头孢匹胺
用于葡萄球菌属、消化球菌属、肠杆菌属、变形杆菌属、流感杆菌、链球菌属等敏感菌引起的败血症、肺炎肺化脓症、前列腺炎、急慢性支气管炎、扁桃体炎、胆囊炎、胆道炎、子宫内感染等。
-
中文名头孢匹胺
-
英文名Cefpiramide acid
-
中文别名7-[2-[(4-羟基-6-甲基吡啶-3-羰基)-氨基]-2-(4-羟基苯基)-乙酰氨基]-3-(1-甲基-1H-四唑-5-硫代甲基)-8-氧代-5-硫杂-1-氮杂双环[4.2.0]辛-2-烯-2-羧酸 | 头孢匹胺酸
-
英文别名
CEFPIRAMIDE Cefpiramide acid -
常用名头孢匹胺
-
C A S号70797-11-4
-
密度1.75 g/cm3
-
沸点N/A
-
熔点213-215° (dec)
-
化学式C25H24N8O7S2
-
结构式
-
闪点N/A
-
分子量612.63700
-
精确质量612.12100
-
P S A263.36000
-
外观形状白色或灰白色结晶粉末
-
储存条件
-
稳定性
-
水溶解性
-
形态
-
H L B值
-
粘度
-
PH值
用于葡萄球菌属、消化球菌属、肠杆菌属、变形杆菌属、流感杆菌、链球菌属等敏感菌引起的败血症、肺炎肺化脓症、前列腺炎、急慢性支气管炎、扁桃体炎、胆囊炎、胆道炎、子宫内感染等。
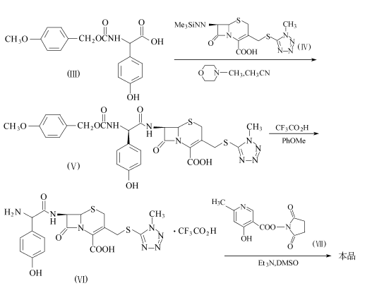
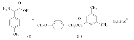
D-(-)-对羟基苯基甘氨酸(I)(4.175g,25mmo1)和三乙胺(3.79g,37.5mmo1)溶于13ml水,加入2-(4-甲氧基苄氧基羰基硫)-4,6-二甲基吡啶(Ⅱ)(8.36g,27.5mmo1)在17ml二氧六环的溶液。然后在室温下搅拌2h。加入33ml水,用45ml乙酸乙酯提取,以除去未反应的碳酸酯(Ⅱ)。水层冷却至0~5℃,用6mol/L,盐酸调至Ph=2,用45ml乙酸乙酯提取1次,再用20ml乙酸乙酯提取2次。提取液合并,依次用25ml 5%盐酸水溶液洗2次,40ml饱和氯化钠水溶液洗3次,用无水硫酸镁干燥。浓缩至1/3体积,冷至10℃以下,滤集结晶,用12ml乙酸乙酯洗,真空干燥,得7.47g化合物(Ⅲ),收率90.2%,熔点136~137℃。
化合物(Ⅲ)(0.2mo1)和N-甲基吗啉(0.2mo1)溶于420ml乙腈中,搅拌下冷却至-20~-15℃。加入氯甲酸异丁酯(0.2mo1),在-20~-15℃下维持10min。加入化合物(Ⅳ)(从0.42molN,O-双(三甲基硅基)乙酰胺和0.2mol化合物(Ⅳ)的游离胺在350ml乙腈中反应制得),在-15℃下搅拌2h。缓慢升至5℃,并在5℃下再搅拌1h。加入25ml甲醇,过滤除去未反应的化合物(Ⅳ)的游离胺。滤液真空浓缩至干,剩余物溶于10%碳酸氢钾水溶液。用乙酸乙酯洗2次,然后加入新鲜的乙酸乙酯,在0~5℃和搅拌下用2mol/L盐酸调至Ph=2。分出有机层,水层用乙酸乙酯提取2次。有机层合并,用氯化钠水溶液洗,无水硫酸镁干燥。减压蒸出溶剂,剩余物用二氯甲烷处理。过滤收集沉淀,用二氯甲烷洗,真空干燥,得到化合物(V),熔点127~134℃(分解)。
10mmol化合物(V)在30ml三氟乙酸的6ml苯甲醚中,在室温搅拌20min。在搅拌下,将该溶液加到400ml乙醚中。过滤收集沉淀,用乙醚洗,真空干燥,得化合物(Ⅵ),不用提纯,直接用于下步反应。
30mmol三乙胺和10mmol化合物(Ⅶ)溶于30~50ml二甲亚砜,在搅拌下加入10mmol化合物(Ⅵ),然后在室温下搅拌30min。过滤除去痕量的不溶物,在搅拌下将滤液加到600~1000ml丙酮中。过滤收集沉淀,用丙酮洗,真空干燥。然后将其溶人40~80ml水和40~80ml甲醇(或乙腈),如有不溶物,过滤除去。在5~15℃下,用2mol/L盐酸调至Ph=2。滤集沉淀,用水-甲醇(或乙腈)洗,真空干燥。最后用制备液相色谱提纯,得到头孢匹胺。
| 危险品运输编码 | NONH for all modes of transport |
|---|---|
| 海关编码 | 3003201900 |

搜索







