布溪那明
【用途一】
用于慢性关节风湿病的治疗。
用于慢性关节风湿病的治疗。
产品名称
-
中文名布溪那明
-
英文名Bucillamine
-
中文别名布西拉明 | 布西拉明 | N-(2-巯基-2-甲基丙酰基)-L-半胱氨酸 | N-(2-巯基-2-甲基-1-氧代丙基)-L-半胱氨酸
-
英文别名
L-Cysteine, N-(2-mercapto-2-methyl-1-oxopropyl)- Bucillamine N-(2-Mercapto-2-methylpropionyl)-L-cysteine (2R)-2-[(2-methyl-2-sulfanylpropanoyl)amino]-3-sulfanylpropanoic acid N-(2-Mercaptoisobutyryl)-L-cysteine N-(2-Methyl-2-sulfanylpropanoyl)-L-cysteine N-(2-Mercapto-2-methyl-1-oxopropyl)-L-cysteine MFCD00867570 Thiobutarit N-(2-Mercapto-2-methylpropanoyl)-L-cysteine -
常用名布溪那明
-
C A S号65002-17-7
物理性质
-
密度1.3±0.1 g/cm3
-
沸点438.0±45.0 °C at 760 mmHg
-
熔点119-123ºC
-
化学式C7H13NO3S2
-
结构式
1、 摩尔折射率:55.38
2、 摩尔体积(cm3/mol):173.1
3、 等张比容(90.2K):461.6
4、 表面张力(dyne/cm):50.5
5、 极化率(10-24cm3):21.95
-
闪点218.7±28.7 °C
-
分子量223.313
-
精确质量223.033676
-
P S A144.00000
-
外观形状
-
储存条件Hygroscopic, -20?C Freezer, Under Inert Atmosphere
-
稳定性
-
水溶解性
-
形态
-
H L B值
-
粘度
-
PH值
作用/用途
【用途一】
用于慢性关节风湿病的治疗。
用于慢性关节风湿病的治疗。
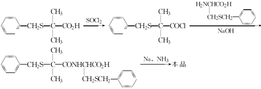
制备方法
S-苄基-2-巯基-2-甲基丙酸(63.1g,0.30mo1)和氯化亚砜(39.3g, 0.33mo1)反应,得S-苄基-2-巯基-2-甲基丙酰氯。另外将S-苄基-L-半胱氨酸(73.9g,0.35mo1)溶于lmol/L氢氧化钠溶液(700ml,0.70mo1),用冰浴冷却,在搅拌下滴入上述得到的丙酰氯衍生物,加毕再搅拌1h。用盐酸酸化后,用乙酸乙酯提取。提取液水洗后,无水硫酸钠干燥,浓缩。剩余物用硅胶柱层析,用苯-乙酸乙酯(1:1)洗脱。洗脱液减压蒸发至于,得89.6g的油状物,收率74%。
将上述得到的油状物(89.6g,0.222mol)溶于500ml液氨,在搅拌下,分批小量加入金属钠(21.2g,0.917mo1)。当反应完全后,加入氯化铵(59.4g,1.11mo1),蒸出氨。剩余物加水溶解。分出水层,用乙酸乙酯洗,然后在冷却下用盐酸酸化。用乙酸乙酯提取酸化产生的沉淀。提取液用水洗,无水硫酸钠干燥,减压浓缩,乙酸乙酯重结晶,得40.1g布西拉明,收率81%,熔点139~140℃。
安全提醒
MSDS
原料简介
应用范围
毒性和生态
安全信息
| 危害码 (欧洲) | T,N,Xi |
|---|---|
| 风险声明 (欧洲) | R23/24/25:Toxic by inhalation, in contact with skin and if swallowed . R50/53:Very Toxic to aquatic organisms, may cause long-term adverse effects in the aquatic environment . |
| 安全声明 (欧洲) | S26-S27-S28-S45-S60-S61 |
| 危险品运输编码 | UN 3146 6.1/PG 3 |
| WGK德国 | 3 |
| 包装等级 | III |
| 危险类别 | 6.1 |
| 海关编码 | 2930909090 |
是否危险品
危险性
危险类别码
危险等级
触发危险方式
安全技术说明书
环境影响程度
包装与储运
相关供应商

搜索






