头孢呋肟
-
中文名头孢呋辛
-
英文名Cefuroxime
-
中文别名头孢呋肟 | 头孢呋辛酯杂质 D | 头孢呋辛酸
-
英文别名
EINECS 259-560-1 cefuroxim U1troxim Ketocef (6R,7R)-3-[(carbamoyloxy)methyl]-7-{[(2Z)-2-(furan-2-yl)-2-(methoxyimino)acetyl]amino}-8-oxo-5-thia-1-azabicyclo[4.2.0]oct-2-ene-2-carboxylic acid Cefuroxime Biocidin cefaloxime 5-Thia-1-azabicyclo[4.2.0]oct-2-ene-2-carboxylic acid, 3-[[(aminocarbonyl)oxy]methyl]-7-[[(2Z)-2-(2-furanyl)-2-(methoxyimino)-1-oxoethyl]amino]-8-oxo-, (6R,7R)- Cephuroxime MFCD00864991 CXM Biofuroksym (6R,7R)-3-[(Carbamoyloxy)methyl]-7-{[(2Z)-2-(2-furyl)-2-(methoxyimino)acetyl]amino}-8-oxo-5-thia-1-azabicyclo[4.2.0]oct-2-ene-2-carboxylic acid (6R,7R)-3-Carbamoyloxymethyl-7-[2-(2-furyl)-2-(methoxyimino)acetamido]-8-oxo-5-thia-1-azabicyclo[4.2.0]oct-2-ene-2-carboxylic Acid EkLxirrm -
常用名头孢呋肟
-
C A S号55268-75-2
-
密度1.8±0.1 g/cm3
-
沸点N/A
-
熔点171.5-173°C
-
化学式C16H16N4O8S
-
结构式
1、 摩尔折射率:96.66
2、 摩尔体积(cm3/mol):241.0
3、 等张比容(90.2K):716.3
4、 表面张力(dyne/cm):78.0
5、 极化率(10-24cm3):38.32
-
闪点N/A
-
分子量424.385
-
精确质量424.068878
-
P S A199.06000
-
外观形状白色结晶,[α]召+63.7°(C=1.0,0.2mol/L磷酸盐缓冲液pH=7)。UV最大吸收(pH=6磷酸缓冲液):274nm(ε17600)。头孢呋辛钠(Cefuroxime Sodium):C16H15N4aO8SNa。[56238-63-2]。白色固体,易溶于水或缓冲溶液,溶于甲醇,极微溶于乙醇乙酯、乙醚、辛醇、苯或氯仿,水中溶解度为500mg/2.5ml。pKa(水):2.5;pKa(Z.甲基甲酰胺):5.1。[α]D20 +60°(C=0.91,水)。
-
储存条件
-
稳定性
-
水溶解性
-
形态
-
H L B值
-
粘度
-
PH值
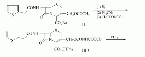
方法1:以头孢噻吩钠(Ⅰ)为原料,用酶进行水解脱去3位侧链上的乙酰基,再先后和二苯基偶氮甲烷及三氯乙酰基异氰酸酯反应,对羧基和醇进行保护,得化合物(Ⅱ)。化合物(Ⅱ)用五氯化磷进行处理,使7位侧链断裂,得化合物(Ⅲ)。化合物(Ⅲ)先用弱碱的甲醇溶液,再用强酸水解,脱去保护基,得化合物(Ⅳ)。化合物(Ⅳ)和侧链反应可得头孢呋辛。头孢呋辛和2-乙基己酸钠作用,可得头孢呋辛钠。
其中侧链的制备及和化合物(Ⅳ)的反应可进行如下。在0℃和搅拌下,往14.99g(0.072mol)五氯化磷悬浮于150ml干燥的二氯甲烷溶液中,加入27.5mlN,N-二甲基甲酰胺。冷却至-10℃,再加入12.17g(0.072mol)2-(呋喃-2-基)-2-甲氧亚氨基乙酸(Ⅸ)。在-10℃,继续搅拌反应15min后,加入35g碎冰在0继续搅拌10min后,分出下层的二氯甲烷层,留待后用。
75mlN,N-二甲基甲酰胺、75ml乙腈、42ml三乙胺和(6R,7R)-7-氨基-3-[(氨甲酰氧基)甲基]头孢-3-烯-4-羧酸混合,搅拌下浸入冰浴中,再加入10ml水。在0~2℃下搅拌45mol,直到固体全部溶解,形成黄色的溶液。然后在10min内,-10℃和搅拌下,往该黄色溶液中加入上面制得的二氯甲烷溶液,此时温度会缓慢升至0℃。接着在0~2℃下继续反应1g。移去冷浴,让其在1g内自然升温至20℃。在5℃下,把该反应液慢慢加入100ml的2mol/L盐酸和1.15L的冷水所成的溶液中。用2mol/L盐酸(约10ml)调节,使该二相混合液的PH值在2以下,继续搅拌,并再冷却至5℃。析出沉淀,过滤,用100ml二氯甲烷和250ml水洗,于40℃真空干燥过夜,得22.04g头孢呋辛,收率86.6%。
| 个人防护装备 | Eyeshields;Gloves;type N95 (US);type P1 (EN143) respirator filter |
|---|---|
| 危害码 (欧洲) | Xn |
| 风险声明 (欧洲) | R42/43 |
| 安全声明 (欧洲) | 22-24-37-45 |
| 危险品运输编码 | NONH for all modes of transport |
| RTECS号 | XI0329000 |

搜索










