地拉普利
-
中文名地拉普利
-
英文名delapril
-
中文别名
-
英文别名
Delaket (TN) Alindapril Glycine,N-(2,3-dihydro-1H-inden-2-yl)-N-(N-(1-(ethoxycarbonyl)-3-phenylpropyl)-L-alanyl)-,(S) Glycine,N-((1S)-1-(ethoxycarbonyl)-3-phenylpropyl)-L-alanyl-N-(2,3-dihydro-1H-inden-2-yl) DELAPRIL Delaprilum [Latin] Delapril [INN] Delaprilum -
常用名地拉普利
-
C A S号83435-66-9
-
密度1.22g/cm3
-
沸点659.7ºC at 760 mmHg
-
熔点N/A
-
化学式C26H32N2O5
-
结构式
1、 摩尔折射率:125.33
2、 摩尔体积(cm3/mol):368.6
3、 等张比容(90.2K):1008.5
4、 表面张力(dyne/cm):56.0
5、 极化率(10-24cm3):49.68
-
闪点352.7ºC
-
分子量452.54300
-
精确质量452.23100
-
P S A95.94000
-
外观形状
-
储存条件
-
稳定性
-
水溶解性
-
形态
-
H L B值
-
粘度
-
PH值
以2-茚满酮为原料,通过5步反应得到。
2-茚满酮(40g)、78g甘氨酸叔丁酯.H3P03络合物(其制备参见Anderson G W,et a1.JACS,1960,82:3359)、150ml水和300ml甲醇混合,在水浴和搅拌下,于15min内分批加入23g NaBH3CN。加毕再搅拌4h。加人400ml 20%磷酸和200ml水稀释后,用500ml氯仿提取。提取液用无水硫酸钠干燥,减压浓缩。剩余的油状物用乙醇-水结晶,得47%无色棱状结晶的化合物(Ⅰ),收率63%,熔点54-55℃。
21.8g N -苄氧羰基-L-丙氨酸和12.8ml三乙胺溶于200ml四氢呋喃,在-15℃和搅拌下,滴入8.5g氯甲酸乙酯。加毕,再搅拌15min。再在-10℃以下,滴加22g化合物(I)在100ml氯仿。加毕,在室温下继续搅拌1h。将反应液倾入500rnl水。分出的有机层减压浓缩,剩余液溶于300ml乙酸乙酯,依次用lmol/L氢氧化钠(2×50m1)、50ml水、20%磷酸(2×50m1)和50ml水洗,无水硫酸镁干燥。减压浓缩得35g无色油状的化合物(Ⅱ),收率87%。
35g化合物(Ⅱ)和7g草酸溶于300ml甲醇,在10%钯-炭(50%湿体积,8.5g)催化下常压还原。滤去催化剂,滤液减压浓缩后加入500ml乙醚。过滤收集析出的无色结晶,得21.8g化合物(Ⅲ),收率68%,熔点138~141℃, [α]D22+20.4°(C=1,甲醇)。
21g化合物(Ⅲ)、4.1g乙酸钠、10ml乙酸、25g 2-氧-4-苯基丁酸乙酯、25g3A分子筛和200ml乙醇混合,在30g Raney Ni的催化下,常压加氢。当氢吸收停止后。分出上层溶液,催化剂用乙醇洗。洗液和上层溶液合并,减压浓缩。剩余物溶于500ml乙酸乙酯,用碳酸氢钠溶液和水洗,无水硫酸镁干燥。减压浓缩得淡黄色液体,用硅胶层析,丙酮-苯(1:9)洗脱。收集洗脱出的第二组分,得16.5g化合物(Ⅳ),收率61%,[α]D22-12.6°(C=1,甲醇)。
5g化合物(IV)溶于5ml乙酸,加入20ml 25%溴化氢-乙酸溶液,搅拌10min后,加入300ml乙醚稀释。过滤收集析出的无色结晶,得5g氢溴酸地拉普利,收率95%,熔点180-183℃,[α]D22+15.6°(C=1.4,甲醇)。
在搅拌下,将16.2g氢溴酸地拉普利加入500ml乙酸乙酯、33g碳酸氢钠和500ml水所成的溶液。用1mol/L盐酸酸化至Ph=4后,分出乙酸乙酯层,用水洗,无水硫酸镁干燥。然后加入20ml 7mol/L氯化氢-乙酸乙酯溶液,所成溶液减压浓缩。剩余物加人250ml乙醚和250ml石油醚使产生盐酸地拉普利沉淀(11g,收率74%),用丙酮-lmol/L盐酸重结晶,得无色片状结晶的盐酸地拉普利,熔点166-170℃(分解),[α]D22+18.5°(C=1,甲醇)。
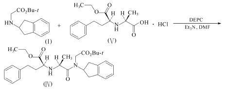
上面得到的化合物(I)也可以直接和化合物(V)进行缩合,得到化合物(Ⅳ),然后再水解,成盐,得盐酸地拉普利。化合物(V)的制备可参照其它血管紧张素转化酶抑制剂的制法。化合物(I)和化合物(V)的缩合进行如下。
0.2g化合物(V)和0.22g化合物(I)溶于。10ml二甲基甲酰胺,在搅拌下滴加0.2gDEPC在5ml二甲基甲酰胺中的溶液。加毕,再加入0.15g三乙胺在1ml二甲基甲酰胺中的溶液,搅拌1h。用100ml水稀释后,用300ml乙酸乙酯提取。提取液依次用10%磷酸(2×50m1)、20ml 1mol/L氢氧化钠和水洗,无水硫酸镁干燥。减压浓缩后的油状剩余物用硅胶层析,己烷-乙酸乙酯(2:1~1:1)洗脱。得0.22g无色油状的化合物(Ⅳ),收率68%,[α]D22-12.5°(c=0.9,甲醇)。

搜索







