阿那曲唑
-
中文名阿那曲唑
-
英文名Anastrozole
-
中文别名阿拉曲唑 | 阿纳曲唑 | 四甲基-5-(1H-1,2,4-三唑-1-基甲基)-1,3-苯二乙腈 | ICI一1)1033:ADRLLIDEX | 阿那罗唑 | 阿那舒唑 | 盐酸纳美芬 | 盐酸纳美芬.盐酸钠美芬
-
英文别名
Anastrozole ICI-D-1033 ZD-1033 2,2'-5-(1H-1,2,4-triazol-1-ylmethyl)benzene-1,3-diylbis(2-methylpropanenitrile) Anastrol MFCD00866298 1,3-Benzenediacetonitrile, α,α,α',α'-tetramethyl-5-(1H-1,2,4-triazol-1-ylmethyl)- 2,2'-[5-(1H-1,2,4-Triazol-1-ylmethyl)-1,3-phenylene]bis(2-methylpropanenitrile) ICI D 1033 1,3-benzenediacetonitrile 2,2'-[5-(1H-1,2,4-triazol-1-ylméthyl)benzène-1,3-diyl]bis(2-méthylpropanenitrile) 2,2'-[5-(1H-1,2,4-Triazol-1-ylmethyl)benzol-1,3-diyl]bis(2-methylpropanonitril) ANASTRAZOLE 2,2'-(5-((1H-1,2,4-Triazol-1-yl)methyl)-1,3-phenylene)bis(2-methylpropanenitrile) 4-Triazol-1-ylmethyl)-1 Anastrolozole Anatrozole a,a,a',a'-Tetramethyl-5-(1H-,2,4-triazol-1-ylmethyl)-1,3-benzenediacetonitrile Anastrozol ARIMIDEX -
常用名阿那曲唑
-
C A S号120511-73-1
-
密度1.1±0.1 g/cm3
-
沸点469.7±55.0 °C at 760 mmHg
-
熔点81-82°C
-
化学式C17H19N5
-
结构式
1、 摩尔折射率:90.01
2、 摩尔体积(cm3/mol):270.2
3、 等张比容(90.2K):688.7
4、 表面张力(dyne/cm):42.1
5、 极化率(10-24cm3):35.68
-
闪点237.9±31.5 °C
-
分子量293.366
-
精确质量293.164032
-
P S A78.29000
-
外观形状结晶固体
-
储存条件Store at RT
-
稳定性
-
水溶解性
-
形态
-
H L B值
-
粘度
-
PH值
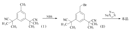
1.化合物(I)(有制备方法)经N-溴代丁二酰亚胺(NBS)溴化,生成物(II)用三唑钠处理,即得产物。
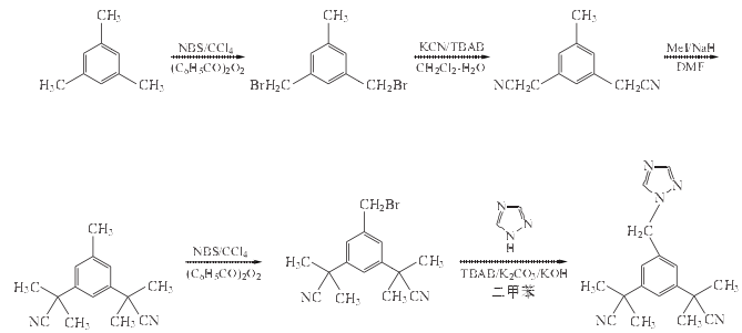
2. 3,5-二溴甲基甲苯的制备
在反应瓶中加入均三甲苯40g(0.33mol)、过氧化苯甲酰0.5g(0.0027mol)和四氯化碳1000ml,搅拌回流下分4批加入NBS118.5g(0.67mol),2h加完,继续搅拌1h.冷至室温,过滤,滤渣用四氯化碳(100ml×2)洗,滤渣为丁二酰亚胺可回收制NBS,滤液蒸除溶剂,得淡黄色液体,加入无水乙醇200ml,摇匀,室温放置过夜,析出白色结晶.过滤,干燥,得粗品,用无水乙醇重结晶得3,5-二溴甲基甲苯76g,收率80%,mp64ºC.
3. 3,5-二氰甲基甲苯的制备
在反应瓶中加入41.7g(0.15mol)、KCN23.4g(0.36mol)、TBAB(四丁基溴化铵)1.5g、CH2Cl2 120ml和水60ml,搅拌回流,TLC检测(GF254板,展开剂为石油醚-乙酸乙酯,体积比5:1)直至反应完全,冷却,分出有机层,水层用CH2Cl2(50ml×3)提取,合并有机层,用水洗1次,无水MgSO4干燥,过滤,滤液浓缩至干,剩余黏稠液加四氯化碳120ml摇匀,室温放置分层,固化,过滤,少量四氯化碳洗,抽干,干燥,得3,5-二氰甲基甲苯23g,收率90%,mp72~73ºC.
4. 3,5-二[(2,2-二甲基)乙氰基]甲苯的制备
在反应瓶中加入3,5-二氰甲基甲苯34g(0.15mol)、碘甲烷124g(0.87mol)和DMF700ml,冰水浴冷却并搅拌下分6批加入氢化钠44.5g(0.96mol),约2.5h加完,自然升至室温,搅拌过夜.TLC检测(GF254板,展开剂为乙酸乙酯-石油醚,体积比1:3),反应完全.将反应液加到2500ml水中,搅匀,静置,过滤,滤饼水洗3次,干燥,得粗品52g,无水乙醇重结晶,得3,5-二[(2,2-二甲基)乙氰基]甲苯40g,收率88.5%,mp126~128ºC.
5. 3,5-二[(2,2-二甲基)乙氰基]溴甲基苯的制备
在反应瓶中加入3,5-二[(2,2-二甲基)乙氰基]甲苯34g(0.15mol)、NBS27g(0.15mol)、过氧化苯甲酰1.5g(0.007mol)和四氯化碳300ml,搅拌回流2.5h,冷却,过滤,滤渣用CCl4洗2次,合并滤液和洗液,蒸除溶剂,得红色黏稠状液体3,5-二[(2,2-二甲基)乙氰基]溴甲基苯,不经纯化直接用于下步反应.
6. 阿拉曲唑的合成
在反应瓶中加入1,2,4-三氮唑8.2g(0.12mol)、无水K2CO3 16.6g(0.12mol)、KOH6.7g(0.12mol)、四丁基溴化铵(TBAB)2.0g、二甲苯200ml及3,5-二[(2,2-二甲基)乙氰基]溴甲基苯30.5g(0.10mol),搅拌回流,TLC检测(GF254板,展开剂为石油醚-乙酸乙酯,体积比3:1),约7h反应完全.冷至室温,滤出不溶物,用二甲苯洗,滤液和洗液合并,减压蒸除二甲苯,剩余黏稠物溶于乙酸乙酯150ml中,用水洗,无水硫酸镁干燥,蒸除乙酸乙酯得黏稠粗品,用乙酸乙酯-石油醚重结晶,得阿拉曲唑18.9g,收率64.5%,mp81~83ºC.
|
模块1. 化学品 1.1 产品标识符 : Anastrozole 产品名称 1.2 鉴别的其他方法 无数据资料
1.3 有关的确定了的物质或混合物的用途和建议不适合的用途
仅用于研发。不作为药品、家庭或其它用途。 模块2. 危险性概述 2.1 GHS-分类 急性毒性, 经口 (类别 4) 生殖毒性 (类别 1B) 2.2 GHS 标记要素,包括预防性的陈述 象形图 警示词危险 危险申明 H302吞咽有害。 H360可能对生育能力或胎儿造成伤害。 警告申明 预防措施 P201在使用前获取特别指示。 P202在读懂所有安全防范措施之前切勿操作。 P264操作后彻底清洁皮肤。 P270使用本产品时不要进食、饮水或吸烟。 P281使用所需的个人防护设备。 事故响应 P301 + P312如果吞咽并觉不适: 立即呼叫解毒中心或就医。 P308 + P313如接触到或有疑虑:求医/ 就诊。 P330漱口。 安全储存 P405存放处须加锁。 废弃处置 P501将内容物/ 容器处理到得到批准的废物处理厂。 只限于专业使用者。 2.3 其它危害物 - 无 模块3. 成分/组成信息 3.1 物 质 : C17H19N5 分子式 : 293.37 g/mol 分子量 组分浓度或浓度范围 Anastrozole <=100% 化学文摘登记号(CAS120511-73-1 No.) 模块4. 急救措施 4.1 必要的急救措施描述 一般的建议 请教医生。 向到现场的医生出示此安全技术说明书。 吸入 如果吸入,请将患者移到新鲜空气处。 如呼吸停止,进行人工呼吸。 请教医生。 皮肤接触 用肥皂和大量的水冲洗。 请教医生。 眼睛接触 用水冲洗眼睛作为预防措施。 食入 切勿给失去知觉者通过口喂任何东西。 用水漱口。 请教医生。 4.2 主要症状和影响,急性和迟发效应 摄入可能会引起肠胃刺激,恶心,呕吐和腹泻。, 生殖方面的影响, 据我们所知,此化学,物理和毒性性质尚未经完整的研究。 4.3 及时的医疗处理和所需的特殊处理的说明和指示 无数据资料 模块5. 消防措施 5.1 灭火介质 灭火方法及灭火剂 用水雾,抗乙醇泡沫,干粉或二氧化碳灭火。 5.2 源于此物质或混合物的特别的危害 碳氧化物, 氮氧化物 5.3 给消防员的建议 如必要的话,戴自给式呼吸器去救火。 5.4 进一步信息 无数据资料 模块6. 泄露应急处理 6.1 作业人员防护措施、防护装备和应急处置程序 使用个人防护用品。 避免粉尘生成。 避免吸入蒸气、烟雾或气体。 保证充分的通风。 人员疏散到安全区域。 避免吸入粉尘。 6.2 环境保护措施 如能确保安全,可采取措施防止进一步的泄漏或溢出。 不要让产品进入下水道。 6.3 泄漏化学品的收容、清除方法及所使用的处置材料 收集和处置时不要产生粉尘。 扫掉和铲掉。 放入合适的封闭的容器中待处理。 6.4 参考其他部分 丢弃处理请参阅第13节。 模块7. 操作处置与储存 7.1 安全操作的注意事项 避免接触皮肤和眼睛。 避免形成粉尘和气溶胶。避免曝露:使用前需要获得专门的指导。 在有粉尘生成的地方,提供合适的排风设备。 7.2 安全储存的条件,包括任何不兼容性 贮存在阴凉处。 使容器保持密闭,储存在干燥通风处。 7.3 特定用途 无数据资料 模块8. 接触控制和个体防护 8.1 容许浓度 最高容许浓度 没有已知的国家规定的暴露极限。 8.2 暴露控制 适当的技术控制 根据良好的工业卫生和安全规范进行操作。 休息前和工作结束时洗手。 个体防护设备 眼/面保护 带有防护边罩的安全眼镜符合 EN166要求请使用经官方标准如NIOSH (美国) 或 EN 166(欧盟) 检测与批准的设备防护眼部。 皮肤保护 戴手套取 手套在使用前必须受检查。 请使用合适的方法脱除手套(不要接触手套外部表面),避免任何皮肤部位接触此产品. 使用后请将被污染过的手套根据相关法律法规和有效的实验室规章程序谨慎处理. 请清洗并吹干双手 所选择的保护手套必须符合EU的89/686/EEC规定和从它衍生出来的EN 376标准。 身体保护 全套防化学试剂工作服, 防护设备的类型必须根据特定工作场所中的危险物的浓度和数量来选择。 呼吸系统防护 如危险性评测显示需要使用空气净化的防毒面具,请使用全面罩式多功能微粒防毒面具N100型(US )或P3型(EN 143)防毒面具筒作为工程控制的候补。如果防毒面具是保护的唯一方式,则使用全面罩式送风防毒 面具。 呼吸器使用经过测试并通过政府标准如NIOSH(US)或CEN(EU)的呼吸器和零件。 模块9. 理化特性 9.1 基本的理化特性的信息 a) 外观与性状 形状: 固体 b) 气味 无数据资料 c) 气味阈值 无数据资料 d) pH值 无数据资料 e) 熔点/凝固点 熔点/凝固点: 81 - 82 °C f) 沸点、初沸点和沸程 无数据资料 g) 闪点 无数据资料 h) 蒸发速率 无数据资料 i) 易燃性(固体,气体) 无数据资料 j) 高的/低的燃烧性或爆炸性限度 无数据资料 k) 蒸气压 无数据资料 l) 蒸汽密度 10.13 - (空气= 1.0) m) 密度/相对密度 无数据资料 n) 水溶性 无数据资料 o) n-辛醇/水分配系数 无数据资料 p) 自燃温度 无数据资料 q) 分解温度 无数据资料 r) 粘度 无数据资料 模块10. 稳定性和反应活性 10.1 反应性 无数据资料 10.2 稳定性 无数据资料 10.3 危险反应 无数据资料 10.4 应避免的条件 无数据资料 10.5 不相容的物质 无数据资料 10.6 危险的分解产物 模块11. 毒理学资料 11.1 毒理学影响的信息 急性毒性 无数据资料 皮肤刺激或腐蚀 无数据资料 眼睛刺激或腐蚀 无数据资料 呼吸道或皮肤过敏 无数据资料 生殖细胞致突变性 无数据资料 致癌性 某些类固醇表明有致癌或畸胎生成效应 IARC: 此产品中没有大于或等于 0。1%含量的组分被 IARC鉴别为可能的或肯定的人类致癌物。 生殖毒性 假设的人类生殖毒物 可疑人类的生殖毒物 有损害胎儿的嫌疑。 特异性靶器官系统毒性(一次接触) 无数据资料 特异性靶器官系统毒性(反复接触) 无数据资料 吸入危险 无数据资料 潜在的健康影响 吸入吸入可能有害。 可能引起呼吸道刺激。 摄入误吞对人体有害。 皮肤通过皮肤吸收可能有害。 可能引起皮肤刺激。 眼睛可能引起眼睛刺激。 接触后的征兆和症状 摄入可能会引起肠胃刺激,恶心,呕吐和腹泻。, 生殖方面的影响, 据我们所知,此化学,物理和毒性性质尚未经完整的研究。 附加说明 化学物质毒性作用登记: CZ1465000 模块12. 生态学资料 12.1 生态毒性 无数据资料 12.2 持久性和降解性 无数据资料 12.3 潜在的生物累积性 无数据资料 12.4 土壤中的迁移性 无数据资料 12.5 PBT 和 vPvB的结果评价 无数据资料 12.6 其它不良影响 无数据资料 模块13. 废弃处置 13.1 废物处理方法 产品 将剩余的和不可回收的溶液交给有许可证的公司处理。 与易燃溶剂相溶或者相混合,在备有燃烧后处理和洗刷作用的化学焚化炉中燃烧 受污染的容器和包装 按未用产品处置。 模块14. 运输信息 14.1 联合国危险货物编号 欧洲陆运危规: -国际海运危规: -国际空运危规: - 14.2 联合国运输名称 欧洲陆运危规: 非危险货物 国际海运危规: 非危险货物 国际空运危规: 非危险货物 14.3 运输危险类别 欧洲陆运危规: -国际海运危规: -国际空运危规: - 14.4 包裹组 欧洲陆运危规: -国际海运危规: -国际空运危规: - 14.5 环境危险 欧洲陆运危规: 否国际海运危规国际空运危规: 否 海洋污染物(是/否): 否 14.6 对使用者的特别提醒 无数据资料 模块 15 - 法规信息 N/A 模块16 - 其他信息 N/A |
| 符号 |
GHS07, GHS08 |
|---|---|
| 信号词 | Danger |
| 危害声明 | H302-H360 |
| 警示性声明 | P201-P280-P301 + P312 + P330-P308 + P313 |
| 危害码 (欧洲) | Xi |
| 风险声明 (欧洲) | R36/37/38 |
| 安全声明 (欧洲) | 26-37/39 |
| 危险品运输编码 | 3249 |
| RTECS号 | CZ1465000 |
| 包装等级 | III |
| 危险类别 | 6.1(b) |
| 海关编码 | 2933990090 |









