头孢甲肟
【用途一】
头孢菌素类广谱抗生素,对革兰阴性菌活性强,对β-内酰胺酶很稳定,须注射给药。临床用于敏感菌所致呼吸道感染、泌尿道感染、女性生殖器官感染、胆道感染、腹膜炎、外科、妇科和五官科疾病感染等。
头孢菌素类广谱抗生素,对革兰阴性菌活性强,对β-内酰胺酶很稳定,须注射给药。临床用于敏感菌所致呼吸道感染、泌尿道感染、女性生殖器官感染、胆道感染、腹膜炎、外科、妇科和五官科疾病感染等。
产品名称
-
中文名头孢甲肟
-
英文名Cefmenoxime
-
中文别名(6R,7R)-7-[2-(2-氨基-4-噻唑基)-2-(甲氧亚氨基)乙酰氨基]-3-[[(1-甲基-1H-四唑-5-基)-硫]甲基]-8-氧代-5-硫杂-1-氮杂双环[4.2.0]辛-2-烯-2-甲酸 | [6R-[6Α,7Β(Z)]]-7-[[2-氨基-4-噻唑基)(甲氧亚氨基)乙酰基]氨基]-3-[[(1-甲基-1H-四唑-5一基)硫]甲基]-8-氧代-5-硫杂-1-氮杂二环[4.2.0]-2-辛烯-2-羧酸 | 头孢噻肟唑
-
英文别名
Cefmenoxime 5-Thia-1-azabicyclo[4.2.0]oct-2-ene-2-carboxylic acid,7-[[(2Z)-(2-amino-4-thiazolyl)(methoxyimino)acetyl]amino]-3-[[(1-methyl-1H-tetrazol-5-yl)thio]methyl]-8-oxo-,(6R,7R) (6R,7R)-7-[[(Z)-(2-Aminothiazol-4-yl)(methoxyimino)acetyl]amino]-3-[[(1-methyl-1H-tetrazol-5-yl)thio]methyl]-8-oxo-5-thia-1-azabicyclo[4.2.0]oct-2-ene-2-carboxylic acid SCE 1365 7-[(Z)-2-(2-aminothiazol-4-yl)-2-methoxyiminoacetamido]-3-[[1-methyl-1H-tetrazol-5-yl]thiomethyl]-3-cephem-4-carboxylic acid MFCD00864851 CMX -
常用名头孢甲肟
-
C A S号65085-01-0
物理性质
-
密度1.96 g/cm3
-
沸点N/A
-
熔点N/A
-
化学式C16H17N9O5S3
-
结构式
1、 摩尔折射率:122.09
2、 摩尔体积(cm3/mol):259.8
3、 等张比容(90.2K):8 822.2
4、 表面张力(dyne/cm):100.2
5、 极化率(10-24cm3):48.40
-
闪点N/A
-
分子量511.55800
-
精确质量511.05100
-
P S A269.65000
-
外观形状近乎于白色或近乎于黄色结晶粉末
-
储存条件
-
稳定性
-
水溶解性
-
形态
-
H L B值
-
粘度
-
PH值
作用/用途
【用途一】
头孢菌素类广谱抗生素,对革兰阴性菌活性强,对β-内酰胺酶很稳定,须注射给药。临床用于敏感菌所致呼吸道感染、泌尿道感染、女性生殖器官感染、胆道感染、腹膜炎、外科、妇科和五官科疾病感染等。
头孢菌素类广谱抗生素,对革兰阴性菌活性强,对β-内酰胺酶很稳定,须注射给药。临床用于敏感菌所致呼吸道感染、泌尿道感染、女性生殖器官感染、胆道感染、腹膜炎、外科、妇科和五官科疾病感染等。
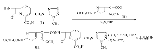
制备方法
方法1:以头孢噻肟为原料。头孢噻肟的三氟乙酸盐溶于272rng 1-甲基-5-巯基。1H-四唑、555mg碳酸氢钠、68mg三乙基苯基溴化铵和10ml水所成的溶液中,在氮气气氛中,于60℃下反应6h。冷却,并通过装有Amberlite XAD-2的柱子,先用水,然后用2.5%的乙醇展开,即得头孢甲肟的钠盐,熔点174--175℃(分解)。
方法2:化合物(I)和三乙胺溶于50%四氢呋喃水溶液,在冰浴冷却下,滴加化合物(Ⅱ)的四氢呋喃溶液(制法参见头孢噻肟钠),加毕再在室温下搅拌1h。加入水和乙酸乙酯,水层用磷酸调至Ph=2.0。摇晃后分出有机层,水层用乙酸乙酯提取。有机层合并,常规处理后,得化合物(Ⅲ)。
将化合物(Ⅲ)溶于二甲基乙酰胺(肼舱),加入硫脲,在室温下搅拌15h。倾入冰水,用碳酸氢钠调至Ph=3.5。过滤收集析出的固体,溶于5%碳酸氢钠水溶液,用Amberlite XAD-2进行层析,用水再用2%乙醇水溶液洗脱,冻干后得头孢甲肟钠。
安全提醒
MSDS
原料简介
应用范围
毒性和生态
安全信息
| 危害码 (欧洲) | Xi |
|---|---|
| 风险声明 (欧洲) | R41:Risk of serious damage to eyes. |
| 安全声明 (欧洲) | S26-S39 |
是否危险品
危险性
危险类别码
危险等级
触发危险方式
安全技术说明书
环境影响程度
包装与储运
相关供应商

搜索







