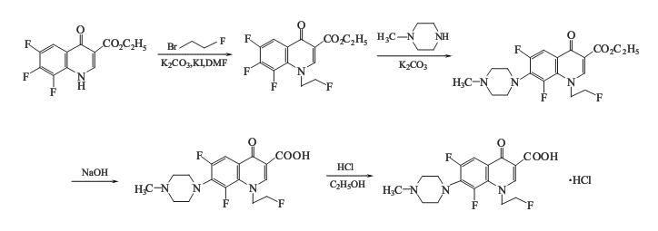
(1).6,7,8-三氟-1-(2-氟乙基)-1,4二氢-4-氧代-3-喹啉酸乙酯的制备
在反应瓶中加入6,7,8-三氟-1,4-二氢-4-氧代-3-喹啉羧酸乙酯60g(0.22mol)、无水碳酸钾50g(0.36mol)、碘化钾18g(0.11mol)和DMF240ml,搅拌
加热至90 ºC,滴加1-溴-2-氟乙烷42g(0.33mol),滴毕,保温搅拌反应10h.减压回收DMF,冷至室温,入水适量,过滤,滤饼用水洗,乙醇洗,得类白色固体64.5g,收率92.5%,mp182~184 ºC.
(2).6,8- 二氟-1-(2-氟乙基)-1,4-二氢-7-(4-甲基-1-哌嗪基)-4-氧代-3-喹啉羧酸乙酯的制备
在反应瓶中加入6,7,8-三氟-1-(2-氟乙基)-1,4二氢-4-氧代-3-喹啉酸乙酯64g(0.2mol)和N-甲基哌嗪160g(1.6mol),搅拌加热至110 ºC,搅拌反应6h.减压回收N-甲基哌嗪(约110g),冷却,加适量水稀释,析出固体过滤,水洗滤饼,得类白色固体6,8- 二氟-1-(2-氟乙基)-1,4-二氢-7-(4-甲基-1-哌嗪基)-4-氧代-3-喹啉羧酸乙酯 70.5g,收率88.8%,mp155~159 ºC.(该步反应中加适量K2CO3对反应有促反应完全作用.)
(3).盐酸氟罗沙星的合成
在反应瓶中加入6,8- 二氟-1-(2-氟乙基)-1,4-二氢-7-(4-甲基-1-哌嗪基)-4-氧代-3-喹啉羧酸乙酯60g(0.15mol)与3% NaOH溶液600ml,搅拌加热至85 ºC,保温搅拌反应1h.过滤,滤液用乙酸调至PH7.2,降温,过滤,滤饼依次用适量水、乙醇洗,干燥得白色固体 45.5g,收率82.2%.
取36.9g(0.1mol)、370ml乙醇,搅拌混合,加入18%盐酸水溶液,加热回流4h.冷却析晶,过滤,滤液依次用冷乙醇洗,乙醚洗,抽干,用水重结晶得6,8- 二氟-1-(2-氟乙基)-1,4-二氢-7-(4-甲基-1-哌嗪基)-4-氧代-3-喹啉羧酸乙酯 38.0g,收率93.6%,mp269~271 ºC.
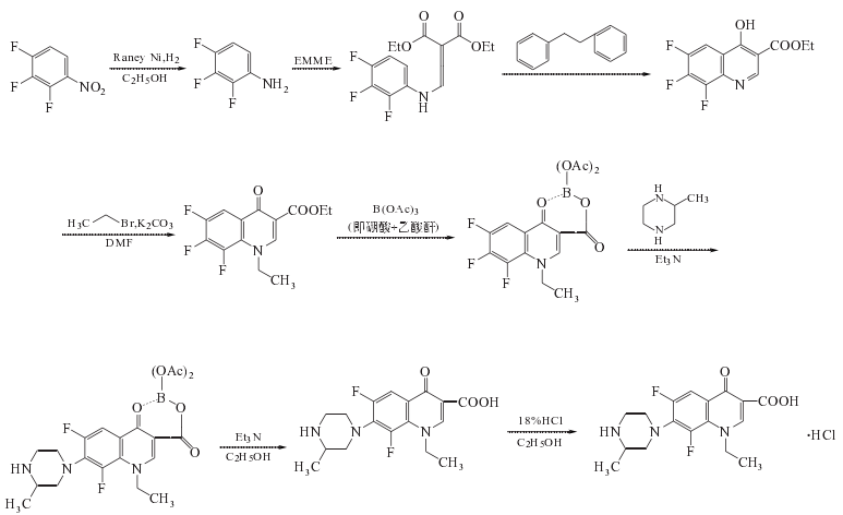
4. 2,3,4-三氟苯胺的制备
首先介绍镍催化剂的制备.在100ml烧杯中加入100gNaOH和水400ml,搅拌溶解,冷至室温,向其中分批加入200目的镍铝合金粉75g,加时有H2放出.加完后,将其在水浴加热煮沸4h.用倾泻法水洗至中性(800ml×4).再加入100ml10%NaOH水溶液,水浴加热煮沸2h.水洗至中性(800ml×4).再用乙醇(100ml×3)洗涤,并用200ml乙醇将其制得的活性镍催化剂覆盖,以防与空气接触.
在加氢高压釜中加入2,3,4-三氟硝基苯177g、乙醇500ml及上述制备的Raney Ni催化剂一批量.用N2置换釜中空气3次,用H2置换釜中N2气2次,充入H2,维持H2压力0.1~0.2MPa,于常温搅拌反应6h.过滤,滤液蒸除乙醇,剩余物减压蒸馏,收集84~86ºC/0.09MPa馏分(或92/2.67kPa馏分),得2,3,4-三氟苯胺142g,收率96%.
5. 6,7,8-三氟-4-羟基喹啉-3-羧酸乙酯的制备
在反应瓶中加入上步制备的化合物2,3,4-三氟苯胺1.47g(0.01mol) 和乙氧基亚甲基丙二酸二乙酯2.16g(0.01mol). 搅拌加热至40~50 ºC, 在该温度下搅拌反应2h. 蒸去反应生成的乙醇,加入二苯乙烷18ml, 升温至220~240 ºC, 在该温度下搅拌反应2h. 冷却,过滤, 滤饼用石油醚洗涤,得6,7,8-三氟-4-羟基喹啉-3-羧酸乙酯2.71g, 收率88.3%,无需进一步纯化,直接用于下步反应.
6. 1-乙基-6,7,8-三氟-1,4-二氢-4-氧代喹啉-3-羧酸乙酯的制备
在反应瓶中加入上步制备的化合物6,7,8-三氟-4-羟基喹啉-3-羧酸乙酯1.355g(5mmol)、DMF15ml和K2CO31.38g(10mmol), 搅拌下于室温慢慢滴加溴乙烷0.82g(7.5mmol), 滴毕, 然后于50~60 ºC搅拌反应4h. 冷却至室温,过滤, 滤液浓缩回收DMF, 析出固体,用二氯乙烷重结晶, 得1-乙基-6,7,8-三氟-1,4-二氢-4-氧代喹啉-3-羧酸乙酯3.45g, 收率90.3%,mp:197~200 ºC.
7. 1-乙基-6,7,8-三氟-1,4-二氢-4-氧代喹啉-3-羧酸根·二乙酸根合硼的制备
在反应瓶中加入硼酸0.37g(5.98mmol) 和乙酸酐2ml(8.98mmol), 搅拌混合,于室温搅拌反应3h. 再升温至110 ºC, 在110 ºC搅拌回流1h. 冷却.加入上步制备的化合物1-乙基-6,7,8-三氟-1,4-二氢-4-氧代喹啉-3-羧酸乙酯1.2g(4mmol), 升温至90 ºC, 在该温度搅拌反应2h. 加水6ml, 搅拌片刻. 过滤,滤饼用水洗涤,抽干,得1.45g, 收率90.6%,mp:209~211 ºC (分解).
8. 1-乙基-6,8-二氟-7-(8-甲基-1-哌嗪基)-1,4-二氢-4-氧代喹啉-3-羧酸根·二乙酸根合硼的制备
在反应瓶中加入上步制备的化合物1-乙基-6,7,8-三氟-1,4-二氢-4-氧代喹啉-3-羧酸根·二乙酸根合硼0.4g(1mmol)、三乙胺2ml(1.45g,14.33mmol) 和2-甲基哌嗪0.12g(1.2mmol), 搅拌混合,于室温反应4h. 减压蒸除三乙胺,剩余物加入乙醇适量,将析出固体过滤,得0.394g, 收率82.1%,mp 221.2~224 ºC.
9. 1-乙基-6,8-二氟-7-(3-甲基-1-哌嗪基)-1,4-二氢-4-氧代喹啉-3-羧酸(洛美沙星)的制备
在反应瓶中加入上步制备的化合物1-乙基-6,8-二氟-7-(8-甲基-1-哌嗪基)-1,4-二氢-4-氧代喹啉-3-羧酸根·二乙酸根合硼0.479g(1mmol)、95%乙醇2.4ml和三乙胺0.1g(0.9mmol), 搅拌回流1h. 冷却,析出固体,过滤, 用少许乙醇洗涤滤饼,抽干,得白色粉状结晶1-乙基-6,8-二氟-7-(3-甲基-1-哌嗪基)-1,4-二氢-4-氧代喹啉-3-羧酸(洛美沙星)0.31g, 收率87.5%,将其用DMF重结晶,得无色针状结晶,mp 241~241.9 ºC.
10 1-乙基-6,8-二氟-7-(3-甲基-1-哌嗪基)-1,4-二氢-4-氧代喹啉-3-羧酸盐酸盐(盐酸洛美沙星)的合成
在反应瓶中加入洛美沙星游离酸1-乙基-6,8-二氟-7-(3-甲基-1-哌嗪基)-1,4-二氢-4-氧代喹啉-3-羧酸(洛美沙星)0.55g、乙醇5.5ml, 搅拌混合后加入18%盐酸水溶液,调至pH3左右,加热搅拌回流4h. 冷却#析出固体,过滤,滤饼依次用乙醇、乙醚洗涤,抽干后用水重结晶,得1-乙基-6,8-二氟-7-(3-甲基-1-哌嗪基)-1,4-二氢-4-氧代喹啉-3-羧酸盐酸盐(盐酸洛美沙星)0.43g, 收率约71%,mp296~300 ºC(分解).
|
盐酸洛美沙星
修改号码:5
模块1. 化学品 产品名称: Lomefloxacin Hydrochloride 修改号码: 5 模块2. 危险性概述 GHS分类 物理性危害未分类
健康危害 急性毒性(经口) 第4级 皮肤敏感性 第1级 环境危害未分类 GHS标签元素 图标或危害标志 信号词警告 危险描述吞咽有害。 可能导致皮肤过敏性反应 防范说明 [预防]避免吸入。 使用本产品时切勿吃东西,喝水或吸烟。 受污染的工作服不允许带出工作场所。 处理后要彻底清洗双手。 穿戴防护手套/护目镜/防护面具。 [急救措施] 食入:若感不适,呼叫解毒中心/医生。漱口。 皮肤接触:用大量肥皂和水轻轻洗。 若皮肤刺激或发生皮疹:求医/就诊。 被污染的衣物清洗后方可重新使用。 [废弃处置] 根据当地政府规定把物品/容器交与工业废弃处理机构。 模块3. 成分/组成信息 单一物质/混和物单一物质 化学名(中文名):盐酸洛美沙星 盐酸洛美沙星 修改号码:5 模块3. 成分/组成信息 百分比: >98.0%(LC)(T) CAS编码: 98079-52-8 俗名: 1-Ethyl-6,8-difluoro-1,4-dihydro-7-(3-methyl-1-piperazinyl)-4-oxo-3- quinolinecarboxylic Acid Hydrochloride 分子式: C17H19F2N3O3·HCl 模块4. 急救措施 吸入: 将受害者移到新鲜空气处,保持呼吸通畅,休息。若感不适请求医/就诊。 皮肤接触: 立即去除/脱掉所有被污染的衣物。用大量肥皂和水轻轻洗。 若皮肤刺激或发生皮疹:求医/就诊。 眼睛接触:用水小心清洗几分钟。如果方便,易操作,摘除隐形眼镜。继续清洗。 如果眼睛刺激:求医/就诊。 食入: 若感不适,呼叫解毒中心/医生。漱口。 紧急救助者的防护:救援者需要穿戴个人防护用品,比如橡胶手套和气密性护目镜。 模块5. 消防措施 合适的灭火剂:干粉,泡沫,雾状水,二氧化碳 特殊危险性:小心,燃烧或高温下可能分解产生毒烟。 特定方法:从上风处灭火,根据周围环境选择合适的灭火方法。 非相关人员应该撤离至安全地方。 周围一旦着火:如果安全,移去可移动容器。 消防员的特殊防护用具:灭火时,一定要穿戴个人防护用品。 模块6. 泄漏应急处理 个人防护措施,防护用具, 使用个人防护用品。远离溢出物/泄露处并处在上风处。 紧急措施:泄露区应该用安全带等圈起来,控制非相关人员进入。 环保措施:防止进入下水道。 控制和清洗的方法和材料:清扫收集粉尘,封入密闭容器。注意切勿分散。附着物或收集物应该立即根据合适的 法律法规处置。 模块7. 操作处置与储存 处理 技术措施:在通风良好处进行处理。穿戴合适的防护用具。防止粉尘扩散。处理后彻底清洗双手 和脸。 注意事项:如果粉尘或浮质产生,使用局部排气。 操作处置注意事项:避免接触皮肤、眼睛和衣物。 贮存 储存条件:保持容器密闭。存放于凉爽、阴暗处。 远离不相容的材料比如氧化剂存放。 包装材料:依据法律。 模块8. 接触控制和个体防护 工程控制:尽可能安装封闭体系或局部排风系统,操作人员切勿直接接触。同时安装淋浴器和洗 眼器。 个人防护用品 呼吸系统防护:防尘面具。依据当地和政府法规。 手部防护:防护手套。 眼睛防护:安全防护镜。如果情况需要,佩戴面具。 皮肤和身体防护:防护服。如果情况需要,穿戴防护靴。 盐酸洛美沙星 修改号码:5 模块9. 理化特性 固体 外形(20°C): 外观: 晶体-粉末 颜色: 白色-浅黄色 气味:无资料 pH:无数据资料 熔点:无资料 沸点/沸程无资料 闪点:无资料 爆炸特性 爆炸下限:无资料 爆炸上限:无资料 密度:无资料 溶解度: [水]无资料 [其他溶剂]无资料 模块10. 稳定性和反应性 化学稳定性:一般情况下稳定。 危险反应的可能性:未报道特殊反应性。 须避免接触的物质氧化剂 危险的分解产物: 一氧化碳, 二氧化碳, 氮氧化物 (NOx), 氟化氢, 氯化氢 模块11. 毒理学信息 急性毒性: orl-mus LD50:1608 mg/kg orl-rat LD50:1556 mg/kg scu-rat LD50:1637 mg/kg ivn-rat LD50:328 mg/kg 对皮肤腐蚀或刺激:无资料 对眼睛严重损害或刺激:无资料 生殖细胞变异原性:无资料 致癌性: IARC =无资料 NTP =无资料 生殖毒性:无资料 RTECS 号码: VB1997500 模块12. 生态学信息 生态毒性: 鱼类:无资料 甲壳类:无资料 藻类:无资料 残留性 / 降解性:无资料 潜在生物累积 (BCF):无资料 土壤中移动性 log水分配系数:无资料 土壤吸收系数 (Koc):无资料 亨利定律无资料 constant(PaM3/mol): 盐酸洛美沙星 修改号码:5 模块13. 废弃处置 如果可能,回收处理。请咨询当地管理部门。建议在可燃溶剂中溶解混合,在装有后燃和洗涤装置的化学焚烧炉中 焚烧。废弃处置时请遵守国家、地区和当地的所有法规。 模块14. 运输信息 联合国分类:与联合国分类标准不一致 UN编号:未列明 模块15. 法规信息 《危险化学品安全管理条例》(2002年1月26日国务院发布,2011年2月16日修订): 针对危险化学品的安全使用、 生产、储存、运输、装卸等方面均作了相应的规定。 模块16 - 其他信息 N/A |
| 符号 |
GHS07 |
|---|---|
| 信号词 | Warning |
| 危害声明 | H302 |
| 个人防护装备 | dust mask type N95 (US);Eyeshields;Gloves |
| 危害码 (欧洲) | Xn:Harmful; |
| 风险声明 (欧洲) | R22 |
| 危险品运输编码 | NONH for all modes of transport |
| WGK德国 | 3 |
| RTECS号 | VB1997500 |
| 海关编码 | 2933990090 |

搜索








