更昔洛韦
-
中文名更息洛韦
-
英文名Ganciclovir
-
中文别名9-[[2-羟基-1-(羟甲基)乙氧基]甲基]鸟嘌呤 | 更昔洛韦水合物 | 更昔洛韦 | 9-(1,3-二羟基-2-丙氧甲基)鸟嘌呤 | 更昔洛韦水合物 | 丙氧鸟苷
-
英文别名
6H-Purin-6-one, 2-amino-1,9-dihydro-9-[[2-hydroxy-1-(hydroxymethyl)ethoxy]methyl]- Vitrasert Gancyclovir HHEMG T56 BN DN FN HNJ D1OY1Q1Q GZ IQ MFCD00870588 Ganciclovir Cymevene bwb759u 2-amino-9-{[(1,3-dihydroxypropan-2-yl)oxy]methyl}-3,9-dihydro-6H-purin-6-one 2'-ndg 6H-Purin-6-one, 2-amino-1,9-dihydro-9-((2-hydroxy-1-(hydroxymethyl)ethoxy)methyl)- DHPG biolf62 T56 BN DN FVM INJ B1OY1Q1Q HZ cymevan Cytovene 1,3-Propanediol, 2-[(2,3-dihydro-6-hydroxy-2-imino-9H-purin-9-yl)methoxy]- 2-Amino-9-{[(1,3-dihydroxy-2-propanyl)oxy]methyl}-1,9-dihydro-6H-purin-6-one BW B759U bw-759u GVC 2-amino-9-{[(1,3-dihydroxypropan-2-yl)oxy]methyl}-1,9-dihydro-6H-purin-6-one 2-Amino-1,9-[[2-hydroxy-1-(hydroxymethyl)ethoxy]methyl]-6H-purin-6-one 2-[(6-Hydroxy-2-imino-2,3-dihydro-9H-purin-9-yl)methoxy]-1,3-propanediol bw-759 -
常用名更昔洛韦
-
C A S号82410-32-0
-
密度1.8±0.1 g/cm3
-
沸点657.0±65.0 °C at 760 mmHg
-
熔点250°C
-
化学式C9H13N5O4
-
结构式
-
闪点351.1±34.3 °C
-
分子量255.231
-
精确质量255.096756
-
P S A139.28000
-
外观形状白色粉末
-
储存条件
2-8°C冷藏、密闭、干燥处
-
稳定性
-
水溶解性
-
形态白色粉末
-
H L B值
-
粘度
-
PH值
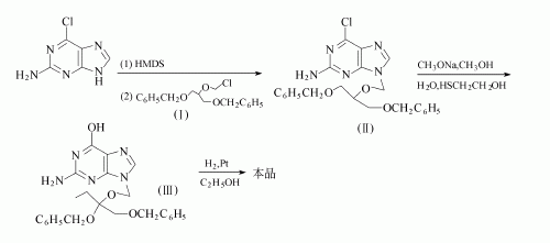
将化合物(I)(15g,0.088mo1)悬浮于200ml HMDS(1,1,1,3,3,3-hexam.Ethyldisilizane)中,加入1.5g硫酸铵,回流2h。反应液减压浓缩,往剩余的黄色固体加入氰化汞(24g,0.095mo1)和250ml苯,加热至回流。加入6-氯鸟嘌呤(29.93g,0.093mo1)在250ml苯中的溶液,在氮气氛下回流3h。减压蒸出苯,剩余物和1.5L二氯甲烷搅拌后过滤。滤液用300ml 30%碘化钾水溶液洗2次,10%碳酸钾洗2次,300ml水洗2次,300ml饱和氯化钠洗,无水硫酸钠干燥。减压浓缩,得55g化合物(Ⅱ)的粗品。该粗品溶入最小量的二氯甲烷,用硅胶柱(8.5cm×30cm)层析,先用2L乙酸乙酯-己烷(2:3)洗脱,再用3L乙酸乙酯-己烷(75:25)洗脱。化合物(Ⅱ)将由第二洗脱液洗脱。得32g化合物(Ⅱ),收率80%,熔点70--75℃。化合物(Ⅱ)(24g,0.05mo1)溶于500ml甲醇,加入含4.6g钠的200ml甲醇中溶液,再加入16ml 2-巯基乙醇和lml水,在氮气下回流1h。再加入3g钠在50ml甲醇中的溶液,回流1h。反应液减压浓缩至约70ml,倾入400ml水中,用冰乙酸调Ph值至6。过滤收集析出的沉淀,用水彻底洗涤,再用乙醚洗,真空干燥,得22g固体。该固体和热乙酸乙酯一起搅拌,过滤收集固体,用无水乙醇重结晶,得16g化合物(Ⅲ),收率70%,熔点181~183℃。化合物(m)(15.6g,36mmo1)溶于回流中的800ml乙醇,加入400ml环己烯和15g铂黑,回流18h。过滤除去催化剂,并用热二甲基甲酰胺(200ml,100℃)洗5次。洗液和滤液合并后浓缩,剩余物溶入热乙醇-水(各200m1),用0.5g活性炭过滤。滤液减压浓缩,剩余物用乙醇-水(4:1)结晶,得7.72g更昔洛韦,收率84%,熔点>285℃(分解)。
|
模块1. 化学品 1.1 产品标识符 : Ganciclovir 产品名称 1.2 鉴别的其他方法 无数据资料
1.3 有关的确定了的物质或混合物的用途和建议不适合的用途
仅用于研发。不作为药品、家庭或其它用途。 模块2. 危险性概述 2.1 GHS-分类 急性毒性, 经口 (类别 5) 生殖毒性 (类别 1B) 2.2 GHS 标记要素,包括预防性的陈述 象形图 警示词危险 危险申明 H303吞咽可能有害。 H360可能对生育能力或胎儿造成伤害。 警告申明 预防措施 P201在使用前获取特别指示。 P202在读懂所有安全防范措施之前切勿操作。 P280戴防护手套/穿防护服/戴护目镜/戴面罩. 事故响应 P308 + P313如接触到或有疑虑:求医/ 就诊。 安全储存 P405存放处须加锁。 废弃处置 P501将内容物/ 容器处理到得到批准的废物处理厂。 只限于专业使用者。 2.3 其它危害物 - 无 模块3. 成分/组成信息 3.1 物 质 : C9H13N5O4 分子式 : 255.23 g/mol 分子量 组分浓度或浓度范围 Ganciclovir <=100% 化学文摘登记号(CAS82410-32-0 No.) 模块4. 急救措施 4.1 必要的急救措施描述 一般的建议 请教医生。 向到现场的医生出示此安全技术说明书。 吸入 如果吸入,请将患者移到新鲜空气处。 如呼吸停止,进行人工呼吸。 请教医生。 皮肤接触 用肥皂和大量的水冲洗。 请教医生。 眼睛接触 用水冲洗眼睛作为预防措施。 食入 切勿给失去知觉者通过口喂任何东西。 用水漱口。 请教医生。 4.2 主要症状和影响,急性和迟发效应 恶心, 呕吐, 虚弱, 头晕, 头痛, 出汗 4.3 及时的医疗处理和所需的特殊处理的说明和指示 无数据资料 模块5. 消防措施 5.1 灭火介质 灭火方法及灭火剂 用水雾,抗乙醇泡沫,干粉或二氧化碳灭火。 5.2 源于此物质或混合物的特别的危害 碳氧化物, 氮氧化物 5.3 给消防员的建议 如必要的话,戴自给式呼吸器去救火。 5.4 进一步信息 无数据资料 模块6. 泄露应急处理 6.1 作业人员防护措施、防护装备和应急处置程序 使用个人防护用品。 避免粉尘生成。 避免吸入蒸气、烟雾或气体。 保证充分的通风。 人员疏散到安全区域。 避免吸入粉尘。 6.2 环境保护措施 如能确保安全,可采取措施防止进一步的泄漏或溢出。 不要让产品进入下水道。 6.3 泄漏化学品的收容、清除方法及所使用的处置材料 收集和处置时不要产生粉尘。 扫掉和铲掉。 放入合适的封闭的容器中待处理。 6.4 参考其他部分 丢弃处理请参阅第13节。 模块7. 操作处置与储存 7.1 安全操作的注意事项 避免形成粉尘和气溶胶。避免曝露:使用前需要获得专门的指导。 在有粉尘生成的地方,提供合适的排风设备。 7.2 安全储存的条件,包括任何不兼容性 贮存在阴凉处。 使容器保持密闭,储存在干燥通风处。 建议的贮存温度: 2 - 8 °C 7.3 特定用途 无数据资料 模块8. 接触控制和个体防护 8.1 容许浓度 最高容许浓度 没有已知的国家规定的暴露极限。 8.2 暴露控制 适当的技术控制 根据良好的工业卫生和安全规范进行操作。 休息前和工作结束时洗手。 个体防护设备 眼/面保护 带有防护边罩的安全眼镜符合 EN166要求请使用经官方标准如NIOSH (美国) 或 EN 166(欧盟) 检测与批准的设备防护眼部。 皮肤保护 戴手套取 手套在使用前必须受检查。 请使用合适的方法脱除手套(不要接触手套外部表面),避免任何皮肤部位接触此产品. 使用后请将被污染过的手套根据相关法律法规和有效的实验室规章程序谨慎处理. 请清洗并吹干双手 所选择的保护手套必须符合EU的89/686/EEC规定和从它衍生出来的EN 376标准。 完全接触 物料: 丁腈橡胶 最小的层厚度 0.11 mm 溶剂渗透时间: 480 min 测试过的物质Dermatril® (KCL 740 / Z677272, 规格 M) 飞溅保护 物料: 丁腈橡胶 最小的层厚度 0.11 mm 溶剂渗透时间: 480 min 测试过的物质Dermatril® (KCL 740 / Z677272, 规格 M) , 测试方法 EN374 如果以溶剂形式应用或与其它物质混合应用,或在不同于EN 374规定的条件下应用,请与EC批准的手套的供应商联系。 这个推荐只是建议性的,并且务必让熟悉我们客户计划使用的特定情况的工业卫生学专家评估确认才可. 这不应该解释为在提供对任何特定使用情况方法的批准. 身体保护 防渗透的衣服, 防护设备的类型必须根据特定工作场所中的危险物的浓度和数量来选择。 呼吸系统防护 如危险性评测显示需要使用空气净化的防毒面具,请使用全面罩式多功能微粒防毒面具N100型(US )或P3型(EN 143)防毒面具筒作为工程控制的候补。如果防毒面具是保护的唯一方式,则使用全面罩式送风防毒 面具。 呼吸器使用经过测试并通过政府标准如NIOSH(US)或CEN(EU)的呼吸器和零件。 模块9. 理化特性 9.1 基本的理化特性的信息 a) 外观与性状 形状: 粉末 b) 气味 无数据资料 c) 气味阈值 无数据资料 d) pH值 无数据资料 e) 熔点/凝固点 无数据资料 f) 沸点、初沸点和沸程 无数据资料 g) 闪点 无数据资料 h) 蒸发速率 无数据资料 i) 易燃性(固体,气体) 无数据资料 j) 高的/低的燃烧性或爆炸性限度 无数据资料 k) 蒸气压 无数据资料 l) 蒸汽密度 无数据资料 m) 密度/相对密度 无数据资料 n) 水溶性 无数据资料 o) n-辛醇/水分配系数 无数据资料 p) 自燃温度 无数据资料 q) 分解温度 无数据资料 r) 粘度 无数据资料 模块10. 稳定性和反应活性 10.1 反应性 无数据资料 10.2 稳定性 无数据资料 10.3 危险反应 无数据资料 10.4 应避免的条件 无数据资料 10.5 不相容的物质 强氧化剂 10.6 危险的分解产物 其它分解产物 - 无数据资料 模块11. 毒理学资料 11.1 毒理学影响的信息 急性毒性 半数致死剂量 (LD50) 经口 - 小鼠 - > 2,000 mg/kg 皮肤刺激或腐蚀 无数据资料 眼睛刺激或腐蚀 无数据资料 呼吸道或皮肤过敏 无数据资料 生殖细胞致突变性 细胞突变性-体外试验 - 人 - 淋巴细胞 姐妹染色单体互换 致癌性 IARC: 此产品中没有大于或等于 0。1%含量的组分被 IARC鉴别为可能的或肯定的人类致癌物。 生殖毒性 假设的人类生殖毒物 特异性靶器官系统毒性(一次接触) 无数据资料 特异性靶器官系统毒性(反复接触) 无数据资料 吸入危险 无数据资料 潜在的健康影响 吸入吸入可能有害。 可能引起呼吸道刺激。 摄入如服入是有害的。 皮肤通过皮肤吸收可能有害。 可能引起皮肤刺激。 眼睛可能引起眼睛刺激。 接触后的征兆和症状 恶心, 呕吐, 虚弱, 头晕, 头痛, 出汗 附加说明 化学物质毒性作用登记: MF8407000 模块12. 生态学资料 12.1 生态毒性 无数据资料 12.2 持久性和降解性 无数据资料 12.3 潜在的生物累积性 无数据资料 12.4 土壤中的迁移性 无数据资料 12.5 PBT 和 vPvB的结果评价 无数据资料 12.6 其它不良影响 无数据资料 模块13. 废弃处置 13.1 废物处理方法 产品 将剩余的和不可回收的溶液交给有许可证的公司处理。 与易燃溶剂相溶或者相混合,在备有燃烧后处理和洗刷作用的化学焚化炉中燃烧 受污染的容器和包装 按未用产品处置。 模块14. 运输信息 14.1 联合国危险货物编号 欧洲陆运危规: -国际海运危规: -国际空运危规: - 14.2 联合国运输名称 欧洲陆运危规: 非危险货物 国际海运危规: 非危险货物 国际空运危规: 非危险货物 14.3 运输危险类别 欧洲陆运危规: -国际海运危规: -国际空运危规: - 14.4 包裹组 欧洲陆运危规: -国际海运危规: -国际空运危规: - 14.5 环境危险 欧洲陆运危规: 否国际海运危规国际空运危规: 否 海洋污染物(是/否): 否 14.6 对使用者的特别提醒 无数据资料 模块16. 其他信息 进一步信息 上述信息视为正确,但不包含所有的信息,仅作为指引使用。本文件中的信息是基于我们目前所知,就正 确的安全提示来说适用于本品。该信息不代表对此产品性质的保证。 参见发票或包装条的反面。 模块 15 - 法规信息 N/A |
| 符号 |
GHS08 |
|---|---|
| 信号词 | Danger |
| 危害声明 | H360 |
| 警示性声明 | P201-P280-P308 + P313 |
| 个人防护装备 | Eyeshields;full-face particle respirator type N100 (US);Gloves;respirator cartridge type N100 (US);type P1 (EN143) respirator filter;type P3 (EN 143) respirator cartridges |
| 危害码 (欧洲) | T:Toxic |
| 风险声明 (欧洲) | R46;R60;R61 |
| 安全声明 (欧洲) | S53-S36/37/39-S45 |
| 危险品运输编码 | NONH for all modes of transport |
| WGK德国 | 3 |
| RTECS号 | MF8407000 |
| 海关编码 | 2933990090 |

搜索







