吡嘧司特
用于支气管哮喘。
-
中文名吡嘧司特
-
英文名pemirolast
-
中文别名哌罗司特 | 9-甲基-3-(1H-四唑-5-基)-4H-吡啶并[1,2-Α]嘧啶-4-酮
-
英文别名
3-(1H-tetrazol-5-yl)-9-methyl-4-oxo-4H-pyrido[1,2-a]pyrimidine Pemirolast (INN) UNII-2C09NV773M Pemirox (TN) Pemirolastum [INN-Latin] Pemiroplast Potassium MFCD00864611 Pemirolastum Pemirolast 9-methyl-3-(1H-tetrazol-5-yl)-4H-pyrido[1,2-a]pyrimidin-4-one 9-TBX -
常用名吡嘧司特
-
C A S号69372-19-6
-
密度1.64 g/cm3
-
沸点454.8ºC at 760 mmHg
-
熔点310-311ºC (decomposes)
-
化学式C10H8N6O
-
结构式
1、 摩尔折射率:60.87
2、 摩尔体积(cm3/mol):138.8
3、 等张比容(90.2K):407.1
4、 表面张力(dyne/cm):73.9
5、 极化率(10-24cm3):24.13
-
闪点228.9ºC
-
分子量228.21000
-
精确质量228.07600
-
P S A88.83000
-
外观形状
-
储存条件
-
稳定性
-
水溶解性
-
形态
-
H L B值
-
粘度
-
PH值
用于支气管哮喘。
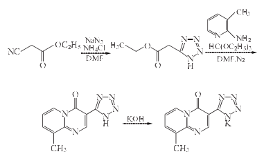
2-氨基-3-甲基吡啶和叠氮钠、三氯化铝及3-乙氧基-2-氰基丙烯酸乙酯在四氢呋喃中回流,得到吡嘧司特.
1. 5-乙氧羰甲基-1H-四唑的制备
在反应瓶中加入氰乙酸乙酯67.8g(0.60mol)、叠氮化钠43g(0.66mol)、NH4Cl 35.4g(0.66mol)和DMF260ml,于90ºC搅拌反应8h.减压回收反应液中的DMF,剩余物加水260ml,用20%盐酸调至pH2 ,冷却,过滤,滤饼用冰水洗涤,于60ºC下干燥,得类白色粗品5-乙氧羰甲基-1H-四唑73g,收率77.9%.将粗品用异丙醇[粗品:异丙醇=1:2.6(质量/体积)]重结晶,真空干燥,得精制品无色晶体5-乙氧羰甲基-1H-四唑60.5g,收率64.5%,mp128~130ºC(文献[7]mp128~130ºC)
2. 吡嘧司特的制备
在反应瓶中加入2-氨基-3-甲基吡啶21.6g(0.2mol)、5-乙氧羰甲基-1H-四唑31.2g(0.2mol)、5-乙氧羰甲基-1H-四唑31.2g(0.2mol)、原甲酸三乙酯32.6g(0.22mol)和DMF75ml,搅拌混合,在N2保护下于90ºC搅拌反应1h. 冷至50ºC,加入1mol/LKOH220ml,于50ºC搅拌反应1h.冷后用20%盐酸调至pH3,过滤,滤饼抽干后真空干燥,得吡嘧司特40g,收率87.7%,mp303~305ºC(文献[6]mp306ºC)
3. 吡嘧司特钾的合成
在反应瓶中加入2mol/LKOH130ml和吡嘧司特40g(0.175mol),搅拌至全溶,于50ºC下加入异丙醇175ml和活性炭1.2g,搅拌1h.过滤,在深红色滤液中加入异丙醇175ml,冷却,过滤,得黄绿色晶体,将其用水/异丙醇(1:3,体积比)290ml重结晶精制,得淡黄色结晶性粉末吡嘧司特钾32g,收率68.5%,mp>310ºC(文献[6]mp317ºC).HPLC法测得有关物质含量为0.38%.
| 危害码 (欧洲) | C |
|---|---|
| 风险声明 (欧洲) | R34:Causes burns. |
| 安全声明 (欧洲) | 16-26-36/37/39-37/39 |
| 危险品运输编码 | UN 1993 3/PG 2 |
| WGK德国 | 3 |
| 包装等级 | II |
| 危险类别 | 8 |

搜索







