利托那韦
-
中文名利托那韦
-
英文名Ritonavir
-
中文别名瑞托纳韦 | N-[(2S,3S,5R)-3-羟基-5-[[(2S)-3-甲基-2-[[甲基-[(2-异丙基-1,3-噻唑-4-基)甲基]氨基甲酰]氨基]丁酰]氨基]-1,6-二苯基-己-2-基]氨基甲酸 5-噻唑基甲基酯
-
英文别名
[5S-(5R*,8R*,10R*,11R*)]-10-Hydroxy-2-methyl-5-(1-methylethyl)-1-[2-(1-methylethyl)-4-thiazolyl]-3,6-dioxo-8,11-bis(phenylmethyl)-2,4,7,12-tetraazatridecan-13-oic acid 5-thiazolylmethyl ester Norvir Ritonavir EINECS 208-127-9 N-[(2S,4S,5S)-4-Hydroxy-1,6-diphenyl-5-{[(1,3-thiazol-5-ylmethoxy)carbonyl]amino}hexan-2-yl]-N-{[(2-isopropyl-1,3-thiazol-4-yl)methyl](methyl)carbamoyl}-L-valinamide Ritonavi Carbamic acid, N-[(1S,2S,4S)-2-hydroxy-4-[[(2S)-3-methyl-2-[[[methyl[[2-(1-methylethyl)-4-thiazolyl]methyl]amino]carbonyl]amino]-1-oxobutyl]amino]-5-phenyl-1-(phenylmethyl)pentyl]-, 5-thiazolylmethyl ester ABT-538 (1E,2S)-N-[(2S,4S,5S)-4-Hydroxy-5-{(E)-[hydroxy(1,3-thiazol-5-ylmethoxy)methylene]amino}-1,6-diphenyl-2-hexanyl]-2-[(E)-(hydroxy{[(2-isopropyl-1,3-thiazol-4-yl)methyl](methyl)amino}methylene)amino]-3-methylbutanimidic acid 1,3-Thiazol-5-ylmethyl-[(1S,2S,4S)-1-benzyl-2-hydroxy-4-({(2S)-3-methyl-2-[(methyl{[2-(1-methylethyl)-1,3-thiazol-4-yl]methyl}carbamoyl)amino]butanoyl}amino)-5-phenylpentyl]carbamat N-[(1S,3S,4S)-1-benzyl-3-hydroxy-5-phenyl-4-{[(1,3-thiazol-5-ylmethoxy)carbonyl]amino}pentyl]-N-(methyl{[2-(1-methylethyl)-1,3-thiazol-4-yl]methyl}carbamoyl)-L-valinamide [(1S,2S,4S)-1-benzyl-2-hydroxy-4-({(2S)-3-méthyl-2-[(méthyl{[2-(1-méthyléthyl)-1,3-thiazol-4-yl]méthyl}carbamoyl)amino]butanoyl}amino)-5-phénylpentyl]carbamate de 1,3-thiazol-5-ylméthyle Butanimidic acid, N-[(1S,3S,4S)-3-hydroxy-4-[[(1E)-hydroxy(5-thiazolylmethoxy)methylene]amino]-5-phenyl-1-(phenylmethyl)pentyl]-2-[[(1E)-hydroxy[methyl[[2-(1-methylethyl)-4-thiazolyl]methyl]amino]methylene]amino]-3-methyl-, (1E,2S)- N-[(2S,4S,5S)-4-Hydroxy-1,6-diphenyl-5-{[(1,3-thiazol-5-ylmethoxy)carbonyl]amino}-2-hexanyl]-N-{[(2-isopropyl-1,3-thiazol-4-yl)methyl](methyl)carbamoyl}-L-valinamide carbamic acid, [(1S,2S,4S)-2-hydroxy-4-[[(2S)-3-methyl-2-[[[methyl[[2-(1-methylethyl)-4-thiazolyl]methyl]amino]carbonyl]amino]-1-oxobutyl]amino]-5-phenyl-1-(phenylmethyl)pentyl]-, 5-thiazolylmethyl es N-[(2S,4S,5S)-4-hydroxy-1,6-diphenyl-5-{[(1,3-thiazol-5-ylmethoxy)carbonyl]amino}hexan-2-yl]-N2-(methyl{[2-(propan-2-yl)-1,3-thiazol-4-yl]methyl}carbamoyl)-L-valinamide Liponavir Core 1,3-thiazol-5-ylmethyl [(1S,2S,4S)-1-benzyl-2-hydroxy-4-({(2S)-3-methyl-2-[(methyl{[2-(1-methylethyl)-1,3-thiazol-4-yl]methyl}carbamoyl)amino]butanoyl}amino)-5-phenylpentyl]carbamate A-84538 ABT-538 Abbott 84538 Norvi (2S,3S,5S)-5-[N-[N-[[N-methyl-N-[(2-isopropyl-4-thiazolyl)methyl]amino]carbonyl]valinyl]amino]-2-[N-[(5-thiazolyl)methoxycarbonyl]amino]-1,6-diphenyl-3-hydroxyhexane RITONA MFCD04115732 carbamic acid, [(1S,2S,4S)-2-hydroxy-4-[[(2S)-3-methyl-2-[[[methyl[[2-(1-methylethyl)-4-thiazolyl]methyl]amino]carbonyl]amino]-1-oxobutyl]amino]-5-phenyl-1-(phenylmethyl)pentyl]-, 5-thiazolylmethyl ester -
常用名利托那韦
-
C A S号155213-67-5
-
密度1.2±0.1 g/cm3
-
沸点947.0±65.0 °C at 760 mmHg
-
熔点120-122°C
-
化学式C37H48N6O5S2
-
结构式
-
闪点526.6±34.3 °C
-
分子量720.944
-
精确质量720.312744
-
P S A202.26000
-
外观形状白色粉末
-
储存条件-20°C Freezer
-
稳定性
-
水溶解性
-
形态结晶体
-
H L B值
-
粘度
-
PH值
生产方法1:化合物(Ⅰ)溶于二氯甲烷,在-15℃和氮气保护下加入化合物(Ⅱ)和三乙胺的二氯甲烷溶液,搅拌2h,得到的混合液中含化合物(Ⅲ),直接用于下步反应。
往上述反应液中缓慢加入三乙胺,在-15~-13℃,将得到的混合液加到三光气的二氯甲烷溶液中,反应1.5h。缓慢加入化合物(Ⅳ)的二氯甲烷溶液,反应1h。加入水,分出有机层,用10%柠檬酸水溶液洗,浓缩。剩余物用硅胶提纯,得化合物(V),以化合物(I)计的收率为38%。
化合物(V)溶于乙酸,在钯催化下氢化。过滤,减压浓缩。剩余物溶于水,用氢氧化钠调至Ph=8。用二氯甲烷萃取,萃取液用水洗后,减压浓缩,得到化合物(Ⅵ),直接用于下步反应。
将化合物(Ⅶ)溶于乙酸乙酯,加入碳酸氢钠水溶液,反应后分层。将分出的有机层加到化合物(Ⅵ)的乙酸乙酯溶液,在60℃反应12h。浓缩,加入氨水,搅拌1h。分出有机层,分别用10%碳酸钾和氯化钠水溶液洗。减压浓缩,剩余物用硅胶提纯,得瑞托那韦,以化合物(V)计的收率为27%。
方法2:
推荐文献[8]方法.
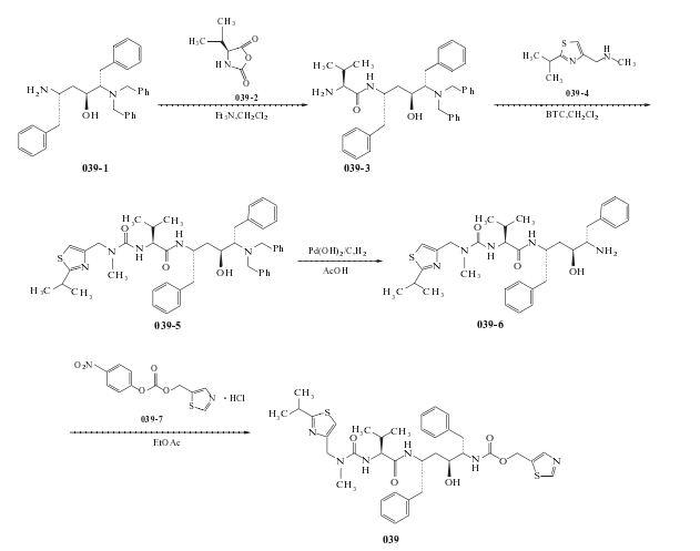
(1).化合物039-3的制备
在反应瓶中加入胺化合物039-1(由文献[9]方法制备,它为立体异构体混合物,其比例为80:3.3:2.1:1.9)15g(32.282mmol)和二氯甲烷60ml,搅拌溶解,在N2保护下降温至-15 ºC ,搅拌加入化合物Val-NCA(039-2)6.9g(48.547mmol),紧接着滴加三乙胺[4.5ml(32.283mmol)]的二氯甲烷(48ml)溶液,于25min滴加完,滴毕,将混合物于-15~-13 ºC 搅拌反应2h(反应2h后用HPLC跟踪,分析出胺039-3含量为70.2%,原料含量4.3%).反应毕,未经进一步纯化,将该反应液直接用于下一步反应.
(2) 化合物039-5的制备
在反应瓶中加入上步制备的含胺化合物039-3的反应液一批量(32.282mmol),再慢慢加入三乙胺26ml(18.654mmol).在另一反应瓶中加入二(三氯甲基)碳酸酯(BTC;三光气)3.5g(11.794mmol)和二氯甲烷65ml,搅拌降温至-15~-13 ºC,在该温度下将上述混合液转至该反应瓶中.在同温度下将反应混合物搅拌反应1.5h[反应1.5h后用HPLC(在叔丁胺中)分析检测结果:原料胺化合物039-3含量为0.41%;中间体异氰酸酯含量为61.3%].反应达终点后,将化合物039-4 5.5g(32.282mmol)、三乙胺6.9ml(49.504mmol)溶于二氯甲烷52ml混合液于20min内,同温度下搅拌加至上述反应混合物中,加毕,继续搅拌反应1h.反应达终点后加水97ml,搅拌充分后静置分层.分取有机相,用10%柠檬酸水溶液洗涤,通过硅藻土过滤,滤液浓缩,得粗制脲化合物039-5,将粗品039-5经硅胶柱快速色谱纯化[洗脱剂:甲苯/乙酸乙酯(6:4
)].纯的039-5 9.4g,两步总收率38%.注:加入化合物039-4反应1h后,用HPLC分析:胺化合物039-3含量7%,而脲化合物039-5含量54%.)
(3)化合物039-6的制备
在加氢釜中(微型釜,配电磁搅拌或振摇搅拌)加入上步制备的化合物039-5 3.5g(4.605mmol)和乙酸31ml,搅拌加入Pd(OH)2/C催化剂5.25g,用N2置换釜内空气3次,用H2置换净N2后充H2(压力4~4.5bar)进行氢化反应,反应温度控制在78~82 ºC.搅拌氢化反应5h[反应5h后取样分析(HPLC法):039-6 52%;单苄基衍生物9.3%]后,将反应液过滤,滤液减压蒸除溶剂,得到的粗品用水35ml溶解,用NaOH调至pH8,用二氯甲烷(15ml*2)提取,分取有机层,用水10ml洗涤,有机相在减压下蒸除溶剂,得到化合物039-6 1.8g(游离碱),未经进一步纯化,直接用于下步反应(用HPLC法对其分析:游离碱胺化合物039-6 54%;单苄基衍生物6%).
(4).(5S,8S,10S,11S)-10-羟基-2-甲基乙基)-1-[2-(1-甲基乙基)-4-噻唑基]-3,6-二氧代-8,11-双(苯基甲基)-2,4,7,12-四氮杂十三-13-酸5-噻唑基甲基酯(利托那韦)(039)的合成
在反应瓶中加入化合物039-7的盐酸盐1.28g (4.03mmol)、乙酸乙酯31ml,搅拌溶解,再加入NaHCO3 370mg(4.40mmol),搅拌片刻,待固体全溶后静置分层,分取有机相备用.
在另一反应瓶中加入上步制备的化合物039-6 1.8g(3.10mmol),再加乙酸乙酯适量溶解,然后将上述制备的039-7的乙酸乙酯溶液加到化合物039-6的乙酸乙酯溶液中,搅拌升温至60 ºC ,该温度下保温反应12h.将反应液浓缩,浓缩液加入氨水,然后搅拌反应1h.出有机层,有机层用10%NaHCO3水溶液(5ml*3)洗涤,再用饱和食盐水5ml洗涤,减压蒸除溶剂,剩余物为039粗品,将其用硅胶柱快速色谱纯化[洗脱剂:乙酸乙酯],标准后处理,得039纯品900mg,两步收率为27%(以化合物039-5计).
|
模块1. 化学品 1.1 产品标识符 : Ritonavir 产品名称 1.2 鉴别的其他方法 A-84538 Abbott 84538
ABT-538 1.3 有关的确定了的物质或混合物的用途和建议不适合的用途 仅供科研用途,不作为药物、家庭备用药或其它用途。 模块2. 危险性概述 2.1 GHS分类 急性毒性, 经口 (类别4) 急性毒性, 吸入 (类别4) 急性毒性, 经皮 (类别4) 2.2 GHS 标记要素,包括预防性的陈述 象形图 警示词警告 危险申明 H302吞咽有害。 H312皮肤接触有害。 H332吸入有害。 警告申明 预防 P261避免吸入粉尘/烟/气体/烟雾/蒸气/喷雾. P264操作后彻底清洁皮肤。 P270使用本产品时不要进食、饮水或吸烟。 P271只能在室外或通风良好之处使用。 P280穿戴防护手套/ 防护服。 措施 P301 + P312如果吞下去了: 如感觉不适,呼救解毒中心或看医生。 P302 + P352如与皮肤接触,用大量肥皂和水冲洗受感染部位. P304 + P340如吸入,将患者移至新鲜空气处并保持呼吸顺畅的姿势休息. P312如感觉不适,呼救中毒控制中心或医生. P322具体措施(见本标签上提供的急救指导)。 P330漱口。 P363沾染的衣服清洗后方可重新使用。 处理 P501将内容物/ 容器处理到得到批准的废物处理厂。 2.3 其它危害物 - 无 模块3. 成分/组成信息 3.1 物 质 : A-84538 别名 Abbott 84538 ABT-538 : C37H48N6O5S2 分子式 : 720.94 g/mol 分子量 组分浓度或浓度范围 Ritonavir - CAS 号155213-67-5 模块4. 急救措施 4.1 必要的急救措施描述 一般的建议 请教医生。 出示此安全技术说明书给到现场的医生看。 吸入 如果吸入,请将患者移到新鲜空气处。 如果停止了呼吸,给于人工呼吸。 请教医生。 皮肤接触 用肥皂和大量的水冲洗。 请教医生。 眼睛接触 用水冲洗眼睛作为预防措施。 食入 切勿给失去知觉者从嘴里喂食任何东西。 用水漱口。 请教医生。 4.2 主要症状和影响,急性和迟发效应 肾毒性作用, 潜在的肝细胞毒性, 恶心, 呕吐, 腹泻, 据我们所知,此化学,物理和毒性性质尚未经完整的研究。 4.3 及时的医疗处理和所需的特殊处理的说明和指示 无数据资料 模块5. 消防措施 5.1 灭火介质 灭火方法及灭火剂 用水雾,耐醇泡沫,干粉或二氧化碳灭火。 5.2 源于此物质或混合物的特别的危害 碳氧化物, 氮氧化物, 硫氧化物 5.3 给消防员的建议 如必要的话,戴自给式呼吸器去救火。 5.4 进一步信息 无数据资料 模块6. 泄露应急处理 6.1 人员的预防,防护设备和紧急处理程序 使用个人防护设备。 防止粉尘的生成。 防止吸入蒸汽、气雾或气体。 保证充分的通风。 避免吸入粉尘。 6.2 环境保护措施 不要让产物进入下水道。 6.3 抑制和清除溢出物的方法和材料 收集、处理泄漏物,不要产生灰尘。 扫掉和铲掉。 存放进适当的闭口容器中待处理。 6.4 参考其他部分 丢弃处理请参阅第13节。 模块7. 操作处置与储存 7.1 安全操作的注意事项 避免接触皮肤和眼睛。 防止粉尘和气溶胶生成。 在有粉尘生成的地方,提供合适的排风设备。 7.2 安全储存的条件,包括任何不兼容性 贮存在阴凉处。 容器保持紧闭,储存在干燥通风处。 7.3 特定用途 无数据资料 模块8. 接触控制和个体防护 8.1 容许浓度 最高容许浓度 没有已知的国家规定的暴露极限。 8.2 暴露控制 适当的技术控制 按照良好工业和安全规范操作。 休息前和工作结束时洗手。 个体防护设备 眼/面保护 带有防护边罩的安全眼镜符合 EN166要求请使用经官方标准如NIOSH (美国) 或 EN 166(欧盟) 检测与批准的设备防护眼部。 皮肤保护 戴手套取 手套在使用前必须受检查。 请使用合适的方法脱除手套(不要接触手套外部表面),避免任何皮肤部位接触此产品. 使用后请将被污染过的手套根据相关法律法规和有效的实验室规章程序谨慎处理. 请清洗并吹干双手 所选择的保护手套必须符合EU的89/686/EEC规定和从它衍生出来的EN 376标准。 身体保护 全套防化学试剂工作服, 防护设备的类型必须根据特定工作场所中的危险物的浓度和含量来选择。 呼吸系统防护 如须暴露于有害环境中,请使用P95型(美国)或P1型(欧盟 英国 143)防微粒呼吸器。如需更高级别防护,请使用OV/AG/P99型(美国)或ABEK-P2型 (欧盟 英国 143) 防毒罐。 呼吸器使用经过测试并通过政府标准如NIOSH(US)或CEN(EU)的呼吸器和零件。 模块9. 理化特性 9.1 基本的理化特性的信息 a) 外观与性状 形状: 固体 b) 气味 无数据资料 c) 气味阈值 无数据资料 d) pH值 无数据资料 e) 熔点/凝固点 无数据资料 f) 起始沸点和沸程 无数据资料 g) 闪点 不适用 h) 蒸发速率 无数据资料 i) 易燃性(固体,气体) 无数据资料 j) 高的/低的燃烧性或爆炸性限度 无数据资料 k) 蒸汽压 无数据资料 l) 蒸汽密度 无数据资料 m) 相对密度 无数据资料 n) 水溶性 无数据资料 o) n-辛醇/水分配系数 无数据资料 p) 自燃温度 无数据资料 q) 分解温度 无数据资料 r) 粘度 无数据资料 模块10. 稳定性和反应活性 10.1 反应性 无数据资料 10.2 稳定性 无数据资料 10.3 危险反应的可能性 无数据资料 10.4 应避免的条件 无数据资料 10.5 不兼容的材料 强氧化剂 10.6 危险的分解产物 其它分解产物 - 无数据资料 模块11. 毒理学资料 11.1 毒理学影响的信息 急性毒性 无数据资料 皮肤刺激或腐蚀 无数据资料 眼睛刺激或腐蚀 无数据资料 呼吸道或皮肤过敏 无数据资料 生殖细胞突变性 无数据资料 致癌性 IARC: 此产品中没有大于或等于 0。1%含量的组分被 IARC鉴别为可能的或肯定的人类致癌物。 生殖毒性 无数据资料 特异性靶器官系统毒性(一次接触) 无数据资料 特异性靶器官系统毒性(反复接触) 无数据资料 吸入危险 无数据资料 潜在的健康影响 吸入吸入有害。 可能引起呼吸道刺激。 摄入误吞对人体有害。 皮肤如果通过皮肤被吸收是有害的。 可能引起皮肤刺激。 眼睛可能引起眼睛刺激。 接触后的征兆和症状 肾毒性作用, 潜在的肝细胞毒性, 恶心, 呕吐, 腹泻, 据我们所知,此化学,物理和毒性性质尚未经完整的研究。 附加说明 化学物质毒性作用登记: XA5310000 模块12. 生态学资料 12.1 生态毒性 无数据资料 12.2 持久存留性和降解性 无数据资料 12.3 潜在的生物蓄积性 无数据资料 12.4 土壤中的迁移性 无数据资料 12.5 PBT 和 vPvB的结果评价 无数据资料 12.6 其它不利的影响 无数据资料 模块13. 废弃处置 13.1 废物处理方法 产品 将剩余的和未回收的溶液交给处理公司。 与易燃溶剂相溶或者相混合,在备有燃烧后处理和洗刷作用的化学焚化炉中燃烧 受污染的容器和包装 作为未用过的产品弃置。 模块14. 运输信息 14.1 联合国危险货物编号 欧洲陆运危规: -国际海运危规: -国际空运危规: - 14.2 联合国(UN)规定的名称 欧洲陆运危规: 非危险货物 国际海运危规: 非危险货物 国际空运危规: 非危险货物 14.3 运输危险类别 欧洲陆运危规: -国际海运危规: -国际空运危规: - 14.4 包裹组 欧洲陆运危规: -国际海运危规: -国际空运危规: - 14.5 环境危险 欧洲陆运危规: 否国际海运危规 海运污染物: 否国际空运危规: 否 14.6 对使用者的特别提醒 无数据资料 模块 15 - 法规信息 N/A 模块16 - 其他信息 N/A |
| 符号 |
GHS07 |
|---|---|
| 信号词 | Warning |
| 危害声明 | H302 + H312 + H332 |
| 警示性声明 | P261-P280-P301 + P312 + P330 |
| 危害码 (欧洲) | Xi |
| 风险声明 (欧洲) | R36/38:Irritating to eyes and skin . |
| 安全声明 (欧洲) | 26-37/39 |
| 危险品运输编码 | NONH for all modes of transport |
| RTECS号 | XA5310000 |
| 海关编码 | 2942000000 |

搜索









