托雷斯萘
Tolrestat 是一种有效的,可口服的 aldose reductase 抑制剂,IC50 值为 35 nM。
产品名称
-
中文名托瑞司他
-
英文名Tolrestat
-
中文别名托雷斯萘 | N-[[6-甲氧基-5-(三氟甲基)-1-萘基]硫代甲基]-N-甲基甘氨酸
-
英文别名
[(6-Methoxy-5-trifluoromethyl-naphthalene-1-carbothioyl)-methyl-amino]-acetic acid 2-[[6-methoxy-5-(trifluoromethyl)naphthalene-1-carbothioyl]-methylamino]acetic acid N-{[6-Methoxy-5-(trifluoromethyl)-1-naphthyl]carbothioyl}-N-methylglycine N-{[6-Methoxy-5-(trifluoromethyl)-1-naphthyl]carbonothioyl}-N-methylglycine N-[[6-Methoxy-5-(trifluoromethyl)-1-naphthalenyl]thioxomethyl]-N-methylglycine AY-27,773 Tolrestatum [Latin] N-(6-Methoxythio-5-(trifluoromethyl)-1-naphthoyl)sarcosine Alredase N-{[6-methoxy-5-(trifluoromethyl)naphthalen-1-yl]carbothioyl}-N-methylglycine Tolrestatum Tolrestat Glycine, N-[[6-methoxy-5-(trifluoromethyl)-1-naphthalenyl]thioxomethyl]-N-methyl- -
常用名托雷斯萘
-
C A S号82964-04-3
物理性质
-
密度1.4±0.1 g/cm3
-
沸点498.1±55.0 °C at 760 mmHg
-
熔点164-165°
-
化学式C16H14F3NO3S
-
结构式
1、 摩尔折射率:87.59
2、 摩尔体积(cm3/mol):255.3
3、 等张比容(90.2K):678.6
4、 表面张力(dyne/cm):49.9
5、 极化率(10-24cm3):34.72
-
闪点255.0±31.5 °C
-
分子量357.348
-
精确质量357.064636
-
P S A81.86000
-
外观形状
-
储存条件
-
稳定性
-
水溶解性
-
形态
-
H L B值
-
粘度
-
PH值
作用/用途
Tolrestat 是一种有效的,可口服的 aldose reductase 抑制剂,IC50 值为 35 nM。
制备方法
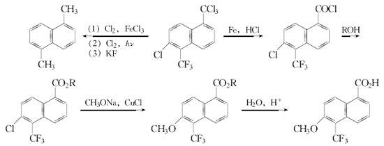
5-三氟甲基-6-甲氧基1-萘甲酸经氯化为酰氯,再和N-甲基甘氨酸甲酯盐酸盐在吡啶中缩合。缩合产物在吡啶中,用五硫化二磷硫化后,再在甲醇中,用氢氧化钠水溶液进行水解,酸化即得托瑞司他。
其原料5-三氟甲基-6-甲氧基-1-萘甲酸可以1,5-二甲基萘出发,经氯化、氟化、水解、酯化、甲氧基化和水解得到。
也可以5-甲基-1-萘甲酸出发,经氯化、氟化等得到。
安全提醒
MSDS
原料简介
应用范围
毒性和生态
安全信息
是否危险品
危险性
危险类别码
危险等级
触发危险方式
安全技术说明书
环境影响程度
包装与储运
相关供应商

搜索








