马来酸伊索拉定
-
中文名马来酸伊索拉定
-
英文名Irsogladine Maleate
-
中文别名2,4-二氨基-6-(2,5-二氯苯基)-1,3,5-三嗪顺丁烯二酸盐 | 2,4-二氨基-6-(2,5-二氯苯基)-1,3,5-三嗪顺丁烯二酸 | 2,4-二氨基-6-(2,5-二氯苯基)-1,3,5-三嗪顺丁烯二酸盐 | 马来酸依索拉啶
-
英文别名
1,3,5-Triazine-2,4-diamine, 6-(2,5-dichlorophenyl)-, (2Z)-2-butenedioate (1:1) MN 1695 {Maleate} MFCD00873566 Irsogladine maleate 6-(2,5-Dichlorophenyl)-1,3,5-triazine-2,4-diamine (2Z)-2-butenedioate (1:1) 6-(2,5-Dichlorophenyl)-1,3,5-triazine-2,4-diamine (2Z)-but-2-enedioate (1:1) (Z)-but-2-enedioic acid,6-(2,5-dichlorophenyl)-1,3,5-triazine-2,4-diamine -
常用名马来酸伊索拉定
-
C A S号84504-69-8
-
密度N/A
-
沸点552.2ºC at 760 mmHg
-
熔点181-182°C
-
化学式C13H11Cl2N5O4
-
结构式
-
闪点287.8ºC
-
分子量372.164
-
精确质量371.018799
-
P S A165.31000
-
外观形状
-
储存条件Desiccate at RT
-
稳定性
-
水溶解性
-
形态白色或类白色结晶粉末
-
H L B值
-
粘度
-
PH值
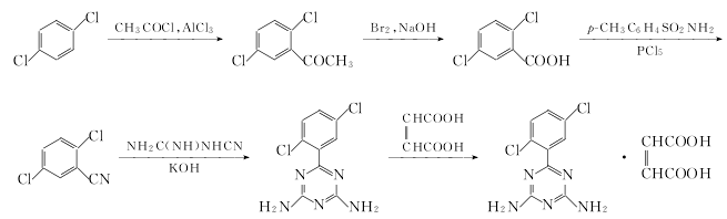
1. 2,5-二氯苯乙酮的制备
在反应瓶中加入对二氯苯14.7g(0.1mol)和无水三氯化铝26.7g(0.2mol),搅拌热熔融,于室温或60~70ºC滴加氯乙酰8.6g(0.1mol),加毕#加热至115ºC,在该温度下搅拌反应6h.冷却后倾入100ml,冰水中,分出有机层,水层用氯仿提取,合并有机层用无水Na2SO4干燥,过滤,滤液蒸除溶剂,剩余液减压分馏,取152~154ºC/1.3kPa馏分,得浅黄色油状液体馏分,得浅黄色油状液体2,5-二氯苯乙酮15.7g,收率83.1%.
2. 2,5-二氯苯甲酸的制备
在反应瓶中加入NaOH40g(0.1mol)和水200ml,搅拌溶解,冷却至0~5ºC,滴加液溴32g(0.2mol),再滴加2.5-二氯苯乙酮18.9g(0.1mol),滴毕,室温搅拌2h.分去溴仿层,水层用盐酸调pH至3,过滤,水洗,干燥得浅黄色固体,用乙醇重结晶,得白色结晶2,5-二氯苯甲酸14.9g,收率78.9%,mp154~156ºC.
3. 2,5-二氯苄腈的制备
在反应瓶中加入2,5-二氯苯甲酸19.1g(0.1mol)、对甲苯磺酰胺34.2g(0.2mol)和五氯化磷20.9g(0.1mol),搅拌均匀后加热至220ºC,在该温度下反应1h.冷却,加入热水100ml,析晶后,过滤,水洗,干燥得黄色固体,用乙醇重结晶,得白色结晶2,5-二氯苄腈14.8g,收率86.3%,mp128~130ºC.
4. 伊索拉定的制备
在反应瓶中加入2,5-二氯苄腈17.2g(0.1mol)、氰基胍12.6g(0.15mol)和KOH5.6g(0.1mol),再加入羟丙基甲醚100ml,搅拌回流3h.冷却,倾入300ml水中,过滤,水洗,干燥得淡黄色固体,用乙醇重结晶得白色固体(结晶)伊索拉定11.4g,收率66.3%,mp268~269ºC.
5. 马来酸伊索拉定的合成
在反应瓶中加入伊索拉定25.6g(0.1mol)、马来酸11.6g(0.1mol)和羟丙基甲醚200ml#搅拌回流1h.冷却,过滤,水洗,干燥得淡黄色固体,用乙醇重结晶得白色结晶马来酸伊索拉定31.0g,收率83.3%,mp183~185ºC(分解).
|
马来酸伊索拉定
修改号码:5
模块1. 化学品 产品名称: Irsogladine Maleate 修改号码: 5 模块2. 危险性概述 GHS分类 物理性危害未分类
健康危害 急性毒性(经口) 第5级 环境危害未分类 GHS标签元素 图标或危害标志无 信号词警告 危险描述吞咽可能有害。 防范说明 [急救措施] 若感不适:呼叫解毒中心/医生。 模块3. 成分/组成信息 单一物质/混和物单一物质 化学名(中文名):马来酸伊索拉定 百分比: >98.0%(LC)(T) CAS编码: 84504-69-8 俗名: 2,4-Diamino-6-(2,5-dichlorophenyl)-1,3,5-triazine Maleate 分子式: C9H7Cl2N5·C4H4O4 模块4. 急救措施 吸入: 将受害者移到新鲜空气处,保持呼吸通畅,休息。若感不适立即呼叫解毒中心/医生。 皮肤接触: 立即去除/脱掉所有被污染的衣物。用大量肥皂和水轻轻洗。 若皮肤刺激或发生皮疹:求医/就诊。 眼睛接触:用水小心清洗几分钟。如果方便,易操作,摘除隐形眼镜。继续清洗。 如果眼睛刺激:求医/就诊。 食入: 若感不适,呼叫解毒中心/医生。漱口。 紧急救助者的防护:救援者需要穿戴个人防护用品,比如橡胶手套和气密性护目镜。 马来酸伊索拉定 修改号码:5 模块5. 消防措施 合适的灭火剂:干粉,泡沫,雾状水,二氧化碳 特殊危险性:小心,燃烧或高温下可能分解产生毒烟。 特定方法:从上风处灭火,根据周围环境选择合适的灭火方法。 非相关人员应该撤离至安全地方。 周围一旦着火:如果安全,移去可移动容器。 消防员的特殊防护用具:灭火时,一定要穿戴个人防护用品。 模块6. 泄漏应急处理 个人防护措施,防护用具, 使用个人防护用品。远离溢出物/泄露处并处在上风处。 紧急措施:泄露区应该用安全带等圈起来,控制非相关人员进入。 环保措施:防止进入下水道。 控制和清洗的方法和材料:清扫收集粉尘,封入密闭容器。注意切勿分散。附着物或收集物应该立即根据合适的 法律法规处置。 模块7. 操作处置与储存 处理 技术措施:在通风良好处进行处理。穿戴合适的防护用具。防止粉尘扩散。处理后彻底清洗双手 和脸。 注意事项:如果粉尘或浮质产生,使用局部排气。 操作处置注意事项:避免接触皮肤、眼睛和衣物。 贮存 储存条件:保持容器密闭。存放于凉爽、阴暗处。 远离不相容的材料比如氧化剂存放。 包装材料:依据法律。 模块8. 接触控制和个体防护 工程控制:尽可能安装封闭体系或局部排风系统,操作人员切勿直接接触。同时安装淋浴器和洗 眼器。 个人防护用品 呼吸系统防护:防尘面具。依据当地和政府法规。 手部防护:防护手套。 眼睛防护:安全防护镜。如果情况需要,佩戴面具。 皮肤和身体防护:防护服。如果情况需要,穿戴防护靴。 模块9. 理化特性 固体 外形(20°C): 外观: 晶体-粉末 颜色:白色类白色 气味:无味 pH:无数据资料 熔点:无资料 沸点/沸程无资料 闪点:无资料 爆炸特性 爆炸下限:无资料 爆炸上限:无资料 密度:无资料 溶解度: [水]不溶于 马来酸伊索拉定 修改号码:5 模块9. 理化特性 [其他溶剂] 溶于:二甲基甲酰胺 极微溶于: 甲醇, 乙醇 模块10. 稳定性和反应性 化学稳定性:一般情况下稳定。 危险反应的可能性:未报道特殊反应性。 须避免接触的物质氧化剂 危险的分解产物: 一氧化碳, 二氧化碳, 氮氧化物 (NOx), 氯化氢 模块11. 毒理学信息 急性毒性: orl-rat LD50:2898 mg/kg ipr-rat LD50:495 mg/kg scu-rat LD50:1524 mg/kg 对皮肤腐蚀或刺激:无资料 对眼睛严重损害或刺激:无资料 生殖细胞变异原性:无资料 致癌性: IARC =无资料 NTP =无资料 生殖毒性:无资料 RTECS 号码: XY5930000 模块12. 生态学信息 生态毒性: 鱼类:无资料 甲壳类:无资料 藻类:无资料 残留性 / 降解性:无资料 潜在生物累积 (BCF):无资料 土壤中移动性 log水分配系数:无资料 土壤吸收系数 (Koc):无资料 亨利定律无资料 constant(PaM3/mol): 模块13. 废弃处置 如果可能,回收处理。请咨询当地管理部门。建议在可燃溶剂中溶解混合,在装有后燃和洗涤装置的化学焚烧炉中 焚烧。废弃处置时请遵守国家、地区和当地的所有法规。 模块14. 运输信息 联合国分类:与联合国分类标准不一致 UN编号:未列明 模块15. 法规信息 《危险化学品安全管理条例》(2002年1月26日国务院发布,2011年2月16日修订): 针对危险化学品的安全使用、 生产、储存、运输、装卸等方面均作了相应的规定。 马来酸伊索拉定 修改号码:5 模块16 - 其他信息 N/A |
| 危险品运输编码 | NONH for all modes of transport |
|---|---|
| RTECS号 | XY5930000 |
| 海关编码 | 2933699090 |

搜索







