伊布利特
抗心律失常
产品名称
-
中文名伊布利特
-
英文名IBUTILIDE
-
中文别名(±)-N-[4-[4-(乙基庚基胺)-1-羟基丁基]苯基]甲磺酰胺
-
英文别名
MFCD01715410 -
常用名伊布利特
-
C A S号122647-31-8
物理性质
-
密度1.099g/cm3
-
沸点522.4ºC at 760mmHg
-
熔点N/A
-
化学式C20H36N2O3S
-
结构式
1、 摩尔折射率:109.43
2、 摩尔体积(cm3/mol):349.8
3、 等张比容(90.2K):904.6
4、 表面张力(dyne/cm):44.7
5、 极化率(10-24cm3):43.38
-
闪点269.7ºC
-
分子量384.57600
-
精确质量384.24500
-
P S A78.02000
-
外观形状
-
储存条件
-
稳定性
-
水溶解性
-
形态
-
H L B值
-
粘度
-
PH值
作用/用途
抗心律失常
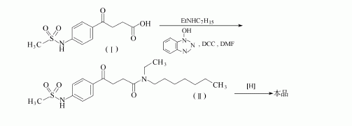
制备方法
4-(4-甲磺酰氨基苯基)-4-羰基乙酸溶于二甲基甲酰胺,搅拌下加入1-羟基苯并三唑和二环己基碳化二亚胺,再加入N-乙基正庚胺,得到的化合物经还原得到伊布利特。
安全提醒
MSDS
原料简介
应用范围
毒性和生态
安全信息
| 危害码 (欧洲) | Xn |
|---|---|
| 风险声明 (欧洲) | R22 |
是否危险品
危险性
危险类别码
危险等级
触发危险方式
安全技术说明书
环境影响程度
包装与储运
相关供应商

搜索







