司帕沙星
-
中文名斯帕沙星
-
英文名Sparfloxacin
-
中文别名5-氨基-1-环丙基-7-(顺式-3,5-二甲基-1-哌嗪基)-6,8-二氟-1,4-二氢-4-氧代-3-喹啉羧酸 | 磷酸丙吡胺 | 5-氨基-1-环丙基-7-(cis-3,5-二甲基-1-哌嗪基)-6,8-二氟-1,4-二氢-4-氧代喹啉-3-羧酸 | 顺-5-氨基-1-环丙基-6,8-二氟一1,4-二氢-7-(3,5-二甲基-1-哌嗪基)-4-氧代-3-喹啉羧酸 | 司帕沙星
-
英文别名
3-Quinolinecarboxylic acid, 5-amino-1-cyclopropyl-7-[(3R,5S)-3,5-dimethyl-1-piperazinyl]-6,8-difluoro-1,4-dihydro-4-oxo- 5-Amino-1-cyclopropyl-7-[(3R,5S)-3,5-dimethyl-1-piperazinyl]-6,8-difluoro-4-oxo-1,4-dihydro-3-quinolinecarboxylic acid 5-amino-1-cyclopropyl-7-(3,5-dimethyl-1-piperazinyl)-6,8-difluoro-1,4-dihydro-4-oxo-3-quinolinecarboxylic acid Sparcin PD 1315-1 Zagam at4140 5-amino-1-cyclopropyl-6,8-difluoro-7-(cis-3,5-dimethyl-1-piperazinyl)-1,4-dihydro-4-oxoquinoline-3-carboxylic acid SULFAMIC ACID SPARFLOXACIN (BASE AND/OR UNSPECIFIED SALTS) (cis)-5-amino-1-cyclopropyl-7-(3,5-dimethyl-1-piperazinyl)-6,8-difluoro-1,4-dihydro-4-oxo-3-quinolinecarboxylic acid Spara 5-amino-1-cyclopropyl-7-[(3R,5S)-3,5-dimethylpiperazin-1-yl]-6,8-difluoro-4-oxo-1,4-dihydroquinoline-3-carboxylic acid 3-QUINOLINECARBOXYLIC ACID, 5-AMINO-1-CYCLOPROPYL-7-(3,5-DIMETHYL-1-PIPERAZINYL)-6,8-DIFLUORO-1,4-DIHYDRO-4-OXO-, CIS- ci978 5-amino-1-cyclopropyl-7-((3R,5S)-3,5-dimethylpiperazin-1-yl)-6,8-difluoro-4-oxo-1,4-dihydroquinoline-3-carboxylic acid MFCD00869619 Sparfloxacin Sparfloxaci SPARFLOXACIN, ANTIBIOTIC FOR CULTURE MEDIA USE ONLY cis-5-amino-1-cyclopropyl-7-(3,5-dimethyl-1-piperazinyl)-6,8-difluoro-1,4-dihydro-4-oxo-3-quinoline carboxylic acid Parox -
常用名司帕沙星
-
C A S号110871-86-8
-
密度1.4±0.1 g/cm3
-
沸点640.4±55.0 °C at 760 mmHg
-
熔点265°C
-
化学式C19H22F2N4O3
-
结构式
1、摩尔折射率:96.9
2、摩尔体积(cm3/mol):273.2
3、等张比容(90.2K):761.1
4、表面张力(dyne/cm):60.2
5、介电常数:无可用的
6、极化率(10-24cm3):38.41
7、单一同位素质量:392.165997 Da
8、标称质量:392 Da
9、平均质量:392.3998 Da
-
闪点341.1±31.5 °C
-
分子量392.400
-
精确质量392.165985
-
P S A100.59000
-
外观形状淡黄色粉末
-
储存条件
密封储存,储存于阴凉、干燥的库房。
-
稳定性
-
水溶解性
-
形态浅黄色粉末
-
H L B值
-
粘度
-
PH值
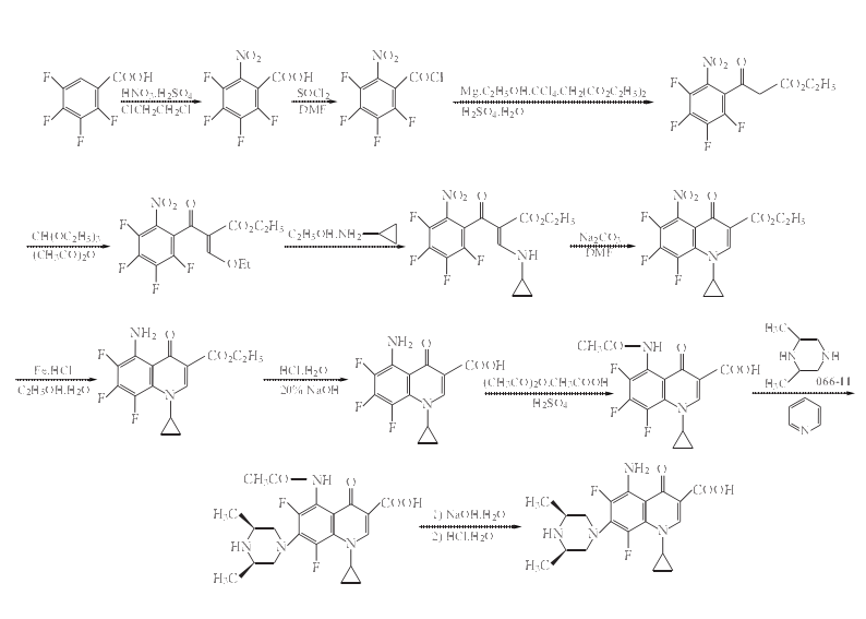
1. 2,3,4,5-四氟苯甲酸溶于1,2-二氯乙烷,在60℃滴加发烟硝酸和浓硫酸(1:1,体积比)的混合液,在70℃反应后放置过夜。将反应液倾入水中,静置分层。水层用二氯乙烷提取,提取液浓缩,残液用四氢呋喃重结晶,得硝化产物(I),收率60%。
该硝化产物和氯化亚砜及数滴二甲基甲酰胺一起,回流至固体全溶。蒸出未反应的氯化亚砜,残液溶于甲苯,在-5-0℃下加到镁条和无水乙醇、四氯化碳、丙二酸二乙酯及甲苯的混合液中,反应后室温过夜。倾人冰水和浓盐酸的混合液,静置分层。水层用甲苯提取。提取液用饱和盐水洗,干燥,减压浓缩。往残液中加入水和浓硫酸,回流,冷却。用二氯甲烷提取,提取液用饱和盐水洗,干燥,浓缩得酯化产物(Ⅱ),收率90%。
酯化产物(1I)、原甲酸三乙酯和醋酐,一起回流,减压浓缩得缩合产物 (Ⅲ),收率95%。
将(Ⅲ)、乙醇和环丙胺,一起回流。回收乙醇,再加入二甲基甲酰胺和无水碳酸钠,90℃反应。冷却,过滤,得环合产物(Ⅳ),收率71%。
铁粉、水和浓盐酸回流,冷至85℃滴加环合产物(Ⅳ)的乙醇溶液,回流。热滤,用乙醇洗铁泥。滤液和洗液合并,蒸出乙醇。冷却,过滤,乙醇重结晶,得还原产物(V),收率74.8%。
还原产物(V)在6mol/L盐酸中回流,冷至室温用20%氢氧化钠调至中性。冷却,过滤,水洗,用乙醇重结晶,得水解产物(Ⅵ),收率95%。
水解产物(Ⅵ)、醋酐和醋酸混合,加数滴浓硫酸,回流。减压浓缩后水洗,用氯仿重结晶,得酰化产物(Ⅶ),收率90%。酰化产物(Ⅶ)、顺2,6-二甲基哌嗪和吡啶,一起回流。浓缩至干后水洗,乙醇重结晶,得缩合产物(Ⅷ),收率84%。
缩合产物(Ⅷ)和5%氢氧化钠于110℃下反应。用水稀释,稀盐酸调至Ph=9。过滤,用氨水重结晶,得司氟沙星,收率91%,熔点267~270℃(分解)。
2. 2,3,4,5-四氟-6-硝基苯甲酸的制备
在反应瓶中加入2,3,4,5-四氟苯甲酸50g(0.258mol)和二氯乙烷200ml,搅拌加热至60 ºC,滴加发烟硝酸50ml与浓H2SO450ml混合液,加毕,于70 ºC搅拌反应5.5h(TLC跟踪)。放置过夜。将反应混合物倒入冰水中,静置分层,水层用1,2-二氯乙烷(20ml×3)提取,合并有机层,减压蒸除二氯乙烷(回收),剩余物用THF重结晶得淡黄色粉末2,3,4,5-四氟-6-硝基苯甲酸37.0g,收率60%,mp135~136 ºC。
3. 2,3,4,5-四氟-6-硝基苯甲酰乙酸乙酯的制备
在反应瓶中加入2,3,4,5-四氟-6-硝基苯甲酸64.2g(0.27mol)、氯化亚砜29ml(0.4mol),搅拌,加入5滴DMF,加热回流直至固体全部溶解,蒸馏回收未反应的氯化亚砜,剩余物为68.6g,收率98.7%。
在干燥的反应瓶中加入无水乙醇25ml、四氯化碳2ml和干燥镁条6.8g(0.28mol),搅拌,当反应开始时加入丙二酸二乙酯43.2g(0.27mol)与无水乙醇25ml、甲苯100ml的混合液,然后在50~60 ºC反应直至完全,将反应液冷至-5~0 ºC。加入剩余物与甲苯20ml的混合液。加毕,在-5~0 ºC搅拌1h。置于室温过夜。将反应液倒入冰水100ml及浓盐酸10ml混合液中,静置分层。水层用甲苯(40ml×2)提取,合并甲苯层,饱和食盐水洗,无水Na2SO4干燥,过滤,滤液减压回收甲苯#得二酯化合物。向其中加水100ml及浓H2SO40.2ml,搅拌回流5h。冷却。用二氯甲烷(3ml×3),提取,合并提取液,饱和食盐水洗,无水Na2SO4干燥,过滤,滤液蒸除二氯甲烷,得黑色油状物2,3,4,5-四氟-6-硝基苯甲酰乙酸乙酯74.0g,收率90%,直接用于下步反应,不需进一步纯化。
4. a-(2,3,4,5-四氟-6-硝基苯甲酰)-β-乙氧基丙烯酸乙酯的制备
将2,3,4,5-四氟-6-硝基苯甲酰乙酸乙酯35g(0.113mol)、原甲酸三乙酯29ml(0.174mol)和乙酸酐250ml加到反应瓶中,搅拌回流3h。减压浓缩得a-(2,3,4,5-四氟-6-硝基苯甲酰)-β-乙氧基丙烯酸乙酯39.2g,收率95.0%。
5. 1-环丙基-6,7,8-环丙基-三氟-1,4-二氢-5-硝基-4-氧代喹啉-3-羧酸乙酯的制备
在反应瓶中加入39.0g(0.107mol)、乙醇100ml、环丙胺6.2g(0.109mol),搅拌回流(TLC跟踪),3h反应完毕,蒸除乙醇,得剩余物,不经纯化,直接向其中加入DMF200ml、无水Na2CO328.4g(0.268mol)于90 ºC搅拌反应3h(用TLC跟踪,一般3h反应毕),冷却,过滤,得27.1g,收率71%,mp263~265 ºC。
6. 5-氨基-1-环丙基-6,7,8-三氟-1,4-二氢-4-氧代喹啉-3-羧酸乙酯
在反应瓶中加入水200ml、铁粉86.1g(1.54mol),搅拌下滴加浓盐酸15ml,加热回流15min,冷至85 ºC,滴加1-环丙基-6,7,8-环丙基-三氟-1,4-二氢-5-硝基-4-氧代喹啉-3-羧酸乙酯的乙醇溶液【21.9g(61.5mmol)1-环丙基-6,7,8-环丙基-三氟-1,4-二氢-5-硝基-4-氧代喹啉-3-羧酸乙酯溶于500ml乙醇】,搅拌回流6h(TLC跟踪)。热过滤,铁泥用乙醇(20ml×3)洗。合并洗液和滤液,浓缩回收乙醇,冷却#过滤,固体
用乙醇重结晶,得5-氨基-1-环丙基-6,7,8-三氟-1,4-二氢-4-氧代喹啉-3-羧酸乙酯15.0g,收率74.8%,mp218.5~220.5 ºC。
7. 5-氨基-1-环丙基-6,7,8-三氟-1,4-二氢-4-氧代喹啉-3-羧酸的制备
在反应瓶中加入5-氨基-1-环丙基-6,7,8-三氟-1,4-二氢-4-氧代喹啉-3-羧酸乙酯19.7g(60.4mol)和6mol/L盐酸100ml,搅拌回流2h(TLC跟踪)。冷至温,用20%NaOH溶液调至pH中性,冷却,过滤,滤饼用水洗,乙醇重结晶得5-氨基-1-环丙基-6,7,8-三氟-1,4-二氢-4-氧代喹啉-3-羧酸17.1g,收率95%,mp274.5~276 ºC。
8. 5-乙酰氨基-1-环丙基-6,7,8-三氟-1,4-二氢-4-氧代喹啉-3-羧酸的制备
在反应瓶中加入5-氨基-1-环丙基-6,7,8-三氟-1,4-二氢-4-氧代喹啉-3-羧酸10g(33.6mmol)、乙酸酐20g(196mmol)、乙酸200ml,加5滴浓H2SO4,搅拌下回流1.5h(TLC跟踪)。减压浓缩,剩余物用水洗,氯仿重结晶,得5-乙酰氨基-1-环丙基-6,7,8-三氟-1,4-二氢-4-氧代喹啉-3-羧酸10.3g,收率90.0%,mp247~248 ºC(文献【12】报道mp247~248 ºC)。
9. 5-乙酰氨基-1-环丙基-6,8-二氟-1,4-二氢-7-(顺-3,5-二甲基-1-哌嗪基)-4-氧代喹啉-3-羧酸的制备
在反应瓶中加入5-乙酰氨基-1-环丙基-6,7,8-三氟-1,4-二氢-4-氧代喹啉-3-羧酸3.0g(8.82mmol)、顺-2,6-二甲基哌嗪1.3g(11.4mmol)和吡啶20ml,搅拌回流2h(TLC跟踪)。浓缩至干,剩余物用水洗,乙醇重结晶,得5-乙酰氨基-1-环丙基-6,8-二氟-1,4-二氢-7-(顺-3,5-二甲基-1-哌嗪基)-4-氧代喹啉-3-羧酸3.3g,收率84%,mp262~265 ºC(分解)。【文献【12】报道mp262~266ºC(分解)】。
10. 司氟沙星的合成
在反应瓶中加入5-乙酰氨基-1-环丙基-6,8-二氟-1,4-二氢-7-(顺-3,5-二甲基-1-哌嗪基)-4-氧代喹啉-3-羧酸1.8g(4.14mmol)和5%NaOH溶液10ml,于110 ºC搅拌反应1h。用水稀释,用稀盐酸调至Ph9,过滤,用氨水重结晶,得司氟沙星1.5g,收率91%,mp267~270 ºC(分解)【文献【12】报道mp266~269 ºC(分解)】。
|
司帕沙星
修改号码:4
模块1. 化学品 产品名称: Sparfloxacin 修改号码: 4 模块2. 危险性概述 GHS分类 物理性危害未分类
健康危害未分类 环境危害未分类 GHS标签元素 图标或危害标志无 信号词无信号词 危险描述无 防范说明无 模块3. 成分/组成信息 单一物质/混和物单一物质 化学名(中文名):司帕沙星 百分比: >98.0%(LC)(T) CAS编码: 110871-86-8 俗名: 5-Amino-1-cyclopropyl-7-(cis-3,5-dimethyl-1-piperazinyl)-6,8-difluoro-1,4- dihydro-4-oxoquinoline-3-carboxylic Acid 分子式: C19H22F2N4O3 模块4. 急救措施 吸入: 将受害者移到新鲜空气处,保持呼吸通畅,休息。若感不适请求医/就诊。 皮肤接触: 立即去除/脱掉所有被污染的衣物。用水清洗皮肤/淋浴。 若皮肤刺激或发生皮疹:求医/就诊。 眼睛接触:用水小心清洗几分钟。如果方便,易操作,摘除隐形眼镜。继续清洗。 如果眼睛刺激:求医/就诊。 食入: 若感不适,求医/就诊。漱口。 紧急救助者的防护:救援者需要穿戴个人防护用品,比如橡胶手套和气密性护目镜。 模块5. 消防措施 合适的灭火剂:干粉,泡沫,雾状水,二氧化碳 特殊危险性:小心,燃烧或高温下可能分解产生毒烟。 司帕沙星 修改号码:4 模块5. 消防措施 特定方法:从上风处灭火,根据周围环境选择合适的灭火方法。 非相关人员应该撤离至安全地方。 周围一旦着火:如果安全,移去可移动容器。 消防员的特殊防护用具:灭火时,一定要穿戴个人防护用品。 模块6. 泄漏应急处理 个人防护措施,防护用具, 使用个人防护用品。远离溢出物/泄露处并处在上风处。 紧急措施:泄露区应该用安全带等圈起来,控制非相关人员进入。 环保措施:防止进入下水道。 控制和清洗的方法和材料:清扫收集粉尘,封入密闭容器。注意切勿分散。附着物或收集物应该立即根据合适的 法律法规处置。 模块7. 操作处置与储存 处理 技术措施:在通风良好处进行处理。穿戴合适的防护用具。防止粉尘扩散。处理后彻底清洗双手 和脸。 注意事项:如果粉尘或浮质产生,使用局部排气。 操作处置注意事项:避免接触皮肤、眼睛和衣物。 贮存 储存条件:保持容器密闭。存放于凉爽、阴暗处。 远离不相容的材料比如氧化剂存放。 光敏 包装材料:依据法律。 模块8. 接触控制和个体防护 工程控制:尽可能安装封闭体系或局部排风系统,操作人员切勿直接接触。同时安装淋浴器和洗 眼器。 个人防护用品 呼吸系统防护:防尘面具。依据当地和政府法规。 手部防护:防护手套。 眼睛防护:安全防护镜。如果情况需要,佩戴面具。 皮肤和身体防护:防护服。如果情况需要,穿戴防护靴。 模块9. 理化特性 固体 外形(20°C): 外观: 晶体-粉末 颜色: 浅黄色-黄色 气味:无资料 pH:无数据资料 熔点: 265°C (分解) 沸点/沸程无资料 闪点:无资料 爆炸特性 爆炸下限:无资料 爆炸上限:无资料 密度:无资料 溶解度:微溶于: 乙酸 log水分配系数 = -0.31 司帕沙星 修改号码:4 模块10. 稳定性和反应性 化学稳定性:一般情况下稳定。 危险反应的可能性:未报道特殊反应性。 须避免接触的物质氧化剂 危险的分解产物: 一氧化碳, 二氧化碳, 氮氧化物 (NOx), 氟化氢 模块11. 毒理学信息 急性毒性: orl-rat LD50:>5 g/kg ipr-rat LD50:>2 g/kg scu-rat LD50:>2 g/kg 对皮肤腐蚀或刺激:无资料 对眼睛严重损害或刺激:无资料 生殖细胞变异原性:无资料 致癌性: IARC =无资料 NTP =无资料 生殖毒性:无资料 RTECS 号码: VB1986500 模块12. 生态学信息 生态毒性: 鱼类:无资料 甲壳类:无资料 藻类:无资料 残留性 / 降解性:无资料 潜在生物累积 (BCF):无资料 土壤中移动性 log水分配系数: -0.31 土壤吸收系数 (Koc):无资料 亨利定律无资料 constant(PaM3/mol): 模块13. 废弃处置 如果可能,回收处理。请咨询当地管理部门。建议在可燃溶剂中溶解混合,在装有后燃和洗涤装置的化学焚烧炉中 焚烧。废弃处置时请遵守国家、地区和当地的所有法规。 模块14. 运输信息 联合国分类:与联合国分类标准不一致 UN编号:未列明 模块15. 法规信息 《危险化学品安全管理条例》(2002年1月26日国务院发布,2011年2月16日修订): 针对危险化学品的安全使用、 生产、储存、运输、装卸等方面均作了相应的规定。 司帕沙星 修改号码:4 模块16 - 其他信息 N/A |
| 符号 |
GHS07 |
|---|---|
| 信号词 | Warning |
| 危害声明 | H315-H319-H335 |
| 警示性声明 | P261-P305 + P351 + P338 |
| 个人防护装备 | dust mask type N95 (US);Eyeshields;Gloves |
| 危害码 (欧洲) | Xi:Irritant; |
| 风险声明 (欧洲) | R36/37/38 |
| 安全声明 (欧洲) | S26-S36 |
| 危险品运输编码 | NONH for all modes of transport |
| WGK德国 | 2 |
| RTECS号 | VB1986500 |

搜索







