米库氯铵
Mivacurium dichloride 是一种苄基异喹啉衍生物,也是一种短效非去极化神经肌肉阻滞剂和骨骼肌松弛剂。Mivacurium dichloride 可与 nAChR 偶联,以减少或抑制乙酰胆碱对肌肉细胞末端盘的去极化作用。
产品名称
-
中文名氯米洼库
-
英文名Mivacurium dichloride
-
中文别名-1,2,3,4-四氢-2-(3-羟丙基)-6,7-二甲氧基-2-甲基-1-(3,4,5-三甲基苄基)异喹啉氯化物(E)-4-辛烯二羧酸(2:1) | 米库氯铵
-
英文别名
Mivacurium chloride -
常用名米库氯铵
-
C A S号106861-44-3
物理性质
-
密度N/A
-
沸点N/A
-
熔点N/A
-
化学式C58H80Cl2N2O14
-
结构式
-
闪点N/A
-
分子量1100.17000
-
精确质量1098.50000
-
P S A144.90000
-
外观形状灰白色固体
-
储存条件
-
稳定性
-
水溶解性
-
形态
-
H L B值
-
粘度
-
PH值
作用/用途
Mivacurium dichloride 是一种苄基异喹啉衍生物,也是一种短效非去极化神经肌肉阻滞剂和骨骼肌松弛剂。Mivacurium dichloride 可与 nAChR 偶联,以减少或抑制乙酰胆碱对肌肉细胞末端盘的去极化作用。
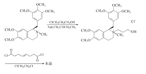
制备方法
5',8-二甲氧基-N-甲基罂粟碱和3-氯丙醇,在碘化钠存在下,在2-丁酮中回流。得到的季铵盐和辛-4-烯二酰氯在二氯乙烷中,于室温下反应,得米库氯铵。
安全提醒
MSDS
原料简介
应用范围
毒性和生态
安全信息
是否危险品
危险性
危险类别码
危险等级
触发危险方式
安全技术说明书
环境影响程度
包装与储运
相关供应商

搜索






