咪达普利
【用途一】
血管紧张素转化酶抑制剂,前体药物,用于高血压。
血管紧张素转化酶抑制剂,前体药物,用于高血压。
产品名称
-
中文名咪达普利
-
英文名Imidapril
-
中文别名(-)-(4S)-3-[(2S)-2[(1S)-1-乙氧羰基-3-苯丙基]氨基丙酰基]-1-甲基-2-氧代咪唑啉-4-羧酸 | 咪唑普利 | (4S)-3-[(2S)-2-[N-[(1S)-1-(乙氧羰基)-3-苯丙基]氨基]丙酰基]-1-甲基-2-氧代咪唑烷-4-羧酸
-
英文别名
imidapril (4S)-3-<(2S)-2-<N-<(1S)-1-(Ethoxycarbonyl)-3-phenylpropyl>amino>propionyl>-1-methyl-2-oxoimidazolidine-4-carboxylic Acid Hipertene (TN) Imidapril [BAN:INN] Imidaprilum (S)-3-(N-((S)-1-Ethoxycarbonyl-3-phenylpropyl)-L-alanyl)-1-methyl-2-oxoimidazoline-4-carboxylic acid Imidapril HCl (4S)-1-methyl-3-{(2S)-2-[N-(1S)-1-ethoxycarbonyl-3-phenylpropyl)amino]propionyl}-2-oxoimidazolidine-4-carboxylic acid Imidapril (INN) Imidaprilum [INN-Latin] MFCD00870777 -
常用名咪达普利
-
C A S号89371-37-9
物理性质
-
密度1.266 g/cm3
-
沸点577ºC at 760 mmHg
-
熔点195-197°C
-
化学式C20H27N3O6
-
结构式
1、 摩尔折射率:103.29
2、 摩尔体积(cm3/mol):323.0
3、 等张比容(90.2K):862.7
4、 表面张力(dyne/cm):50.8
5、 极化率(10-24cm3):40.94
-
闪点302.8ºC
-
分子量405.44500
-
精确质量405.19000
-
P S A116.25000
-
外观形状白色固体
-
储存条件-20°C Freezer
-
稳定性
-
水溶解性
-
形态
-
H L B值
-
粘度
-
PH值
作用/用途
【用途一】
血管紧张素转化酶抑制剂,前体药物,用于高血压。
血管紧张素转化酶抑制剂,前体药物,用于高血压。
制备方法
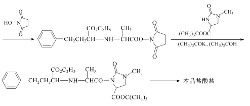
在碳酸钾存在下,用α-溴代苯丁酸乙酯对丙氨酸苄酯进行N上的烷基化反应,再氢解脱去苄基,生成的游离酸用N-羟基琥珀酰亚胺酯化后,与咪唑啉酯在叔丁醇钾的叔丁醇溶液中反应,产物经水解,酸化得到盐酸咪达普利。
另一制备方法为先用叔丁醇对3-苄氧羰基-2-氧咪唑啉-4-羧酸进行酯化,再用碘甲烷进行N上甲基化,氢解脱去3位上的苄氧羰基,使咪唑啉环上3位上的N游离,可以用α-对甲苯磺酰基丙酰氯对其进行酰化,酰化产物和α-氨基苯丁酸乙酯反应,得到咪达普利的叔丁酯产物,再经水解,酸化得盐酸咪达普利。
安全提醒
MSDS
原料简介
应用范围
毒性和生态
安全信息
| 风险声明 (欧洲) | R22:Harmful if swallowed. R34:Causes burns. |
|---|---|
| 安全声明 (欧洲) | S26-S36/37/39 |
| 危险品运输编码 | 1759 |
| 包装等级 | II |
| 危险类别 | 8 |
是否危险品
危险性
危险类别码
危险等级
触发危险方式
安全技术说明书
环境影响程度
包装与储运
相关供应商

搜索









