群多普利
-
中文名群多普利
-
英文名Trandolapril
-
中文别名(2S,3aR,7aS)-1-[(2S)-2-[[(1S)-1-乙氧基甲酰-3-苯基-丙基]氨基]丙酰基]-2,3,3a,4,5,6,7,7a-八氢吲哚-2-甲酸 | (3ΑR.7ΑS)-1-[N-[1(S)-乙氧羰基]-3-苯丙基]-(S)-丙氨酰八氢吲哚-2(S)-羧酸 | 泉多普利
-
英文别名
Trandolaprilum [Latin] Preran Trandolaprilum (2S,3aR,7aS)-1-[(S)-N-[(S)-1-carboxy-3-phenylpropyl]alanyl]hexahydro-2-indolinecarboxylic acid 1-ethyl ester (2S,3aR,7aS)-1-[(2S)-2-{[(1S)-1-(ethoxycarbonyl)-3-phenylpropyl]amino}propanoyl]octahydro-1H-indole-2-carboxylic acid (non-preferred name) Trandolapril (2S,3aR,7aS)-1-[(2S)-2-[[(1S)-1-(ethoxycarbonyl)-3-phenylpropyl]amino]-1-oxopropyl]octahydro-1H-indole-2-carboxylic acid,form I crystalline polymorph of Gopten (3aR,7aS)-1-[N-[1(S)-(ethoxycarbonyl)-3-phenylpropyl]-(S)-alanyl]octahydroindole-2(S)-carboxylic acid Mavik 1-[2-[(1-ethoxycarbonyl-3-phenylpropyl)amino]propanoyl]-2,3,3a,4,5,6,7,7a-octahydroindole-2-carboxylic acid (2S,3aR,7aS)-1-[(2S)-2-{[(1S)-1-(ethoxycarbonyl)-3-phenylpropyl]amino}propanoyl]octahydro-1H-indole-2-carboxylic acid Odrik Udrik (2S,3aR,7aS)-1-[(2S)-2-[[(1S)-1-(ethoxycarbonyl)-3-phenylpropyl]amino]-1-oxopropyl]octahydro-1H-indole-2-carboxylic acid [2S-[1[R*(R*)],2a,3aa,7ab]]-1-[2-[[1-(Ethoxycarbonyl)-3-phenylpropyl]amino]-1-oxopropyl]octahydro-1H-indole-2-carboxylic acid MFCD00865776 (2S,3aR,7aS)-1-[(2S)-2-{[(2S)-1-Ethoxy-1-oxo-4-phenylbutan-2-yl]amino}propanoyl]octahydro-1H-indole-2-carboxylic acid (non-preferred name) (2S,3aR,7aS)-1-[(2S)-2-{[(2S)-1-Ethoxy-1-oxo-4-phenyl-2-butanyl]amino}propanoyl]octahydro-1H-indole-2-carboxylic acid (3aR,7aS)-1-[N-1(S)-(ethoxycarbonyl)-3-phenylpropyl]-(S)-alanyl-octahydro-1H-indole-2(S)-carboxylic acid Odric (2S,3aR,7aS)-1-[(2S)-2-[[(1S)-1-(ethoxycarbonyl)-3-phenylpropyl]amino]-1-oxopropyl]octahydro-1H-indole-2-carboxylic acid,form II crystalline polymorph of -
常用名群多普利
-
C A S号87679-37-6
-
密度1.2±0.1 g/cm3
-
沸点626.0±55.0 °C at 760 mmHg
-
熔点122-123°C
-
化学式C24H34N2O5
-
结构式
1、 摩尔折射率:116.02
2、 摩尔体积(cm3/mol):364.5
3、 等张比容(90.2K):963.1
4、 表面张力(dyne/cm):48.7
5、 极化率(10-24cm3):45.99
-
闪点332.4±31.5 °C
-
分子量430.537
-
精确质量430.246765
-
P S A95.94000
-
外观形状白色粉末
-
储存条件Room temp
-
稳定性
-
水溶解性
-
形态
-
H L B值
-
粘度
-
PH值
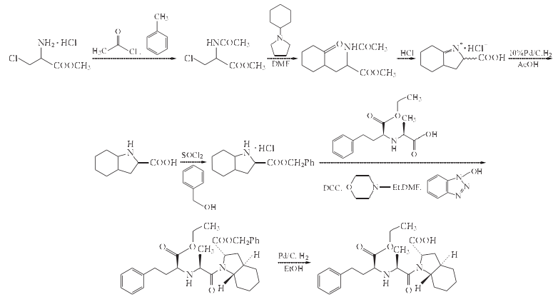
1. 3-氯-N-乙酰丙氨酸甲酯的制备
在反应瓶中加入3-氯丙氨酸甲酯盐酸盐181g91.04mol)、乙酰氯163.9g(2.08mol)和无水甲苯1500ml,搅拌加热至回流,回流反应5h直至反应混合物成清澈溶液.反应毕将反应液浓缩至干,剩余物用乙酸乙酯/石油醚混合溶剂重结晶,得3-氯-N-乙酰丙氨酸甲酯170g,收率91%,mp104ºC.
2. 3-(2-氧代环己基)-N-乙酰丙氨酸甲酯的制备
在反应瓶中加入上步制备的化合物3-氯-N-乙酰丙氨酸甲酯160g(0.89mol)、1-吡咯基环己烷171.9g(1.12mol) 和无水DMF1200ml,混合均匀后,将该混合物于20~25ºC放置3天.反应溶液在高真空下浓缩,剩余物中加水600ml后,用浓盐酸调至pH2.水层用乙酸乙酯提取,合并有机相,用无水Na2SO4干燥,过滤,滤液浓缩得油状物3-(2-氧代环己基)-N-乙酰丙氨酸甲酯粗品220g,收率>100%.直接用于下步反应.
3. 3,3a,4,5,6,7-2H-六氢吲哚-2-羧酸盐酸盐的制备
在反应瓶中加入上步制备的化合物3-(2-氧代环己基)-N-乙酰丙氨酸甲酯220g(约0.90mol)(粗品)和2mol/L盐酸1000ml,搅拌加热至沸回流,搅拌回流反应2H.将反应混合物用乙酸乙酯提取,水溶液相浓缩,残留量的水加入甲苯三次,真空共沸蒸馏除去,得黄色油状物3,3a,4,5,6,7-2H-六氢吲哚-2-羧酸盐酸盐210g,收率>100%,该品冷却静置可结晶固化.
4. DL-2β,3αβ,7αa-八氢吲哚-2-羧酸的制备
在氢化反应瓶中加入上步制备的化合物3,3a,4,5,6,7-2H-六氢吲哚-2-羧酸盐酸盐128g(约0.63mol)、冰乙酸700ml和Pd/C(10%)4g,搅拌下用N2置换瓶中空气3次,用H2置换N2后,通H2常压室温氢化反应.反应毕,过滤掉催化剂,滤液浓缩至干,剩余物加热乙醇500ml溶解,将溶液冷却至-20ºC,化合物DL-2β,3αβ,7αa-八氢吲哚-2-羧酸的异构体(2αβ,3αβ, 7αβ-八氢吲哚羧酸)被沉淀出来,分离后的溶液经浓缩后用异丙醇析晶,过滤,得无色晶体DL-2β,3αβ,7αa-八氢吲哚-2-羧酸280g,mp280ºC
5. DL-2β,3αβ,7αa-八氢吲哚-2-羧酸苄酯盐酸盐的制备
在反应瓶中加入苯甲醇14ml(14.58g,134.84mmol)和亚硫酰氯(SOCl2)1.41ml(2.29g,19.27mmol)冷却至-5ºC~0ºC,再在搅拌下于-10ºC~0ºC加入上步制备的化合物DL-2β,3αβ,7αa-八氢吲哚-2-羧酸1.4g(8.28mmol),加毕,将混合物于0ºC搅拌反应1h.于20~25ºC静置过夜.于50ºC将反应液中苄醇(苯甲醇)在高真空下蒸馏干净,剩余物加二异丙醚捣碎研磨,过滤,得DL-2β,3αβ,7αa-八氢吲哚-2-羧酸苄酯盐酸盐2.5g,收率>100%,该产物为无色晶体(仍系粗品),mp154ºC.可直接用于下步反应.
6. N-(1S-乙氧羰基-3-苯丙基)-S-丙氨酰-2β,3αβ,7αa-八氢吲哚-2-羧酸苄酯的制备
在反应瓶中加入N-(1S-乙氧羰基-3-苯丙基)-S-丙氨酸2.16g(7.74mmol)和无水DMF8.6ml,搅拌悬浮,往该悬浮液加入1-羟基苯并三唑1.06g(7.85mol)、上步制备的化合物DL-2β,3αβ,7αa-八氢吲哚-2-羧酸苄酯盐酸盐2.2g(7.45mol)和N-乙基吗啉1.08ml,搅拌混合,再加入二环己基碳化二亚胺(DCC)1.7g(加DCC时控制内温为0ºC),加毕,在20~25ºC搅拌反应3.5h.反应混合物用乙酸乙酯200ml稀释,将产生的二环己基脲沉淀过滤掉,滤液减压浓缩蒸除溶剂,剩余物加入乙醚溶解,溶液用饱和NaHCO3水溶液洗涤2次,无水Na2SO4干燥,过滤,滤液浓缩后剩余物用硅胶柱色谱分离纯化[洗脱剂:乙酸乙酯/环己烷],经后处理得两部分淡黄色油状物(比率为1:1),各含目的化合物N-(1S-乙氧羰基-3-苯丙基)-S-丙氨酰-2β,3αβ,7αa-八氢吲哚-2-羧酸苄酯的一个异构体[即(2R,3αR, 7αS)-N-(1S-乙氧羰基-3-苯丙基)-S-丙氨酰-2β,3αβ,7αa-八氢吲哚-2-羧酸苄酯和(2S,3αS,7αR)- N-(1S-乙氧羰基-3-苯丙基)-S-丙氨酰-2β,3αβ,7αa-八氢吲哚-2-羧酸苄酯.
7. (2S,3αR,7αS)-1-[(2S)-2-[[(1S)-1-(乙氧羰基)-3-苯基丙基]氨基]-1-氧代丙基]八氢-1H-吲哚-2-羧酸(群多普利)的合成
在氢化反应瓶中加入(2S,3αS,7αR)N-(1S-乙氧羰基-3-苯丙基)-S-丙氨酰-2β,3αβ,7αa-八氢吲哚-2-羧酸苄酯1.7g(3.26mol)、无水乙醇60ml和10%Pd/C催化剂200mg,用N2置换瓶中空气3次#用H2置换N2 3次,于25ºC常压通H2反应2h(搅拌下).反应毕,过滤掉催化剂,滤液浓缩蒸除溶剂,得无色泡沫状物(2S,3αR,7αS)-1-[(2S)-2-[[(1S)-1-(乙氧羰基)-3-苯基丙基]氨基]-1-氧代丙基]八氢-1H-吲哚-2-羧酸(群多普利)1.2g,收率85.7%(将该泡沫状目的物制成盐酸盐可得无色无定形粉末).
|
群多普利MSDS英文版
|
| 个人防护装备 | Eyeshields;Gloves;type N95 (US);type P1 (EN143) respirator filter |
|---|---|
| 危险品运输编码 | NONH for all modes of transport |
| RTECS号 | NL6015178 |

搜索







