培高利特
合成的麦角灵类药物,为新的多巴胺能激动药,其作用更强,且长效。作为左旋多巴、卡比多巴的辅助治疗药物,用于帕金森病的治疗。
产品名称
-
中文名培高利特
-
英文名Pergolide
-
中文别名培高利得 | D-6-正丙基-8Β-甲硫基甲基麦角灵
-
英文别名
pergolida (6aR,9R,10aR)-9-[(methylsulfanyl)methyl]-7-propyl-4,6,6a,7,8,9,10,10a-octahydroindolo[4,3-fg]quinoline Permax (TN) (8b)-8-[(Methylthio)methyl]-6-propylergoline Pergolidum [INN-Latin] (6aR,9R,10aR)-9-(Methylthiomethyl)-7-propyl-4,6,6a,7,8,9,10,10a-octahydroindolo[4,3-fg]quinoline D-6-n-Propyl-8b-methylmercaptomethylergoline Ly 141B (6aR,9R,10aR)-9-[(Methylsulfanyl)methyl]-7-propyl-4,6,6a,7,8,9,10,10a-octahydroindolo[4,3-fg]chinolin 8β-[(Methylthio)methyl]-6-propylergoline Permax Ergoline, 8-[(methylthio)methyl]-6-propyl-, (8β)- Pergolide Pergolidum Pergolida [INN-Spanish] (6aR,9R,10aR)-9-(methylsulfanylmethyl)-7-propyl-6,6a,8,9,10,10a-hexahydro-4H-indolo[4,3-fg]quinoline Ergoline, 8-((methylthio)methyl)-6-propyl-, (8β)- UNII-24MJ822NZ9 Pergolide (INN) (8β)-8-[(methylthio)methyl]-6-propylergoline (8β)-8-[(Methylsulfanyl)methyl]-6-propylergoline -
常用名培高利特
-
C A S号66104-22-1
物理性质
-
密度1.1±0.1 g/cm3
-
沸点491.3±35.0 °C at 760 mmHg
-
熔点207.5ºC
-
化学式C19H26N2S
-
结构式
1、 摩尔折射率:97.44
2、 摩尔体积(cm3/mol):279.6
3、 等张比容(90.2K):722.4
4、 表面张力(dyne/cm):44.5
5、 极化率(10-24cm3):38.62
-
闪点250.9±25.9 °C
-
分子量314.488
-
精确质量314.181671
-
P S A44.33000
-
外观形状
-
储存条件
-
稳定性
-
水溶解性
-
形态
-
H L B值
-
粘度
-
PH值
作用/用途
合成的麦角灵类药物,为新的多巴胺能激动药,其作用更强,且长效。作为左旋多巴、卡比多巴的辅助治疗药物,用于帕金森病的治疗。
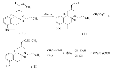
制备方法
合物(I)经氢化铝锂还原,再和甲磺酰氯作用,得到D-6-正丙基-8β- 甲磺酰氧甲基麦角灵(Ⅲ)。
25g甲硫醇溶于200ml二甲基乙酰胺(DMA),用冰浴冷至约0℃,再分批加入14.4g 50%的氢化钠,使形成甲基硫化钠。然后在室温下加入10.9g化合物(Ⅲ)溶于60ml二甲基乙酰胺的溶液,在氮气保护下搅拌1h。加水稀释,水层用乙酸乙酯提取。提取液用水和饱和氯化钠洗后,干燥。蒸去溶剂,剩余物含培高利特,TLC检测只有一斑点;含培高利特6.9g,熔点206~209℃(分解)。
剩余物悬浮于100ml沸甲醇,加入1.6ml甲磺酸的10ml甲醇溶液。加毕,放置任其冷却,并析出甲磺酸培高利特结晶。再冷却后过滤,得6.0g甲磺酸培高利特,熔点 255℃(分解)。
安全提醒
MSDS
原料简介
应用范围
毒性和生态
安全信息
| 危险品运输编码 | UN 1544 6.1/PG II |
|---|---|
| RTECS号 | KE6344964 |
| 包装等级 | II |
是否危险品
危险性
危险类别码
危险等级
触发危险方式
安全技术说明书
环境影响程度
包装与储运
相关供应商

搜索






