米他氯铵
【用途一】
用于石油、化工、轻纺、机械、冶金和电力企业的水循环系统的杀菌灭藻
用于石油、化工、轻纺、机械、冶金和电力企业的水循环系统的杀菌灭藻
【用途二】
本品是JN-杀菌灭藻剂的主要成分。与非离子、两性离子和其他阳离子活性物配伍性好。热稳定性好。
【用途三】
可以任何比例溶于水和乙醇中,可与阳离子、非离子表面活性剂或染料同浴使用,忌与阴离子表面活性剂或助剂配用,对弱酸碱稳定,不宜在100°C以上长时间加热。本品接触皮肤时有轻微脱脂作用,但无害;常温时有结晶析出或成胶状物,但不影响质量,温热搅匀即溶解。
本品是JN-杀菌灭藻剂的主要成分。与非离子、两性离子和其他阳离子活性物配伍性好。热稳定性好。
【用途三】
可以任何比例溶于水和乙醇中,可与阳离子、非离子表面活性剂或染料同浴使用,忌与阴离子表面活性剂或助剂配用,对弱酸碱稳定,不宜在100°C以上长时间加热。本品接触皮肤时有轻微脱脂作用,但无害;常温时有结晶析出或成胶状物,但不影响质量,温热搅匀即溶解。
产品名称
-
中文名十四烷基二甲基苄基氯化铵
-
英文名N-Benzyl-N,N-dimethyltetradecan-1-aminium chloride
-
中文别名FN7326杀菌灭藻剂 | N,N-二甲基-N-十四烷基苯甲铵氯化物水合物 | 杀菌灭藻剂1427 | 苄基二甲基十四烷基氯化铵 | 氯化二甲基十四烷基苄基铵 | 米他氯铵
-
英文别名
Benzenemethanaminium, N,N-dimethyl-N-tetradecyl-, chloride (1:1) Tetradecyldimethylbenzylammonium Chloride Hydrate EINECS 205-352-0 N-Benzyl-N,N-dimethyl-1-tetradecanaminium chloride miristalkonium chloride Benzyldimethyltetradecylammonium Chloride Hydrate Benzyltetradecyldimethylammonium chloride Tetradecyldimethylbenzylammonium Chloride MFCD00011771 n-benzyl-n,n-dimethyltetradecan-1-aminium chloride Benzyldimethyltetradecylammonium Chloride -
常用名米他氯铵
-
C A S号139-08-2
物理性质
-
密度N/A
-
沸点N/A
-
熔点56-62 °C
-
化学式C23H42ClN
-
结构式
-
闪点N/A
-
分子量368.039
-
精确质量367.300568
-
P S A
-
外观形状白色粉末
-
储存条件
本品应密封保存。
-
稳定性
-
水溶解性
-
形态白色结晶。有吸湿性。
-
H L B值
-
粘度
-
PH值
作用/用途
【用途一】
用于石油、化工、轻纺、机械、冶金和电力企业的水循环系统的杀菌灭藻
用于石油、化工、轻纺、机械、冶金和电力企业的水循环系统的杀菌灭藻
【用途二】
本品是JN-杀菌灭藻剂的主要成分。与非离子、两性离子和其他阳离子活性物配伍性好。热稳定性好。
【用途三】
可以任何比例溶于水和乙醇中,可与阳离子、非离子表面活性剂或染料同浴使用,忌与阴离子表面活性剂或助剂配用,对弱酸碱稳定,不宜在100°C以上长时间加热。本品接触皮肤时有轻微脱脂作用,但无害;常温时有结晶析出或成胶状物,但不影响质量,温热搅匀即溶解。
本品是JN-杀菌灭藻剂的主要成分。与非离子、两性离子和其他阳离子活性物配伍性好。热稳定性好。
【用途三】
可以任何比例溶于水和乙醇中,可与阳离子、非离子表面活性剂或染料同浴使用,忌与阴离子表面活性剂或助剂配用,对弱酸碱稳定,不宜在100°C以上长时间加热。本品接触皮肤时有轻微脱脂作用,但无害;常温时有结晶析出或成胶状物,但不影响质量,温热搅匀即溶解。
制备方法
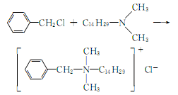
1.由十四烷基二甲基叔胺与氯化苄反应制得。以十四烷基二甲基胺为原料,与氯化苄反应,进行季铵化
反应即可制得本品,但由于国内十四醇原料中常常含有一定数量的十二醇,因此采用十四醇与二甲胺的催化氨化新工艺制得的十四烷基二甲基叔胺中也常含有一定量的十二烷基二甲基叔胺,故在制得的本品中也常含有一定量的十二烷基二甲基苯甲基氯化铵。取十四烷基二甲基叔胺241份,在不超过100~110℃的温度下投入氯化苄126.5份,在120℃加热2h,得到淡黄色黏稠液体,冷却成固体,收率90%以上。反应式如下:
安全提醒
MSDS
|
模块1. 化学品 1.1 产品标识符 : 苄基二甲基十四烷基氯化铵 产品名称 1.2 鉴别的其他方法 无数据资料
1.3 有关的确定了的物质或混合物的用途和建议不适合的用途
仅用于研发。不作为药品、家庭或其它用途。 模块2. 危险性概述 2.1 GHS-分类 急性毒性, 经口 (类别 4) 急性毒性, 经皮 (类别 4) 皮肤腐蚀 (类别 1B) 严重眼睛损伤 (类别 1) 急性水生毒性 (类别 1) 2.2 GHS 标记要素,包括预防性的陈述 象形图 警示词危险 危险申明 H302吞咽有害。 H312皮肤接触有害。 H314造成严重皮肤灼伤和眼损伤。 H400对水生生物毒性极大。 警告申明 预防措施 P260不要吸入粉尘或烟雾。 P264操作后彻底清洁皮肤。 P270使用本产品时不要进食、饮水或吸烟。 P273避免释放到环境中。 P280戴防护手套/穿防护服/戴护目镜/戴面罩. 事故响应 P301 + P312如果吞咽并觉不适: 立即呼叫解毒中心或就医。 P301 + P330 + P331如果吞咽:漱口,不要催吐。 P303 + P361 + P353如果皮肤(或头发)接触:立即除去/脱掉所有沾污的衣物,用水清洗皮肤/淋 浴。 P304 + P340如吸入: 将患者移到新鲜空气处休息,并保持呼吸舒畅的姿势。 P305 + P351 + P338如与眼睛接触,用水缓慢温和地冲洗几分钟。如戴隐形眼镜并可方便地取 出,取出隐形眼镜,然后继续冲洗. P310立即呼叫中毒控制中心或医生. P322具体处置(见本标签上提供的急救指导)。 P363沾污的衣服清洗后方可再用。 P391收集溢出物。 安全储存 P405存放处须加锁。 废弃处置 P501将内容物/ 容器处理到得到批准的废物处理厂。 2.3 其它危害物 - 无 模块3. 成分/组成信息 3.1 物 质 : C23H42ClN 分子式 : 368.04 g/mol 分子量 组分浓度或浓度范围 Miristalkonium chloride <=100% 化学文摘登记号(CAS139-08-2 No.)205-352-0 EC-编号612-140-00-5 索引编号 模块4. 急救措施 4.1 必要的急救措施描述 一般的建议 请教医生。 向到现场的医生出示此安全技术说明书。 吸入 如果吸入,请将患者移到新鲜空气处。 如呼吸停止,进行人工呼吸。 请教医生。 皮肤接触 立即脱掉被污染的衣服和鞋。 用肥皂和大量的水冲洗。 请教医生。 眼睛接触 用大量水彻底冲洗至少15分钟并请教医生。 食入 禁止催吐。 切勿给失去知觉者通过口喂任何东西。 用水漱口。 请教医生。 4.2 主要症状和影响,急性和迟发效应 灼伤感:, 咳嗽, 喘息, 喉炎, 呼吸短促, 头痛, 恶心, 呕吐, 中枢神经系统抑制, 麻醉 4.3 及时的医疗处理和所需的特殊处理的说明和指示 无数据资料 模块5. 消防措施 5.1 灭火介质 灭火方法及灭火剂 用水雾,抗乙醇泡沫,干粉或二氧化碳灭火。 5.2 源于此物质或混合物的特别的危害 碳氧化物, 氮氧化物, 氯化氢气体 5.3 给消防员的建议 如必要的话,戴自给式呼吸器去救火。 5.4 进一步信息 无数据资料 模块6. 泄露应急处理 6.1 作业人员防护措施、防护装备和应急处置程序 使用个人防护用品。 避免粉尘生成。 避免吸入蒸气、烟雾或气体。 保证充分的通风。 人员疏散到安全区域。 避免吸入粉尘。 6.2 环境保护措施 如能确保安全,可采取措施防止进一步的泄漏或溢出。 不要让产品进入下水道。 一定要避免排放到周围环境中。 6.3 泄漏化学品的收容、清除方法及所使用的处置材料 收集和处置时不要产生粉尘。 扫掉和铲掉。 放入合适的封闭的容器中待处理。 6.4 参考其他部分 丢弃处理请参阅第13节。 模块7. 操作处置与储存 7.1 安全操作的注意事项 避免接触皮肤和眼睛。 避免形成粉尘和气溶胶。 在有粉尘生成的地方,提供合适的排风设备。一般性的防火保护措施。 7.2 安全储存的条件,包括任何不兼容性 贮存在阴凉处。 使容器保持密闭,储存在干燥通风处。 7.3 特定用途 无数据资料 模块8. 接触控制和个体防护 8.1 容许浓度 最高容许浓度 没有已知的国家规定的暴露极限。 8.2 暴露控制 适当的技术控制 根据良好的工业卫生和安全规范进行操作。 休息前和工作结束时洗手。 个体防护设备 眼/面保护 面罩與安全眼鏡请使用经官方标准如NIOSH (美国) 或 EN 166(欧盟) 检测与批准的设备防护眼部。 皮肤保护 戴手套取 手套在使用前必须受检查。 请使用合适的方法脱除手套(不要接触手套外部表面),避免任何皮肤部位接触此产品. 使用后请将被污染过的手套根据相关法律法规和有效的实验室规章程序谨慎处理. 请清洗并吹干双手 所选择的保护手套必须符合EU的89/686/EEC规定和从它衍生出来的EN 376标准。 完全接触 物料: 丁腈橡胶 最小的层厚度 0.11 mm 溶剂渗透时间: 480 min 测试过的物质Dermatril® (KCL 740 / Z677272, 规格 M) 飞溅保护 物料: 丁腈橡胶 最小的层厚度 0.11 mm 溶剂渗透时间: 480 min 测试过的物质Dermatril® (KCL 740 / Z677272, 规格 M) 测试方法 EN374 如果以溶剂形式应用或与其它物质混合应用,或在不同于EN 374规定的条件下应用,请与EC批准的手套的供应商联系。 这个推荐只是建议性的,并且务必让熟悉我们客户计划使用的特定情况的工业卫生学专家评估确认才可. 这不应该解释为在提供对任何特定使用情况方法的批准. 身体保护 全套防化学试剂工作服, 防护设备的类型必须根据特定工作场所中的危险物的浓度和数量来选择。 呼吸系统防护 如危险性评测显示需要使用空气净化的防毒面具,请使用全面罩式多功能微粒防毒面具N100型(US )或P3型(EN 143)防毒面具筒作为工程控制的候补。如果防毒面具是保护的唯一方式,则使用全面罩式送风防毒 面具。 呼吸器使用经过测试并通过政府标准如NIOSH(US)或CEN(EU)的呼吸器和零件。 模块9. 理化特性 9.1 基本的理化特性的信息 a) 外观与性状 形状: 粉末 颜色: 白色 b) 气味 无数据资料 c) 气味阈值 无数据资料 d) pH值 无数据资料 e) 熔点/凝固点 熔点/凝固点: 56 - 62 °C f) 沸点、初沸点和沸程 无数据资料 g) 闪点 无数据资料 h) 蒸发速率 无数据资料 i) 易燃性(固体,气体) 无数据资料 j) 高的/低的燃烧性或爆炸性限度 无数据资料 k) 蒸气压 无数据资料 l) 蒸汽密度 无数据资料 m) 密度/相对密度 无数据资料 n) 水溶性 无数据资料 o) n-辛醇/水分配系数 无数据资料 p) 自燃温度 无数据资料 q) 分解温度 无数据资料 r) 粘度 无数据资料 模块10. 稳定性和反应活性 10.1 反应性 无数据资料 10.2 稳定性 无数据资料 10.3 危险反应 无数据资料 10.4 应避免的条件 无数据资料 10.5 不相容的物质 强氧化剂 10.6 危险的分解产物 其它分解产物 - 无数据资料 模块11. 毒理学资料 11.1 毒理学影响的信息 急性毒性 无数据资料 半数致死剂量 (LD50) 静脉内的 - 小鼠 - 18 mg/kg 皮肤刺激或腐蚀 皮肤 - 兔子 - 眼睛刺激或腐蚀 眼睛 - 兔子 - 呼吸道或皮肤过敏 无数据资料 生殖细胞致突变性 无数据资料 致癌性 IARC: 此产品中没有大于或等于 0。1%含量的组分被 IARC鉴别为可能的或肯定的人类致癌物。 生殖毒性 无数据资料 特异性靶器官系统毒性(一次接触) 无数据资料 特异性靶器官系统毒性(反复接触) 无数据资料 吸入危险 无数据资料 潜在的健康影响 吸入吸入可能有害。 该物质对组织、粘膜和上呼吸道破坏力强 摄入误吞对人体有害。 引致灼伤。 皮肤通过皮肤吸收有害。 引起皮肤灼伤。 眼睛引起眼睛灼伤。 接触后的征兆和症状 灼伤感:, 咳嗽, 喘息, 喉炎, 呼吸短促, 头痛, 恶心, 呕吐, 中枢神经系统抑制, 麻醉 附加说明 化学物质毒性作用登记: 无数据资料 模块12. 生态学资料 12.1 生态毒性 无数据资料 12.2 持久性和降解性 无数据资料 12.3 潜在的生物累积性 无数据资料 12.4 土壤中的迁移性 无数据资料 12.5 PBT 和 vPvB的结果评价 无数据资料 12.6 其它不良影响 对水生生物毒性极大。 无数据资料 模块13. 废弃处置 13.1 废物处理方法 产品 将剩余的和不可回收的溶液交给有许可证的公司处理。 联系专业的拥有废弃物处理执照的机构来处理此物质。 与易燃溶剂相溶或者相混合,在备有燃烧后处理和洗刷作用的化学焚化炉中燃烧 受污染的容器和包装 按未用产品处置。 模块14. 运输信息 14.1 联合国危险货物编号 欧洲陆运危规: 3261国际海运危规: 3261国际空运危规: 3261 14.2 联合国运输名称 欧洲陆运危规: CORROSIVE SOLID, ACIDIC, ORGANIC, N.O.S. (Miristalkonium chloride) 国际海运危规: CORROSIVE SOLID, ACIDIC, ORGANIC, N.O.S. (Miristalkonium chloride) 国际空运危规: Corrosive solid, acidic, organic, n.o.s. (Miristalkonium chloride) 14.3 运输危险类别 欧洲陆运危规: 8国际海运危规: 8国际空运危规: 8 14.4 包裹组 欧洲陆运危规: III国际海运危规: III国际空运危规: III 14.5 环境危险 欧洲陆运危规: 是国际海运危规国际空运危规: 否 海洋污染物(是/否): 是 14.6 对使用者的特别提醒 无数据资料 模块 15 - 法规信息 N/A 模块16 - 其他信息 N/A |
原料简介
应用范围
毒性和生态
安全信息
| 符号 |
GHS05, GHS07, GHS09 |
|---|---|
| 信号词 | Danger |
| 危害声明 | H302 + H312-H314-H400 |
| 警示性声明 | P273-P280-P305 + P351 + P338-P310 |
| 危害码 (欧洲) | C:Corrosive;N:Dangerousfortheenvironment; |
| 风险声明 (欧洲) | R21/22;R34;R50 |
| 安全声明 (欧洲) | S36/37/39-S45-S61 |
| 危险品运输编码 | UN 3261 8/PG 3 |
| WGK德国 | 3 |
| RTECS号 | BO7150000 |
| 海关编码 | 2923900090 |
是否危险品
危险性
危险类别码
危险等级
触发危险方式
安全技术说明书
环境影响程度
包装与储运
相关供应商

搜索







