安妥
【用途一】
硫脲类急性杀鼠剂。选择性强,主要用于防治褐家鼠及黄毛鼠,对其他鼠种毒性较低。该药剂有强胃毒作用,也可损害鼠类呼吸系统。一般食后6~72h内死亡。安妥适口性好,初次使用效果理想,但摄入亚致死剂量后会产生很强的耐药性,耐药能力可提高7~50倍,并对其他硫脲衍生物产生交互抗性。安妥以配制毒饵来防治鼠类,毒饵有效成分为0.5%~2%,配制方法同磷化锌杀鼠剂。例1,0.5%安妥胡萝卜毒饵(或用水果、蔬菜代替),每房间放2~3堆,每堆毒饵量10~20g,3d后回收剩余毒饵。例2, 安妥原粉1份、鱼骨粉1份、食用油1份、玉米面97份,混合均匀后加适量水和成面团,并制成黄豆粒大小毒饵丸,每房间放量2~3堆,每堆10~20g,防治褐家鼠效果甚好。也可制成2%安妥小麦毒饵应用。
硫脲类急性杀鼠剂。选择性强,主要用于防治褐家鼠及黄毛鼠,对其他鼠种毒性较低。该药剂有强胃毒作用,也可损害鼠类呼吸系统。一般食后6~72h内死亡。安妥适口性好,初次使用效果理想,但摄入亚致死剂量后会产生很强的耐药性,耐药能力可提高7~50倍,并对其他硫脲衍生物产生交互抗性。安妥以配制毒饵来防治鼠类,毒饵有效成分为0.5%~2%,配制方法同磷化锌杀鼠剂。例1,0.5%安妥胡萝卜毒饵(或用水果、蔬菜代替),每房间放2~3堆,每堆毒饵量10~20g,3d后回收剩余毒饵。例2, 安妥原粉1份、鱼骨粉1份、食用油1份、玉米面97份,混合均匀后加适量水和成面团,并制成黄豆粒大小毒饵丸,每房间放量2~3堆,每堆10~20g,防治褐家鼠效果甚好。也可制成2%安妥小麦毒饵应用。
【用途二】
作灭鼠药。
作灭鼠药。
产品名称
-
中文名安妥
-
英文名antu
-
中文别名1-(1-萘)-2-硫脲 | α-萘硫脲 | N-(1-萘基)硫脲 | 1-萘基硫脲 | 1-萘基-2-硫脲
-
英文别名
Rattrack 1-naphthalenylthiourea 1-(1-naphthyl)thiourea Alrato 1-naphthylthiourea Dirax Thiourea,1-naphthalenyl N-naphthyl-thiourea ANTU EINECS 201-706-3 Anturat N-(naphthalen-1-yl)carbonothioic diamide naphthalen-1-ylthiourea Kripid MFCD00041824 Smeesana -
常用名安妥
-
C A S号86-88-4
物理性质
-
密度1.333 g/cm3
-
沸点377.6ºC at 760 mmHg
-
熔点193 °C
-
化学式C11H10N2S
-
结构式
1、 摩尔折射率:64.52
2、 摩尔体积(cm3/mol):151.6
3、 等张比容(90.2K):445.5
4、 表面张力(dyne/cm):74.4
5、 极化率(10-24cm3):25.58
-
闪点182.1ºC
-
分子量202.27500
-
精确质量202.05600
-
P S A70.14000
-
外观形状白色,无臭结晶粉末
-
储存条件
本品应密封干燥避光保存。
-
稳定性
-
水溶解性
-
形态从醇中得白色棱状体结晶。无臭,味苦,剧毒。
-
H L B值
-
粘度
-
PH值
作用/用途
【用途一】
硫脲类急性杀鼠剂。选择性强,主要用于防治褐家鼠及黄毛鼠,对其他鼠种毒性较低。该药剂有强胃毒作用,也可损害鼠类呼吸系统。一般食后6~72h内死亡。安妥适口性好,初次使用效果理想,但摄入亚致死剂量后会产生很强的耐药性,耐药能力可提高7~50倍,并对其他硫脲衍生物产生交互抗性。安妥以配制毒饵来防治鼠类,毒饵有效成分为0.5%~2%,配制方法同磷化锌杀鼠剂。例1,0.5%安妥胡萝卜毒饵(或用水果、蔬菜代替),每房间放2~3堆,每堆毒饵量10~20g,3d后回收剩余毒饵。例2, 安妥原粉1份、鱼骨粉1份、食用油1份、玉米面97份,混合均匀后加适量水和成面团,并制成黄豆粒大小毒饵丸,每房间放量2~3堆,每堆10~20g,防治褐家鼠效果甚好。也可制成2%安妥小麦毒饵应用。
硫脲类急性杀鼠剂。选择性强,主要用于防治褐家鼠及黄毛鼠,对其他鼠种毒性较低。该药剂有强胃毒作用,也可损害鼠类呼吸系统。一般食后6~72h内死亡。安妥适口性好,初次使用效果理想,但摄入亚致死剂量后会产生很强的耐药性,耐药能力可提高7~50倍,并对其他硫脲衍生物产生交互抗性。安妥以配制毒饵来防治鼠类,毒饵有效成分为0.5%~2%,配制方法同磷化锌杀鼠剂。例1,0.5%安妥胡萝卜毒饵(或用水果、蔬菜代替),每房间放2~3堆,每堆毒饵量10~20g,3d后回收剩余毒饵。例2, 安妥原粉1份、鱼骨粉1份、食用油1份、玉米面97份,混合均匀后加适量水和成面团,并制成黄豆粒大小毒饵丸,每房间放量2~3堆,每堆10~20g,防治褐家鼠效果甚好。也可制成2%安妥小麦毒饵应用。
【用途二】
作灭鼠药。
作灭鼠药。
制备方法
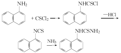
1.α萘胺与硫氰酸铵反应制得安妥。
2.制备方法二
3.制备方法三
安全提醒
MSDS
|
||||||||||||||||||||||||||||||||||||||||||||||||||||||||||||||||||||||||||||||||||||||||||||||||||||||||||||||||||||||||||||||||||||||||||||||||||||||||||||||||||||||||||||||||||||||||||||||||||||||||||||||||||||||||||||||||||||||||||||||||||||||||||
原料简介
应用范围
毒性和生态
安全信息
| 符号 |
GHS06, GHS08 |
|---|---|
| 信号词 | Danger |
| 危害声明 | H300-H351 |
| 警示性声明 | P301 + P310 + P330 |
| 个人防护装备 | Eyeshields;Faceshields;Gloves;type P2 (EN 143) respirator cartridges |
| 危害码 (欧洲) | T+ |
| 风险声明 (欧洲) | 28-40 |
| 安全声明 (欧洲) | S28-S36/37-S45-S25-S23 |
| 危险品运输编码 | 1651 |
| RTECS号 | YT9275000 |
| 包装等级 | I |
| 危险类别 | 6.1 |
| 海关编码 | 2930909059 |
是否危险品
危险性
危险类别码
危险等级
触发危险方式
安全技术说明书
环境影响程度
包装与储运
相关供应商

搜索








