普罗加比
Progabide 是一种 γ-氨基丁酸 (GABA) 受体激动剂。
产品名称
-
中文名普罗加比
-
英文名Progabide
-
中文别名氟柳双胺 | 4-[[(4-氯苯基)(5-氟-2-羟基苯基)亚甲基]氨基]丁酰胺 | (E)-4-((4-氯苯基)(5-氟-2-羟基苯基)亚甲基氨基)丁酰胺 | 4-[[(Z)-(4-氯苯基)-(3-氟-6-氧代-1-环己-2,4-二烯亚基)甲基]氨基]丁酰胺
-
英文别名
Progabide Gabren (TN) Progabide (USAN/INN) 4-[[(4-chlorophenyl)-(5-fluoro-2-hydroxyphenyl)methylene]amino]butanamide -
常用名普罗加比
-
C A S号62666-20-0
物理性质
-
密度1.3g/cm3
-
沸点525.363ºC at 760 mmHg
-
熔点133-135°; mp 142.5° (Kaplan, J. Med. Chem.)
-
化学式C17H16ClFN2O2
-
结构式
1、 摩尔折射率:86.93
2、 摩尔体积(cm3/mol):257.5
3、 等张比容(90.2K):668.4
4、 表面张力(dyne/cm):45.3
5、 极化率(10-24cm3):34.46
-
闪点271.53ºC
-
分子量334.77300
-
精确质量334.08800
-
P S A75.68000
-
外观形状
-
储存条件
-
稳定性
-
水溶解性
-
形态
-
H L B值
-
粘度
-
PH值
作用/用途
Progabide 是一种 γ-氨基丁酸 (GABA) 受体激动剂。
制备方法
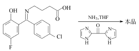
在0℃和搅拌下,在10min内,往42g(0.125mo1)4-[[α-(对氯苯基)-5-氟亚水杨基]氨基]丁酸溶于130ml无水四氢呋喃的溶液中,分批加入22.3g(0.1375mo1)95%的羰基二咪唑。然后在0℃下搅拌15min,再在室温下搅拌15min。在搅拌下,把该溶液滴入800ml液氨,然后搅拌至蒸干。油状剩余物溶人500ml氯仿,依次用水、碳酸氢钠水溶液和水洗。在活性炭存在下用无水硫酸镁干燥,过滤,滤液蒸发至干。剩余物加入石油醚后形成结晶,过滤,并用石油醚洗,尽最大程度抽干。用1:1的环己烷和甲苯重结晶,活性炭处理,在真空管中于60℃加热干燥。得28g卤加比,收率67%,熔点133~135℃。
安全提醒
MSDS
原料简介
应用范围
毒性和生态
安全信息
| 海关编码 | 2925290090 |
|---|
是否危险品
危险性
危险类别码
危险等级
触发危险方式
安全技术说明书
环境影响程度
包装与储运
相关供应商

搜索






