乙嘧替氟
抗代谢类抗肿瘤药
产品名称
-
中文名乙嘧替氟
-
英文名emitefur
-
中文别名依米替氟:BOF-A2 | 3-[[3-(乙氧基甲基)-5-氟-3,6-二氢-2,6-二氧-L(2H)-嘧啶基]羧基]苯甲酸
-
英文别名
-
常用名乙嘧替氟
-
C A S号110690-43-2
物理性质
-
密度1.52 g/cm3
-
沸点755.1ºC at 760 mmHg
-
熔点162-164°
-
化学式C28H19FN4O8
-
结构式
1、 摩尔折射率:136.16
2、 摩尔体积(cm3/mol):367.3
3、 等张比容(90.2K):1094.6
4、 表面张力(dyne/cm):78.8
5、 极化率(10-24cm3):53.97
-
闪点410.5ºC
-
分子量558.47100
-
精确质量558.11900
-
P S A159.58000
-
外观形状
-
储存条件
-
稳定性
-
水溶解性
-
形态
-
H L B值
-
粘度
-
PH值
作用/用途
抗代谢类抗肿瘤药
制备方法
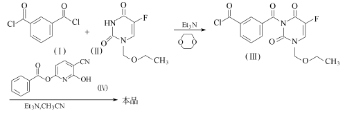
间苯二甲酰氯(Ⅰ)和化合物(Ⅱ)在三乙胺作用下,在二氧六环中回流,缩合得到化合物(Ⅲ)。再和化合物(Ⅳ)在三乙胺及乙腈中回流,即得乙嘧替氟。
上述合成中用到的化合物(Ⅳ)可由苯甲酰氯和3-氰基-2,6-二羟基吡啶,在三乙胺及二甲基甲酰胺中缩合而得。
安全提醒
MSDS
原料简介
应用范围
毒性和生态
安全信息
是否危险品
危险性
危险类别码
危险等级
触发危险方式
安全技术说明书
环境影响程度
包装与储运
相关供应商









