盐酸艾司洛尔
【用途一】
治疗频发性心律失常急症,手术期间或手术后心肌缺血及高血压。
治疗频发性心律失常急症,手术期间或手术后心肌缺血及高血压。
产品名称
-
中文名艾司洛尔
-
英文名Esmolol
-
中文别名
-
英文别名
methyl 3-(4-{2-hydroxy-3-[(1-methylethyl)amino]propoxy}phenyl)propanoate methyl 4-[2-hydroxy-3-[(1-methylethyl)amino]-propoxy]benzenepropanoate 5-Isothiazolecarboxylic acid,3-(2-methyl-4-thiazolyl)-,methyl ester (±)-Methyl 3-[4-[2-Hydroxy-3-(isopropylamino)propoxy]phenyl]propionate Esmolol methyl 3-<4-(2-methylthiazolyl)>isothiazole-5-carboxylate Benzenepropanoic acid, 4-[2-hydroxy-3-[(1-methylethyl)amino]propoxy]-, methyl ester Methyl 3-{4-[2-hydroxy-3-(isopropylamino)propoxy]phenyl}propanoate methyl 3-[4-({2-hydroxy-3-[(1-methylethyl)amino]propyl}oxy)phenyl]propanoate Methyl p-[2-Hydroxy-3-(isopropylamino)propoxy]hydrocinnamate methyl 3-{4-[2-hydroxy-3-(propan-2-ylamino)propoxy]phenyl}propanoate UNII:MDY902UXSR MFCD00864566 methyl 3-<4-<2-hydroxy-3-(isopropylamino)propoxy>phenyl>propionate 4-[2-Hydroxy-3-[(1-methylethyl)amino]propoxy]benzenepropanoic Acid Methyl Ester -
常用名盐酸艾司洛尔
-
C A S号81147-92-4
物理性质
-
密度1.1±0.1 g/cm3
-
沸点430.2±40.0 °C at 760 mmHg
-
熔点48-50ºC
-
化学式C16H25NO4
-
结构式
1、 摩尔折射率:81.73
2、 摩尔体积(cm3/mol):272.3
3、 等张比容(90.2K):683.2
4、 表面张力(dyne/cm):39.5
5、 极化率(10-24cm3):32.40
-
闪点214.0±27.3 °C
-
分子量295.374
-
精确质量295.178345
-
P S A67.79000
-
外观形状
-
储存条件
-
稳定性
-
水溶解性
-
形态
-
H L B值
-
粘度
-
PH值
作用/用途
【用途一】
治疗频发性心律失常急症,手术期间或手术后心肌缺血及高血压。
治疗频发性心律失常急症,手术期间或手术后心肌缺血及高血压。
制备方法
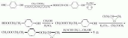
1.对羟基苯甲醛和丙二酸溶于甲苯,在有机碱存在下,回流,缩合脱羧得对羟基苯丙烯酸。对羟基苯丙烯酸在二氧六环和水的混合溶剂中,在10%钯-碳催化下氢化,得到对羟基苯丙酸。对羟基苯丙酸和甲醇在硫酸催化下,回流酯化得对羟基苯丙酸甲酯,然后在碱性溶液中,溴化十六烷基三甲基铵(CTAB)存在下,和环氧氯丙烷回流,得3[4(2,3-环氧丙氧基)苯基]丙酸甲酯。最后在甲醇中,和异丙胺一起回流,得到艾司洛尔;在甲醇中滴加饱和氯化氢的乙醚溶液,可得白色固体的盐酸艾司洛尔。或者以对甲氧基苯甲醛为原料,在钠存在下和乙酸乙酯缩合生成3-对甲氧基苯基丙烯酸乙酯,氢化还原为3-对甲氧基苯基丙酸乙酯,水解生成3-对羟基苯基丙酸,经甲酯化,再和环氧氯丙烷反应,最后和异丙胺反应生成艾司洛尔。
2.以对甲氧基苯甲醛为原料,在钠存在下和乙酸乙酯缩合生成3-对甲氧基苯基丙烯酸乙酯,氢化还原为3-对甲氧基苯基丙酸乙酯,水解生成3-对羟基苯基丙酸,再甲酯化,接着和环氧氯丙烷反应,再和异丙胺反应生成艾司
安全提醒
MSDS
原料简介
应用范围
毒性和生态
安全信息
是否危险品
危险性
危险类别码
危险等级
触发危险方式
安全技术说明书
环境影响程度
包装与储运
相关供应商

搜索








