左卡巴司丁
组胺H1受体拮抗剂,选择性高、活性强。用于过敏性鼻炎、过敏性结膜炎。
产品名称
-
中文名左卡巴司丁
-
英文名levocabastine
-
中文别名佐卡司汀 | [3S-[1(CIS),3Α,4Β]]-1-[4-氰基-4-(4-氟苯基)环己基]-3-甲基-4-苯基-4-哌啶基羧酸
-
英文别名
Levocabastin Livostin Levocabastina [Spanish] Levocabastinum levocabastine Levocabastina Livostin (TN) levocobastine Levocabastinum [Latin] Levocabastine [INN:BAN] UNII-H68BP06S81 -
常用名左卡巴司丁
-
C A S号79516-68-0
物理性质
-
密度1.23 g/cm3
-
沸点589.9ºC at 760 mmHg
-
熔点N/A
-
化学式C26H29FN2O2
-
结构式
1、 摩尔折射率:117.76
2、 摩尔体积(cm3/mol):341.4
3、 等张比容(90.2K):933.1
4、 表面张力(dyne/cm):55.8
5、 极化率(10-24cm3):46.68
-
闪点310.5ºC
-
分子量420.51900
-
精确质量420.22100
-
P S A64.33000
-
外观形状
-
储存条件
-
稳定性
-
水溶解性
-
形态
-
H L B值
-
粘度
-
PH值
作用/用途
组胺H1受体拮抗剂,选择性高、活性强。用于过敏性鼻炎、过敏性结膜炎。
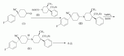
制备方法
4-氰基-4-(4-氟苯基)环己酮和3-甲基-4-苯基-1-乙氧羰基-4-哌啶羧酸反应,得到的化合物用氢硼化钠还原,再水解得到左卡巴斯汀。
安全提醒
MSDS
原料简介
应用范围
毒性和生态
安全信息
是否危险品
危险性
危险类别码
危险等级
触发危险方式
安全技术说明书
环境影响程度
包装与储运
相关供应商

搜索







