利培酮
-
中文名利培酮
-
英文名Risperidone
-
中文别名3-[2-[4-(6-氟-1,2-苯并异唑-3-基)-1-哌啶]乙基]-6,7,8,9-四氢-2-甲基-4H-吡啶并[1,2-A]嘧啶-4-酮 | 瑞司哌酮 | 利哌酮
-
英文别名
Rispadal Psychodal 3-{2-[4-(6-Fluoro-1,2-benzoxazol-3-yl)-1-piperidinyl]ethyl}-2-methyl-6,7,8,9-tetrahydro-4H-pyrido[1,2-a]pyrimidin-4-one 3-{2-[4-(6-Fluor-1,2-benzisoxazol-3-yl)piperidin-1-yl]ethyl}-2-methyl-6,7,8,9-tetrahydro-4H-pyrido[1,2-a]pyrimidin-4-on MFCD00274576 Belivon Risperidal Kesperidone Risperdal Spiron 3-{2-[4-(6-fluoro-1,2-benzisoxazol-3-yl)pipéridin-1-yl]éthyl}-2-méthyl-6,7,8,9-tétrahydro-4H-pyrido[1,2-a]pyrimidin-4-one 3-{2-[4-(6-fluoro-1,2-benzoxazol-3-yl)piperidin-1-yl]ethyl}-2-methyl-6,7,8,9-tetrahydro-4H-pyrido[1,2-a]pyrimidin-4-one Risperidone Apexidone R 64 766,Risperdal 4H-Pyrido[1,2-a]pyrimidin-4-one, 3-[2-[4-(6-fluoro-1,2-benzisoxazol-3-yl)-1-piperidinyl]ethyl]-6,7,8,9-tetrahydro-2-methyl- R 64,766,Risperidone -
常用名利培酮
-
C A S号106266-06-2
-
密度1.4±0.1 g/cm3
-
沸点572.4±60.0 °C at 760 mmHg
-
熔点170°C
-
化学式C23H27FN4O2
-
结构式
1、摩尔折射率:111.74
2、摩尔体积(cm3/mol):296.8
3、等张比容(90.2K):793.6
4、表面张力(dyne/cm):51.1
5、介电常数:无可用的
6、极化率(10-24cm3):44.3
7、单一同位素质量:410.211804 Da
8、标称质量:410 Da
9、平均质量:410.4845 Da
-
闪点300.0±32.9 °C
-
分子量410.484
-
精确质量410.211792
-
P S A64.16000
-
外观形状结晶固体
-
储存条件
密封储存,储存于阴凉、干燥的库房.
-
稳定性
-
水溶解性
-
形态粉末
-
H L B值
-
粘度
-
PH值
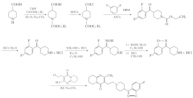
1. 4-甲酰氯-1-乙酰基哌啶和间二氟苯在三氯化铝催化下,进行酰化,再用盐酸水解脱去哌啶环上的乙酰基,和羟胺反应后再碱催化环合,得到苯并异噁唑衍生物.4.4份该异噁唑衍生物、5.3份3-氯乙基-2-甲基-4H-吡啶并[1,2-α]嘧啶-4-酮盐酸盐、8份碳酸钠和0.1份碘化钾,在二甲基甲酰胺中,于85-90℃加热,得利培酮,收率46%.
2. 1-乙氧甲酰基-4-哌啶甲酸的制备
在反应瓶中加入4-哌啶甲酸12.9g(0.1mol)、水90ml和Na2CO310.6g(0.1mol),搅拌溶解,再加入THF90ml和氯甲酸乙酯10.8g(0.1mol)混合液,于室温下搅拌反应2h.减压蒸除溶剂,加入水150ml,用浓盐酸调节pH2至2,用二氯甲烷(100ml×3)提取,无水Na2SO4干燥,过滤,滤液减压蒸除溶剂,剩余物加石油醚20ml, 搅拌析晶,抽滤,干燥,得白色固体18.4g,收率91.5%,mp68.5~69.8 ºC.
3. 1-乙氧甲酰基-4-哌啶甲酰氯的制备
在反应瓶中加入上步制备的化合物18.4g(0.092mol)和二氯亚砜19.5g(31.94g,0.268mol),室温下搅拌反应6h. 减压蒸除过量的二氯亚砜,得色油状物1-乙氧甲酰基-4-哌啶甲酰氯20.0g, 收率99.3%.
4. 2,4-二氟苯基-(1-乙氧甲酰基-4-哌啶基)甲酮的制备
在反应瓶中加入无水三氯化铝12.1g(0.091mol) 和上步制备的化合物1-乙氧甲酰基-4-哌啶甲酰氯20.0g(0.091mol),搅拌均匀后,慢慢滴加1,3-二氟苯36g(0.365mol),滴毕,加热回流反应2h.冷至室温,减压蒸除1.3-二氟苯,缓慢倒入200g冰水中,二氯甲烷(200×3)提取,并有机层,无水NaSO4干燥.过滤,滤液减压蒸出二氯甲烷,剩余物干燥,得浅黄色油状物2,4-二氟苯基-(1-乙氧甲酰基-4-哌啶基)甲酮19.6g,收率72.5%.
5. 2,4-二氟苯基-(4-哌啶基)甲酮盐酸盐的制备
在反应瓶中加入上步制备的化合物2,4-二氟苯基-(1-乙氧甲酰基-4-哌啶基)甲酮19.6g(0.066mol)和浓盐酸70ml,搅拌回流反应15h.冷却至室温,用二氯甲烷(300ml×3)洗涤反应液.分出水层,减压蒸出水,加入异丙醇30ml,搅拌后过滤,滤饼干燥,得白色固体2,4-二氟苯基-(4-哌啶基)甲酮盐酸盐13.2g,收率76.5%,mp204.5~206.3 ºC.
6. 2,4-二氟苯基-(4-哌啶基)甲酮肟的制备
在反应瓶中加入上步制备的化合物2,4-二氟苯基-(4-哌啶基)甲酮盐酸盐13.2g(0.050mol)、盐酸羟胺10.5g(0.151mol)和95%(积分数)乙醇100ml搅拌下加入三乙胺13.9g(0.1mol),加热至回流,搅拌回流反应3h. 反应毕,冷至室温,析出固体,抽滤,滤饼干燥,得白色固体2,4-二氟苯基-(4-哌啶基)甲酮肟11.4g,收率82.4%,mp256.8~258.4 ºC(分解).
7. 6-氟-3-(4-哌啶基)-1,2-苯并异唑盐酸盐的制备
在反应瓶中加入KOH11.5g(0.206mol)和水35ml,搅拌溶解,再加入乙醇40ml和上步制备的化合物2,4-二氟苯基-(4-哌啶基)甲酮肟11.4g(0.041mol),搅拌回流反应4h.冷却至室温,减压蒸除溶剂,剩余物加水120ml,用甲苯(800ml×3)提取,合并提取液,水洗涤,无水Na2SO4干燥,过滤,滤液减压蒸除甲苯,剩余物干燥,得灰白色固体8.7g.将其用正己烷重结晶,得白色固体7.6g,收率84.2%.将其用甲醇76ml溶解,搅拌下滴加饱和氯化氢的甲醇溶液,滴至pH3,析出白色固体,过滤,得白色固体6-氟-3-(4-哌啶基)-1,2-苯并异唑盐酸盐7.7g,收率73.2%,mp1686~170.4 ºC.
8. 3-[2-[4-(6-氟-1,2-苯并异唑-3-基)-1-哌啶基]乙基]-6,7,8,9-四氢-2-甲基-4H-吡啶并[1,2-a]嘧啶-4-酮(利培酮) 的合成
在反应瓶中加入上步制备的化合物6-氟-3-(4-哌啶基)-1,2-苯并异唑盐酸盐7.7g(0.030mol)、碘化钾1.2g(0.007mol)、无水Na2CO3 12.7g(0.120mol)、3-(2-氯乙基)-6,7,8,9-四氢-2-甲基-4H-吡啶并[1,2-a]嘧啶-4-酮6.8g(0.030mol)和DMF130ml,搅拌加热至90 ºC,在该温度下保温搅拌反应10h. 冷却至室温#倒入350ml冰水中,静置,抽滤,滤饼用水洗涤,抽干,干燥,得浅黄色固体10g,将其用乙醇/水重结晶,得白色固体3-[2-[4-(6-氟-1,2-苯并异唑-3-基)-1-哌啶基]乙基]-6,7,8,9-四氢-2-甲基-4H-吡啶并[1,2-a]嘧啶-4-酮(利培酮)8.6g,收率69.9%,mp168.7~170.3 ºC.
|
模块1. 化学品 1.1 产品标识符 : Risperidone 产品名称 1.2 鉴别的其他方法 R 64,766
1.3 有关的确定了的物质或混合物的用途和建议不适合的用途
仅用于研发。不作为药品、家庭或其它用途。 模块2. 危险性概述 2.1 GHS-分类 急性毒性, 经口 (类别 3) 2.2 GHS 标记要素,包括预防性的陈述 象形图 警示词危险 危险申明 H301吞咽会中毒 警告申明 预防措施 P264操作后彻底清洁皮肤。 P270使用本产品时不要进食、饮水或吸烟。 事故响应 P301 + P310如果吞下去了: 立即呼救解毒中心或医生。 P321具体处置(见本标签上提供的急救指导)。 P330漱口。 安全储存 P405存放处须加锁。 废弃处置 P501将内容物/ 容器处理到得到批准的废物处理厂。 2.3 其它危害物 - 无 模块3. 成分/组成信息 3.1 物 质 : R 64,766 别名 : C23H27FN4O2 分子式 : 410.48 g/mol 分子量 组分浓度或浓度范围 Risperidone <=100% 化学文摘登记号(CAS106266-06-2 No.) 模块4. 急救措施 4.1 必要的急救措施描述 一般的建议 请教医生。 向到现场的医生出示此安全技术说明书。 吸入 如果吸入,请将患者移到新鲜空气处。 如呼吸停止,进行人工呼吸。 请教医生。 皮肤接触 用肥皂和大量的水冲洗。 立即将患者送往医院。 请教医生。 眼睛接触 用水冲洗眼睛作为预防措施。 食入 切勿给失去知觉者通过口喂任何东西。 用水漱口。 请教医生。 4.2 主要症状和影响,急性和迟发效应 据我们所知,此化学,物理和毒性性质尚未经完整的研究。 4.3 及时的医疗处理和所需的特殊处理的说明和指示 无数据资料 模块5. 消防措施 5.1 灭火介质 灭火方法及灭火剂 用水雾,抗乙醇泡沫,干粉或二氧化碳灭火。 5.2 源于此物质或混合物的特别的危害 碳氧化物, 氮氧化物, 氟化氢 5.3 给消防员的建议 如必要的话,戴自给式呼吸器去救火。 5.4 进一步信息 无数据资料 模块6. 泄露应急处理 6.1 作业人员防护措施、防护装备和应急处置程序 戴呼吸罩。 避免粉尘生成。 避免吸入蒸气、烟雾或气体。 保证充分的通风。 人员疏散到安全区域。 避免吸入粉尘。 6.2 环境保护措施 如能确保安全,可采取措施防止进一步的泄漏或溢出。 不要让产品进入下水道。 6.3 泄漏化学品的收容、清除方法及所使用的处置材料 收集和处置时不要产生粉尘。 扫掉和铲掉。 放入合适的封闭的容器中待处理。 6.4 参考其他部分 丢弃处理请参阅第13节。 模块7. 操作处置与储存 7.1 安全操作的注意事项 避免接触皮肤和眼睛。 避免形成粉尘和气溶胶。 在有粉尘生成的地方,提供合适的排风设备。一般性的防火保护措施。 7.2 安全储存的条件,包括任何不兼容性 贮存在阴凉处。 使容器保持密闭,储存在干燥通风处。 7.3 特定用途 无数据资料 模块8. 接触控制和个体防护 8.1 容许浓度 最高容许浓度 没有已知的国家规定的暴露极限。 8.2 暴露控制 适当的技术控制 避免与皮肤、眼睛和衣服接触。 休息前和操作本品后立即洗手。 个体防护设备 眼/面保护 面罩與安全眼鏡请使用经官方标准如NIOSH (美国) 或 EN 166(欧盟) 检测与批准的设备防护眼部。 皮肤保护 戴手套取 手套在使用前必须受检查。 请使用合适的方法脱除手套(不要接触手套外部表面),避免任何皮肤部位接触此产品. 使用后请将被污染过的手套根据相关法律法规和有效的实验室规章程序谨慎处理. 请清洗并吹干双手 所选择的保护手套必须符合EU的89/686/EEC规定和从它衍生出来的EN 376标准。 完全接触 物料: 丁腈橡胶 最小的层厚度 0.11 mm 溶剂渗透时间: 480 min 测试过的物质Dermatril® (KCL 740 / Z677272, 规格 M) 飞溅保护 物料: 丁腈橡胶 最小的层厚度 0.11 mm 溶剂渗透时间: 480 min 测试过的物质Dermatril® (KCL 740 / Z677272, 规格 M) , 测试方法 EN374 如果以溶剂形式应用或与其它物质混合应用,或在不同于EN 374规定的条件下应用,请与EC批准的手套的供应商联系。 这个推荐只是建议性的,并且务必让熟悉我们客户计划使用的特定情况的工业卫生学专家评估确认才可. 这不应该解释为在提供对任何特定使用情况方法的批准. 身体保护 全套防化学试剂工作服, 防护设备的类型必须根据特定工作场所中的危险物的浓度和数量来选择。 呼吸系统防护 如危险性评测显示需要使用空气净化的防毒面具,请使用全面罩式多功能微粒防毒面具N99型(US) 或P2型(EN 143)防毒面具筒作为工程控制的候补。如果防毒面具是保护的唯一方式,则使用全面罩式送风防毒 面具。 呼吸器使用经过测试并通过政府标准如NIOSH(US)或CEN(EU)的呼吸器和零件。 模块9. 理化特性 9.1 基本的理化特性的信息 a) 外观与性状 形状: 粉末 颜色: 白色, 灰白色或米色 b) 气味 无数据资料 c) 气味阈值 无数据资料 d) pH值 无数据资料 e) 熔点/凝固点 无数据资料 f) 沸点、初沸点和沸程 无数据资料 g) 闪点 无数据资料 h) 蒸发速率 无数据资料 i) 易燃性(固体,气体) 无数据资料 j) 高的/低的燃烧性或爆炸性限度 无数据资料 k) 蒸气压 无数据资料 l) 蒸汽密度 无数据资料 m) 密度/相对密度 无数据资料 n) 水溶性 无数据资料 o) n-辛醇/水分配系数 无数据资料 p) 自燃温度 无数据资料 q) 分解温度 无数据资料 r) 粘度 无数据资料 模块10. 稳定性和反应活性 10.1 反应性 无数据资料 10.2 稳定性 无数据资料 10.3 危险反应 无数据资料 10.4 应避免的条件 无数据资料 10.5 不相容的物质 强氧化剂 10.6 危险的分解产物 其它分解产物 - 无数据资料 模块11. 毒理学资料 11.1 毒理学影响的信息 急性毒性 半数致死剂量 (LD50) 经口 - 大鼠 - 56.6 mg/kg 皮肤刺激或腐蚀 无数据资料 眼睛刺激或腐蚀 无数据资料 呼吸道或皮肤过敏 无数据资料 生殖细胞致突变性 无数据资料 致癌性 IARC: 此产品中没有大于或等于 0。1%含量的组分被 IARC鉴别为可能的或肯定的人类致癌物。 生殖毒性 生殖毒性 - 大鼠 - 经口 母体效应:其他影响。 对胚胎或胎儿的影响:胎儿毒性(死亡除外,例如矮小胎儿)。 特定发育异常:肌肉骨骼系统。 特异性靶器官系统毒性(一次接触) 无数据资料 特异性靶器官系统毒性(反复接触) 无数据资料 吸入危险 无数据资料 潜在的健康影响 吸入吸入可能有害。 可能引起呼吸道刺激。 摄入误吞会中毒。 皮肤通过皮肤吸收可能有害。 可能引起皮肤刺激。 眼睛可能引起眼睛刺激。 接触后的征兆和症状 据我们所知,此化学,物理和毒性性质尚未经完整的研究。 附加说明 化学物质毒性作用登记: UV1164800 模块12. 生态学资料 12.1 生态毒性 无数据资料 12.2 持久性和降解性 无数据资料 12.3 潜在的生物累积性 无数据资料 12.4 土壤中的迁移性 无数据资料 12.5 PBT 和 vPvB的结果评价 无数据资料 12.6 其它不良影响 无数据资料 模块13. 废弃处置 13.1 废物处理方法 产品 将剩余的和不可回收的溶液交给有许可证的公司处理。 联系专业的拥有废弃物处理执照的机构来处理此物质。 与易燃溶剂相溶或者相混合,在备有燃烧后处理和洗刷作用的化学焚化炉中燃烧 受污染的容器和包装 按未用产品处置。 模块14. 运输信息 14.1 联合国危险货物编号 欧洲陆运危规: 2811国际海运危规: 2811国际空运危规: 2811 14.2 联合国运输名称 欧洲陆运危规: TOXIC SOLID, ORGANIC, N.O.S. (Risperidone) 国际海运危规: TOXIC SOLID, ORGANIC, N.O.S. (Risperidone) 国际空运危规: Toxic solid, organic, n.o.s. (Risperidone) 14.3 运输危险类别 欧洲陆运危规: 6.1国际海运危规: 6.1国际空运危规: 6.1 14.4 包裹组 欧洲陆运危规: III国际海运危规: III国际空运危规: III 14.5 环境危险 欧洲陆运危规: 否国际海运危规国际空运危规: 否 海洋污染物(是/否): 否 14.6 对使用者的特别提醒 无数据资料 上述信息视为正确,但不包含所有的信息,仅作为指引使用。本文件中的信息是基于我们目前所知,就正 确的安全提示来说适用于本品。该信息不代表对此产品性质的保证。 参见发票或包装条的反面。 模块 15 - 法规信息 N/A 模块16 - 其他信息 N/A |
| 符号 |
GHS02, GHS06, GHS08 |
|---|---|
| 信号词 | Danger |
| 危害声明 | H225-H301 + H311 + H331-H370 |
| 警示性声明 | P210-P260-P280-P301 + P310-P311 |
| 个人防护装备 | Eyeshields;Faceshields;Gloves;type P2 (EN 143) respirator cartridges |
| 危害码 (欧洲) | T: Toxic; |
| 风险声明 (欧洲) | R25 |
| 安全声明 (欧洲) | S28-S36-S45 |
| 危险品运输编码 | 3249 |
| RTECS号 | UV1164800 |
| 包装等级 | II |
| 危险类别 | 6.1(a) |
| 海关编码 | 2934999090 |

搜索







