依诺沙星
【用途一】
广谱抗菌素,用于治疗革兰阴性及阳性细菌引起的泌尿、耳、鼻、喉及浅表化脓性疾患等多种感染
广谱抗菌素,用于治疗革兰阴性及阳性细菌引起的泌尿、耳、鼻、喉及浅表化脓性疾患等多种感染
【用途二】
喹诺酮类广谱抗感染药,对革兰阳性和阴性菌及葡萄糖非发酵菌有抗菌作用。适用于治疗呼吸系统感染,消化道感染,泌尿生殖系统感染以及皮肤、耳鼻眼喉感染,妇科疾病感染
【用途三】
该品为第三代喹诺酮类药。体内抗菌作用较氟哌酸强2-9倍。临床用球必尿系统、呼吸系统、消化系统、耳鼻喉、皮肤及软组织感染等。
喹诺酮类广谱抗感染药,对革兰阳性和阴性菌及葡萄糖非发酵菌有抗菌作用。适用于治疗呼吸系统感染,消化道感染,泌尿生殖系统感染以及皮肤、耳鼻眼喉感染,妇科疾病感染
【用途三】
该品为第三代喹诺酮类药。体内抗菌作用较氟哌酸强2-9倍。临床用球必尿系统、呼吸系统、消化系统、耳鼻喉、皮肤及软组织感染等。
产品名称
-
中文名依诺沙星
-
英文名Enoxacin
-
中文别名1-乙基-6-氟-1,4-二氢-4-氧代-7-(1-哌嗪基)-1,8.萘啶-3-羧酸 | 1-乙基-6-氟-1,4-二氢-4-氧代-7-(1-哌嗪基)-1,8-萘啶-3-羧酸 | 1-乙基-6-氟-1,4-二氢-4-氧代-7-(-哌嗪基)-1,8-萘啶-3-羧酸
-
英文别名
1-ethyl-6-fluoro-4-oxo-7-piperazin-1-yl-1,4-dihydro-1,8-naphthyridine-3-carboxylic acid MFCD00133308 1-Ethyl-6-fluoro-4-oxo-7-(piperazin-1-yl)-1,4-dihydro-1,8-naphthyridine-3-carboxylic acid enoram 1-Ethyl-6-fluoro-4-oxo-7-(1-piperazinyl)-1,4-dihydro-1,8-naphthyridine-3-carboxylic acid Enoxacin FLUMARK Abenox ENX Gyramid 1,8-Naphthyridine-3-carboxylic acid, 1-ethyl-6-fluoro-1,4-dihydro-4-oxo-7-(1-piperazinyl)- Enoxor ci919 at-2266 Humark Enoxen -
常用名依诺沙星
-
C A S号74011-58-8
物理性质
-
密度1.4±0.1 g/cm3
-
沸点569.9±50.0 °C at 760 mmHg
-
熔点220-224ºC
-
化学式C15H17FN4O3
-
结构式
1、 摩尔折射率:78.79
2、 摩尔体积(cm3/mol):230.6
3、 等张比容(90.2K):636.7
4、 表面张力(dyne/cm):58.0
5、 极化率(10-24cm3):31.23
-
闪点298.4±30.1 °C
-
分子量320.319
-
精确质量320.128479
-
P S A87.46000
-
外观形状灰白色至黄色晶体
-
储存条件
存放在密封容器内,并放在阴凉,干燥处。2-8 ºC保存。
-
稳定性
-
水溶解性
-
形态白色或浅黄褐色的结晶或结晶性粉末,无臭,味苦。
-
H L B值
-
粘度
-
PH值
作用/用途
【用途一】
广谱抗菌素,用于治疗革兰阴性及阳性细菌引起的泌尿、耳、鼻、喉及浅表化脓性疾患等多种感染
广谱抗菌素,用于治疗革兰阴性及阳性细菌引起的泌尿、耳、鼻、喉及浅表化脓性疾患等多种感染
【用途二】
喹诺酮类广谱抗感染药,对革兰阳性和阴性菌及葡萄糖非发酵菌有抗菌作用。适用于治疗呼吸系统感染,消化道感染,泌尿生殖系统感染以及皮肤、耳鼻眼喉感染,妇科疾病感染
【用途三】
该品为第三代喹诺酮类药。体内抗菌作用较氟哌酸强2-9倍。临床用球必尿系统、呼吸系统、消化系统、耳鼻喉、皮肤及软组织感染等。
喹诺酮类广谱抗感染药,对革兰阳性和阴性菌及葡萄糖非发酵菌有抗菌作用。适用于治疗呼吸系统感染,消化道感染,泌尿生殖系统感染以及皮肤、耳鼻眼喉感染,妇科疾病感染
【用途三】
该品为第三代喹诺酮类药。体内抗菌作用较氟哌酸强2-9倍。临床用球必尿系统、呼吸系统、消化系统、耳鼻喉、皮肤及软组织感染等。
制备方法
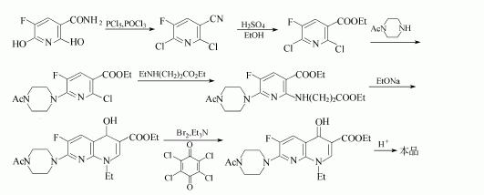
方法1:以2,6-二羟基-5-氟烟酰胺为原料,经氯化、酯化、与乙酰哌嗪缩合、与3-乙胺基丙酸乙酯缩合、环化、脱氢、水解得产品。该路线条件温和,路线较短,但需特殊试剂四氯苯醌。国内目前主要采用该法。
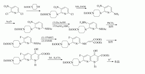
方法2:另一条路线是以2,6-二氯-3-硝基吡啶为原料,经与乙氧羰基哌嗪缩合后,再经氨解、乙酰化、还原、重氮化、氟化、水解、与EMME缩合、环合乙基化、水解得产品。该法氟化反应不易控制、环化需高温,工艺条件苛刻。
安全提醒
MSDS
原料简介
应用范围
毒性和生态
安全信息
| 危害码 (欧洲) | Xi |
|---|---|
| 风险声明 (欧洲) | 36/37/38 |
| 安全声明 (欧洲) | 26-36/37 |
| WGK德国 | 2 |
| RTECS号 | QN2800000 |
| 海关编码 | 29335995 |
是否危险品
危险性
危险类别码
危险等级
触发危险方式
安全技术说明书
环境影响程度
包装与储运
相关供应商









