头孢拉宗
【用途1】
用于大肠杆菌、沙雷菌属、普通及奇异变形菌、流感嗜血菌、肺炎球菌等敏感菌引起的败血病、慢性支气管炎、肺炎、肺化脓性疾病、心内膜炎、胆囊炎、腹膜炎、膀胱炎等。
用于大肠杆菌、沙雷菌属、普通及奇异变形菌、流感嗜血菌、肺炎球菌等敏感菌引起的败血病、慢性支气管炎、肺炎、肺化脓性疾病、心内膜炎、胆囊炎、腹膜炎、膀胱炎等。
产品名称
-
中文名头孢拉宗
-
英文名Cefbuperazone
-
中文别名(6R,7S)-7-((2R,3S)-2-(4-乙基-2,3-二氧代-1-哌嗪甲酰氨基)-3-羟基丁酰氨基)-7-甲氧基-3-(((1-甲基-1H-四唑-5-基)硫)甲基)-8-氧代-5-硫杂-1-氮杂双环[4.2.0]辛-2-烯-2-羧酸 | 头孢布宗
-
英文别名
Tomiporan Keiperazon (6R,7S)-7-[(2R,3S)-2-(4-Ethyl-2,3-dioxo-1-piperazinecarboxamido)-3-hydroxybutyramido]-7-methoxy-3-[[(1-methyl-1H-tetrazol-5-yl)thio]methyl]-8-oxo-5-thia-1-azabicyclo[4.2.0]oct-2-ene-2-carboxylic Acid Cefbuperazone (6R,7S)-7-({N-[(4-ethyl-2,3-dioxopiperazin-1-yl)carbonyl]-D-threonyl}amino)-7-methoxy-3-{[(1-methyl-1H-tetrazol-5-yl)sulfanyl]methyl}-8-oxo-5-thia-1-azabicyclo[4.2.0]oct-2-ene-2-carboxylic acid 7b-[D-a-(4-Ethyl-2,3-dioxo-1-piperazinecarboxamido)-b-(S)-hydroxybutanamido]-7a-methoxy-3-[5-(1-methyl-1,2,3,4-tetrazolyl)thiomethyl]-D3-cephem-4-carboxylic Acid xo-1-piperazinyl)carbonyl)amino)-3-hydroxy-1-oxobutyl)amino)-7-methoxy-3-(((1 5-Thia-1-azabicyclo[4.2.0]oct-2-ene-2-carboxylic acid,7-[[(2R,3S)-2-[[(4-ethyl-2,3-dioxo-1-piperazinyl)carbonyl]amino]-3-hydroxy-1-oxobutyl]amino]-7-methoxy-3-[[(1-methyl-1H-tetrazol-5-yl)thio]methyl]-8-oxo-,(6R,7S) 5-Thia-1-azabicyclo[4.2.0]oct-2-ene-2-carboxylic acid, 7-[[(2R,3S)-2-[[(4-ethyl-2,3-dioxo-1-piperazinyl)carbonyl]amino]-3-hydroxy-1-oxobutyl]amino]-7-methoxy-3-[[(1-methyl-1H-tetrazol-5-yl)thio]methyl]-8-oxo-, (6R,7S)- (6R,7S)-7-((2R,3S)-2-(4-Ethyl-2,3-dioxo-1-piperazinecarboxamido)-3-hydroxybutyramido)-7-methoxy-3-(((1-methyl-1H-tetrazol-5-yl)thio)methyl)-8-oxo-5-thia-1-azabicyclo[4.2.0]oct-2-ene-2-carboxylic acid (6R,7S)-7-({N-[(4-Ethyl-2,3-dioxo-1-piperazinyl)carbonyl]-D-threonyl}amino)-7-methoxy-3-{[(1-methyl-1H-tetrazol-5-yl)sulfanyl]methyl}-8-oxo-5-thia-1-azabicyclo[4.2.0]oct-2-ene-2-carboxylic acid 5-thia-1-azabicyclo(4.2.0)oct-2-ene-2-carboxylicacid,7-((2-(((4-ethyl-2,3-dio -
常用名头孢拉宗
-
C A S号76610-84-9
物理性质
-
密度1.8±0.1 g/cm3
-
沸点N/A
-
熔点118-120ºC
-
化学式C22H29N9O9S2
-
结构式
1、 摩尔折射率:148.45
2、 摩尔体积(cm3/mol):354.2
3、 等张比容(90.2K):1068.2
4、 表面张力(dyne/cm):82.7
5、 极化率(10-24cm3):58.85
-
闪点N/A
-
分子量627.651
-
精确质量627.152954
-
P S A280.09000
-
外观形状固体
-
储存条件
-
稳定性
-
水溶解性
-
形态
-
H L B值
-
粘度
-
PH值
作用/用途
【用途1】
用于大肠杆菌、沙雷菌属、普通及奇异变形菌、流感嗜血菌、肺炎球菌等敏感菌引起的败血病、慢性支气管炎、肺炎、肺化脓性疾病、心内膜炎、胆囊炎、腹膜炎、膀胱炎等。
用于大肠杆菌、沙雷菌属、普通及奇异变形菌、流感嗜血菌、肺炎球菌等敏感菌引起的败血病、慢性支气管炎、肺炎、肺化脓性疾病、心内膜炎、胆囊炎、腹膜炎、膀胱炎等。
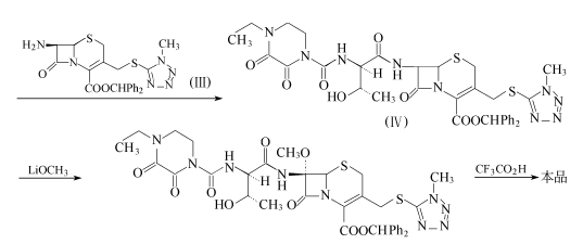
制备方法
4-乙基-2,3-二氧-1-哌嗪羧酰氯(I)和D-苏氨酸反应,得到化合物(Ⅱ)。然后和化合物(Ⅲ)反应,得化合物(Ⅳ)。再用甲氧基锂引入7位甲氧基后,用三氟乙酸水解脱去二苯甲基,即得头孢拉宗。
安全提醒
MSDS
原料简介
应用范围
毒性和生态
安全信息
是否危险品
危险性
危险类别码
危险等级
触发危险方式
安全技术说明书
环境影响程度
包装与储运
相关供应商

搜索







